2F_L2.ppt
- Количество слайдов: 39
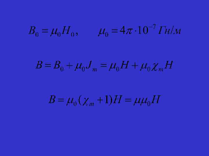
Магнетики Магнетиками называются вещества, способные приобретать во внешнем магнитном поле собственное магнитное поле, т. е. , намагничиваться. Магнитные свойства вещества определяются магнитными свойствами электронов и атомами (молекулами) вещества. ü Диамагнетики ü Парамагнетики ü Ферромагнетики
Магнетики s- p- d-
Магнитные моменты электронов и атомов Орбитальный момент импульса (орбитальный механический момент) электрона: Pm L=Iω=mvr (1) v е r Орбитальный магнитный момент электрона: pm= IS = eν πr 2 (2) Z I L Так как v=ωr, а ω=2πν, то разделив (2) на (1), получим гиромагнитное (магнитомеханическое) отношение орбитальных моментов:
Диамагнитный эффект v Прецессия электронных орбит порождает индукционный ток, магнитное поле которого, в соответствии с правилом Ленца, направлено против внешнего магнитного поля.
Магнетики 26 Fe s (l = 0) → 1 s 22 p 63 s 23 p 63 d 64 s 2 p (l = 1) m = -l … +l d (l = 2)
Области применение магнитных материалов
Петля гистерезиса
У железа, например, температура Кюри равна 770 0 С, у кобальта 1130 0 С, у никеля 360 0 С.
H=0 H≠ 0
Ø Магнитомягкие и магнитожесткие материалы Ø Магнитодиэлектрики (ферриты) Ø Новые магнитные композиты и материалы для магнитной записи. Нанокомпозиты Ø Материалы с KMC (GMR-effect) Ø Магнитострикционные материалы
Материалы с рекордными магнитными характеристиками
К ферромагнитным веществам относятся Fe, Со, Ni, Gd, редкоземельные элементы с недостроенной 4 f- оболочкой, сплавы и соединения этих веществ, а также так называемые гейслеровы сплавы - соединения Cr и Mn с неферромагнетиками. Типичные представители антиферромагнетиков – Cr, V, Mn ряд окислов и солей переходных металлов, например Mn. O, Fe. O, Cu. Cl.
Магнитомягкие материалы Общие требования: 1. Узкая петля гистерезиса, 2. Высокие значения μН 3. Высокое значение Bmax 4. Минимальные потери (гистерезис, вихревые токи), высокая ρ
Магнитотвердые Требования – высокие Нс, Вr, энергия В·Н 1. Сталь (мартенсит) 2. Сплавы Fe-Ni-Al-Co (алнико) 3. Интерметаллиды РЗМ-Co 4. Соединения Nd-Fe-B 5. Ферриты Легирование – W, Cr, Co, Mo – повышение устойчивости структуры мартенсита Hc ~ 10 -50 k. A/м, ½(ВН)max ~ 1 к. Дж/м 3
Оксидные магнитные материалы В основном – ферриты: n. MOx·Fe 2 O 3 ü шпинели, ü гранаты, ü гексаферриты, ü ортоферриты Природа спонтанной намагниченности: антиферромагнитные сверхобменые взаимодействия → несколько подрешеток с разным направлением спина
Оксидные магнитные материалы AFe 3 O 4 ( Fe. Fe 2 O 4) A 3 Fe 5 O 12
Оксидные магнитные материалы КМС-материалы (структура) RMn. O 3
Оксидные магнитные материалы Инвар (15%Ni + 85%Fe)
Гальваномагнитные эффекты
Гальваномагнитные эффекты
Гальваномагнитные эффекты
Гальваномагнитные эффекты
Гальваномагнитные эффекты
С — Средняя чувствительность при 25°С и максимальном управляющем токе I – Сила максимального управляющего тока; R – Входное и выходное сопротивления (+25°С); Aт – Температурный коэффициент сопротивления; LA Размеры активной части преобразователя, LG Габаритные размеры преобразователя в слюдяных обкладках; В – Измеряемая магнитная индукция
Гальваномагнитные эффекты
Гальваномагнитные эффекты
Гальваномагнитные эффекты
Гальваномагнитные эффекты
Гальваномагнитные эффекты
Гальваномагнитные эффекты
Гальваномагнитные эффекты
2F_L2.ppt