Скачать презентацию Long-Range Effects in Layered Spin Structures Ramaz Khomeriki Скачать презентацию Long-Range Effects in Layered Spin Structures Ramaz Khomeriki

c0f683275daedbf3516c165391ca0b09.ppt

  • Количество слайдов: 10

Long-Range Effects in Layered Spin Structures Ramaz Khomeriki 1, 3, David Mukamel 2, Stefano Long-Range Effects in Layered Spin Structures Ramaz Khomeriki 1, 3, David Mukamel 2, Stefano Ruffo 1 1)Dipartimento di Energetica ‘‘S. Stecco’’ and CSDC, Università di Firenze, and INFN, Via S. Marta, 3, 50139 Firenze, ITALY 2)Department of Physics of Complex Systems, Weizmann Institute of Science, Rehovot 76100, ISRAEL 3)Physics Department, Tbilisi State University, 0128 Tbilisi, GEORGIA

ABSTRACT The layered spin structures are studied theoretically with the aim of predicting realistic ABSTRACT The layered spin structures are studied theoretically with the aim of predicting realistic testable effects of long range dipolar interactions. As shown, dipolar interaction between the spin layers open gaps in allowable energy versus magnetization phase diagram. The consequences of this behavior, particularly, the response of the system state under application of periodical external magnetic field is investigated.

CLASSICAL SPIN CHAINS L. J. de Jongh, A. R. Miedema, Adv. Phys. , 23, CLASSICAL SPIN CHAINS L. J. de Jongh, A. R. Miedema, Adv. Phys. , 23, 1, (1974). A. Dupas, K. Le Dang, J. -P. Renard, P. Veillet, J. Phys. C: Solid State Phys. , 10, 3399, (1977). n=1 Ferromagnetic chain n=2 Antiferromagnetic chain x z y

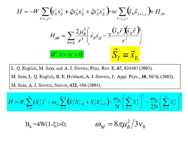
L. Q. English, M. Sato, and A. J. Sievers, Phys. Rev. E, 67, 024403 L. Q. English, M. Sato, and A. J. Sievers, Phys. Rev. E, 67, 024403 (2003). M. Sato, L. Q. English, B. E. Hubbard, A. J. Sievers, J. Appl. Phys. , 10, 8676, (2002). M. Sato, A. J. Sievers, Nature, 432, 486 (2004). Bx =4 W(1 -x)>0;

A. Dupas, K. Le Dang, J. -P. Renard, P. Veillet, J. Phys. C: Solid A. Dupas, K. Le Dang, J. -P. Renard, P. Veillet, J. Phys. C: Solid State Phys. , 10, 3399, (1977).