Линейная алгебра_слайды для студ.pptx
- Количество слайдов: 115
Линейная алгебра 1. Матрицы и определители 2. Системы линейных уравнений 3. Векторные пространства 4. Линейные операторы 5. Квадратичные формы 6. Элементы аналитической геометрии 1
Тема 1. Матрицы и определители Матрица размера m X n – прямоугольная таблица, содержащая m строк и n столбцов. элементы матрицы размерность матрицы Матрица-столбец Матрица-строка Диагональная Квадратная Единичная 2
. Операции над матрицами 1 Равенство матриц Матриц А и В равны, если они имеют одинаковую размерность и равны их соответствующие элементы: 2. Сложение (вычитание) матриц Сумма (разность) матриц А и В одного размера есть матрица С того же размера с элементами 3
3. Умножение матрицы на число Произведением матрицы А размера m x n на число есть матрица того же размера с элементами Найти матрицу: 4
4. Умножение матриц m x n на матрицу С размера m x k , каждый Произведением матрицы А размера В размера n x k есть матрица элемент которой вычисляется по формуле: Вывод: число столбцов первого множителя должно равняться числу строк второго множителя. 5
5. Транспонирование Транспонировать – это значить поменять местами строки со столбцами. 6. Возведение в степень Матрица называется k степенью квадратной матрицы А 6
Свойства операций с матрицами 1. А+В=В+А 2. (А+В)+С=А+(В+С) 3. α (А+В)= α А+ αВ 4. (α+β)А= αА+βА 5. (αβ)А= α(βА) 6. 7. В общем случае АВ≠ВА В частном случае, когда АВ = ВА, матрицы А и В называются коммутативными (перестановочными). А(ВС)=(АВ)С 8. α (АВ)= (α А)В 9. 10. (А+В)С=АС+ВС ЕА=АЕ=А 7
Определители Определитель квадратной матрицы – это число, вычисляемое по определённым правилам. Обозначают: |А|, ΔА, det. A. Определитель 1 -го порядка: Определитель 2 -го порядка: Боковая диагональ Главная диагональ 8
Определитель 3 -го порядка: Правило Саррюса (правило треугольников) 9
Алгебраические дополнения и миноры В квадратной матрице n-го порядка рассмотрим элемент aij. Вычеркнем i-ю строку и j-ый столбец, на пересечении которых стоит элемент aij. В результате получается матрица (n 1)-го порядка. Минором Мij к элементу aij матрицы n-го порядка называется определитель матрицы (n-1)-го порядка, полученной из исходной матрицы вычеркиванием строки и i-й j-го столбца. Алгебраическим дополнением Аij к элементу aij матрицы n-го порядка называется его минор, взятый со знаком «+» , если сумма i+j четная, и со знаком «-» , если сумма нечетная: . 10
Пример. 11
Основные свойства определителей: 1. Определитель транспонированной матрицы равен определителю исходной матрицы. 2. При перестановке двух соседних строк (столбцов) определитель меняет знак на противоположный. 3. Если определитель содержит две одинаковые строки (или столбца), то он равен нулю. 4. Если определитель содержит нулевую строку (или столбец), то он равен нулю. 5. Определитель, у которого элементы двух параллельных рядов соответственно пропорциональны, равен нулю. 6. Общий множитель в строке (в столбце) можно выносить за знак определителя. 12
7. Свойство линейных комбинаций Определитель матрицы не изменится, если к элементам какой -либо строки (столбца) матрицы прибавить элементы другой строки (столбца), предварительно умноженные на одно и то же число k. Ведущий ряд k k 13
8. Теорема Лапласа Определитель квадратной матрицы равен сумме попарных произведений элементов любой строки (столбца) на их алгебраические дополнения: Разложение по элементам i-й строки: Разложение по элементам j-го столбца: 14
Методы вычисления определителей 1. Метод понижения порядка (разложение по ряду) по свойству 8 Пример. Вычислить определитель разложением по элементам 1 -й строки Решение. а) 15
2. Разложение по ряду с получением нулей Пример. Вычислить определитель разложением по 2 -му столбцу с получением нулей Решение 16
3. Метод Гаусса (приведение к треугольному виду) Определение. Определитель, у которого все элементы, находящиеся над (под) главной (боковой) диагональю, равны нулю, называются определителем треугольного вида. Утверждение 1. Приведение любого определителя к треугольному виду всегда возможно. Теорема Гаусса. Определитель треугольного вида равен: § по главной диагонали - произведению элементов его главной диагонали. § по боковой диагонали - произведению элементов его боковой диагонали со знаком "-" 17
Обратная матрица Матрица А является невырожденной (неособенной), если |А|≠ 0, иначе матрица называется вырожденной (особенной). А-1 называется обратной матрицей к квадратной матрице А, если при умножении этой матрицы Матрица на данную как справа, так и слева получается единичная матрица: алгебраические дополнения к элементам строки записаны в столбец Присоединённая матрица 18
Пример. Найти матрицу обратную к матрице Решение. 1. Вычислим определитель матрицы не равен нулю, значит обратная матрица существует 2. Находим алгебраические дополнения элементов матрицы 19
3. Вычисляем обратную матрицу: 4. Проверка: 20
Матричные уравнения Простейшие матричные уравнения: Решение уравнения . Умножим слева обе части равенства на матрицу А-1 : 21
Ранг матрицы Рассмотрим прямоугольную матрицу размерностью (m x n). Выделим в этой матрице k произвольных строк и k произвольных столбцов. Элементы матрицы А, стоящие на пересечении выделенных строк и столбцов, образуют определитель k - того порядка. Минором k-го порядка матрицы А называют определитель, полученный из А выделением произвольных k строк и k столбцов. 22
Рангом матрицы называется наибольший порядок отличного от нуля минора этой матрицы. Матрица А имеет 4 минора 3 - его порядка, например: 18 миноров 2 - го порядка, например: 12 миноров 1 - го порядка – сами элементы. Наибольший порядок отличного от нуля минора этой матрицы равен 3, поэтому: 23
Базисным минором называется определитель, порядок которого равен рангу матрицы. Он может быть не единственным. Теорема. Эквивалентные преобразования не меняют ранга матрицы. Эквивалентные преобразования Умножение или деление элементов одного ряда на одно и то же число, не равное нулю Перестановка местами двух рядов Прибавление к элементам ряда элементов другого параллельного ряда, умноженного на произвольный множитель Вычеркивание нулевого ряда
Ранг матрицы равен числу ненулевых строк матрицы, приведенной к треугольному виду. Два ряда матрицы называются линейно зависимыми, если их линейная комбинация с коэффициентами, не все из которых равны нулю, дает нулевой ряд. В противном случае ряды называются линейно независимыми. Теорема. Ранг матрицы равен числу линейно независимых рядов 25
Тема 2. Системы линейных уравнений Система m линейных уравнений с n переменными имеет вид: - коэффициенты системы, - свободные члены. Решением системы называется такая совокупность значений , при подстановке которых каждое уравнение системы обращается в верное равенство. 26
Система линейных уравнений называется: Øсовместной, если она имеет хотя бы одно решение; Øнесовместной, если она не имеет решений; Øопределенной, если она имеет единственное решение; Øнеопределенной, если она имеет более одного решения; Øоднородной, если все bi=0; Øнеоднородной, если не все bi=0. 27
Решение систем 1. Метод Крамера Рассмотрим систему n линейных уравнений c n неизвестными: Теорема Крамера. Пусть Δ - определитель матрицы системы, Δi - определитель матрицы, получаемой из матрицы заменой столбца коэффициентов при свободных членов. A xi столбцом Тогда, если Δ≠ 0, то система имеет единственное решение, определяемое по формулам: - формула Крамера. 28
Пример. Решить систему методом Крамера. Решение. Определитель матрицы системы Вычислим Δ 1, Δ 2, Δ 3 По формулам Крамера: 29
2. Матричный метод Рассмотрим систему n линейных уравнений c n неизвестными: Обозначим: матрица коэффициентов системы матрица-столбец переменных матрица столбец свободных членов Запишем эту систему в матричном виде. - решение системы 30
Пример. Решить систему матричным методом Обозначим 1. Вычислим определитель матрицы 31
2. Найдём алгебраические дополнения элементов матрицы и составим обратную матрицу Обратная матрица 3. Решение системы 32
3. Метод Гаусса Рассмотрим систему m линейных уравнений c n неизвестными: - расширенная матрица системы Цель: с помощью элементарных эквивалентных преобразований получить трапецивидную (треугольную) матрицу 33
Пример. Решить систему методом Гаусса Решение. Восстановим систему: 34
Исследование систем линейных уравнений Теорема Кронекера - Капелли. Для того, чтобы система линейных алгебраических уравнений была совместна (имела решение), необходимо и достаточно, чтобы ранг расширенной матрицы системы равнялся рангу матрицы коэффициентов: Если , то система несовместна (не имеет решений). Если (числу неизвестных), то система совместна и определенна (имеет единственное решение). Если , то система совместна неопределенна (имеет бесконечное множество решений): и 35
Бесконечное множество решений: Система имеет r базисных переменных и n – r свободных переменных. Общее решение системы запишется в виде: Базисные переменные, зависящие от свободных переменных Свободные переменные 36
Пример Решить систему линейных уравнений Решение совместна неопределенна 2 базисных переменных, т. к. 1 свободная переменная, т. к. Восстановим систему: например, 37
Исследовать систему линейных уравнений система несовместна 38
Однородные системы линейных уравнений Однородная система всегда имеет решение: - тривиальное решение. Оно является единственным решением системы в случае, когда Если , то система имеет бесконечное множество решений. 39
Решить однородную систему уравнений: множество решений - число свободных переменных 40
Обозначим: базисные переменные; свободные переменные. Общее решение 41
Тема 3. Векторные пространства Вектор - направленный отрезок – однозначно определяет направление длину. А - начальная точка вектора, В - конечная точка. Модуль вектора Векторы и , - длина вектора. - противоположные векторы Координаты вектора Если известны координаты начала и конца вектора и , тогда координаты вектора Операции над векторами в координатной форме Рассмотрим два вектора 42
Модуль вектора. Расстояние между двумя точками Дан вектор . Модуль вектора: Даны две точки . Расстояние между точками равно длине вектора Даны точки . Найти координаты и длину вектора . 43
Скалярное произведение векторов Скалярным произведением двух векторов называется произведение модулей этих векторов на косинус угла между ними Если векторы заданы в координатной форме: Если Пример. Найти длину вектора , если Решение. 44
Угол между векторами Из формулы скалярного произведения векторов следует формула для нахождения угла между векторами: Найти косинус угла между векторами: 45
Векторное пространство n-мерный вектор – упорядоченная совокупность n действительных чисел Операции: Множество векторов называется линейным (векторным) пространством L , если линейные операции над векторами удовлетворяют свойствам: Свойства векторов: 46
Базис векторного пространства В линейном пространстве L выберем векторы и составим их линейную комбинацию , где - числа. Когда линейная комбинация векторов равна нулевому вектору? 1) Если все и других вариантов нет, то векторы - линейно независимы. 2) Если хотя бы одно число , то векторы - линейно зависимы. Например, векторы и линейно зависимы, т. к. Критерии линейной зависимости векторов: 1) любые два вектора 2) любые три вектора линейно зависимы, если 47
Пример. Исследовать на линейную зависимость векторы: 1) - линейно зависимы 2) - линейно независимы Базисом на плоскости (в пространстве) являются любые два (три) линейно независимых вектора. Если - базис на плоскости, то - базис в пространстве, то Базис в пространстве L – это система линейно независимых векторов : 48
Пример. Вектор выразить в базисе , заданный в базисе Решение. 1) Убедимся, что . - образуют базис. - линейно независимые векторы. 2) Найдём координаты вектора в новом базисе. 49
Метод Крамера 50
Тема 4. Линейные операторы Если задан закон, по которому каждому вектору пространства ставится в соответствие единственный вектор пространства , то говорят, что задан оператор , действующий из в . - образ вектора - прообраз вектора Нулевой оператор – Тождественный оператор - 51
Оператор называется линейным, если для любых векторов и любого числа выполняется: - свойство аддитивности - свойство однородности Если в пространстве векторы образуют базис, тогда вектор и его образ вектор в этом базисе: Образ каждого базисного вектора - также вектор . 52
Матрицей линейного оператора называется матрица , столбцами которой являются координаты векторов в базисе . Ранг матрицы называется рангом оператора . Связь между и его образом в матричной форме: , где 53
Пример. В базисе оператор переводит в вектор . Найти матрицу линейного оператора. Решение. Координаты базисных векторов Найдём образы базисных векторов под действием : матрица линейного оператора 54
Пример. Найти образ вектора , если линейный оператор в базисе задан матрицей . Решение. 55
Теорема. Матрицы и линейного оператора в базисах и связаны соотношением Где C - матрица перехода от старого базиса к новому, столбцами которой являются координаты нового базиса в базисе . Пример. Дана матрица линейного оператора в базисе . . Найти матрицу этого линейного оператора в базисе . Решение. 1. Составим матрицу перехода C . Т. к. , то . 56
2. Матрицу линейного оператора найдем по формуле: Для этого найдём обратную матрицу Тогда 57
Собственные векторы и собственные значения линейного оператора Ненулевой вектор называется собственным вектором линейного оператора , если при действии этого оператора получается тот же вектор , , умноженный на какое-либо число . - собственное значение линейного оператора В матричной форме: матричное уравнение 58
Решение матричного уравнения всегда имеет нулевое решение Ненулевое решение существует, если -характеристическое уравнение оператора или матрицы. Пример. Найти собственные векторы и собственные значения линейного оператора, заданного матрицей Решение. 1) Найдём собственные значения , решив характеристическое уравнение Учитывая, что , получим 59
2) Определим собственные векторы, решая матричное уравнение 60
Тема 5. Квадратичные формы Квадратичной формой от n переменных называется сумма, каждый член которой является либо квадратом одной из переменных, либо произведением двух разных переменных, взятых с некоторым коэффициентом Матрица квадратичной формы - симметричная матрица, составленная из коэффициентов . Например, при 61
Матричный вид квадратичной формы: - матрица-столбец переменных. Пример. Записать матрицу квадратичной формы Решение. Порядок матрицы , т. к. имеем 3 переменных. На главной диагонали коэффициенты при квадратах переменных 17, 14. Элементы на пересечении i – строки и j – го столбца равны . 62
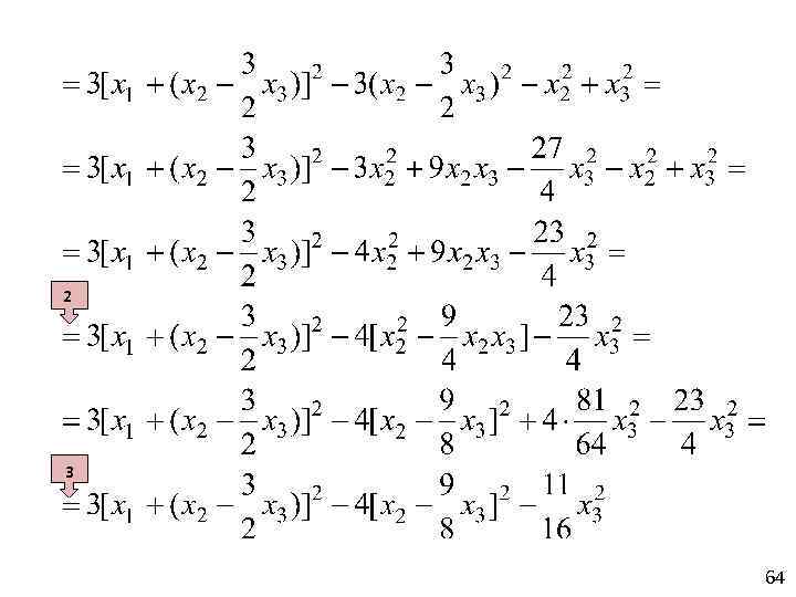
матричный вид Канонический вид квадратичной формы Пример. Привести к каноническому виду квадратичную форму Решение. 1 63
2 3 64
Получили Выполним линейное преобразование: Т. о. канонический вид квадратичной формы: 65
Ранг матрицы квадратичной формы равен числу отличных от нуля коэффициентов канонического вида. Определим ранг квадратичной формы Т. к. матрица квадратичной формы имеет вид , то ранг матрицы равен 3. 66
Квадратичная форма называется положительно (отрицательно) определённой, если при всех значениях переменных, из которых хотя бы одно отлично от нуля Критерий Сильверста. Для того, чтобы квадратичная форма была положительно определённой, необходимо и достаточно, чтобы все главные миноры матрицы этой формы были положительны , т. е. 67
Замечание. Для того, чтобы квадратичная форма была отрицательно определённой, необходимо и достаточно, чтобы знаки главных миноров матрицы этой формы чередовались, начиная со знака «минус» . Пример. Исследовать на знакоопределённость квадратичную форму: Решение. Составим матрицу этой квадратичной формы: Найдём главные миноры: Положительно определённая квадратичная форма. 68
Тема 6. Элементы аналитической геометрии. Прямая на плоскости Основные уравнения прямой на плоскости 1. Уравнение прямой, проходящей через заданную точку перпендикулярно заданному вектору 2. Общее уравнение прямой 3. Уравнение прямой « в отрезках» 69
4. Уравнение прямой, проходящей через заданную точку параллельно заданному вектору - каноническое уравнение - направляющий вектор 5. Параметрические уравнения 6. Уравнение прямой, проходящей через две заданные точки и 70
7. Уравнение прямой с угловым коэффициентом 8. Уравнение прямой, проходящей через заданную точку с угловым коэффициентом 71
Задачи на составление уравнений прямой 1. Составить уравнение прямой, проходящей через точку параллельно прямой . Решение. Задано уравнение прямой общего вида - вектор нормали Сравнивая с заданным уравнением, получаем Так как прямые параллельны, то их можно охарактеризовать одним вектором нормали. За основу берем уравнение 72
2. Составить уравнение прямой, проходящей через данную точку параллельно прямой Решение. Из канонического уравнения заданной прямой можно определить ее направляющий вектор Т. к. для параллельных прямых можно взять один и тот же направляющий вектор, возьмем за основу каноническое уравнение С помощью алгебраических преобразований найдем: • угловой • вектор • отрезки, отсекаемые коэффициент: нормали на осях 73
3. Составить уравнение прямой, проходящей через точку параллельно прямой. Решение. Прямая задана уравнением с угловым коэффициентом. Все параллельные прямые имеют один угловой коэффициент. Т. о. нам известна точка на прямой и угловой коэффициент. Возьмем уравнение Для построения прямой используем таблицу x y 0 17 -17/3 0 74
4. Составить уравнение прямой, проходящей через точку перпендикулярно прямой . Из рисунка видно, что вектор нормали известной прямой является направляющим для искомой прямой, поэтому используем каноническое уравнение Из канонического уравнения можно перейти к уравнениям в общем виде и с угловым коэффициентом: 75
5. Составить уравнение прямой, проходящей через точку перпендикулярно прямой . Решение. Заданная прямая имеет угловой коэффициент . Из условия перпендикулярности прямых можно найти угловой коэффициент перпендикулярной прямой: Используя уравнение прямой с угловым коэффициентом и подставляя координаты точки и значение углового коэффициента, получим Или - общее уравнение. 76
Взаимное расположение прямых на плоскости Задачи на взаимное расположение прямых включают следующие вопросы: v Нахождение точки пересечения. v Нахождение угла между прямыми. v Проверка условий параллельности и перпендикулярности прямых. Для нахождения точки пересечения нужно решить систему, составленную из уравнений этих прямых, например метод Крамера Точка пересечения 77
Угол между прямыми 1. Если прямые заданы общими уравнениями, то угол между прямыми – это угол между векторами нормалей 2. Если прямые заданы каноническими уравнениями, то угол между прямыми – это угол между направляющими векторами 3. Если прямые заданы угловыми коэффициентами, то находят тангенс угла 78
Условия параллельности и перпендикулярности прямых 1. Условия параллельности прямых 2. Условия перпендикулярности прямых 79
Пример. Найти угол между прямыми . Решение. Из уравнения первой прямой определим нормальный вектор . Запишем уравнение второй прямой в общем виде: Нормальный вектор этой прямой . Используем формулу 80
Расстояние от точки до прямой Пример. Найти расстояние от точки до прямой Найти расстояние от точки . Решение. Приведем уравнение прямой к общему виду Используем формулу 81
Плоскость в пространстве В пространстве всякая плоскость перпендикулярная к вектору имеет вид - общее уравнение плоскости. - нормальный вектор плоскости. Если точка принадлежит плоскости , то при подстановке координат точки в уравнение плоскости получается тождество. 82
Частные случаи расположения плоскости: D = 0 - проходит через начало координат. С = 0 - параллельна оси OZ. B = 0 - параллельна оси OY. А = 0 - параллельна оси OХ. A = 0, B = 0 - параллельна координатной плоскости OXY. A = 0, С = 0 - параллельна координатной плоскости OXZ. B = 0, С = 0 - параллельна координатной плоскости OYZ. 83
Если плоскость проходит через точку перпендикулярно вектору , то - уравнение плоскости по точке и нормальному вектору. Если плоскость отсекает на осях отрезки a, b, c (не равные нулю), то ее можно представить уравнением - уравнение плоскости в отрезках. 84
Пример. Составить уравнение плоскости, проходящей через точку и перпендикулярной вектору . Решение. Используем формулу После преобразований получим . Запишем полученное уравнение «в отрезках» . Перенесем свободный коэффициент в право и разделим обе части уравнения на 3: 85
Взаимное расположение плоскостей Рассмотрим плоскости: - условие параллельности. - плоскости совпадают. - условие перпендикулярности. 86
Пример. Установить взаимное расположение плоскостей и . Решение. Нормальные вектора плоскостей имеют координаты и . Т. к. , то условие параллельности плоскостей не выполняется. Проверим условие перпендикулярности: . Данное условие выполнено, следовательно, заданные плоскости перпендикулярны. 87
Расстояние от точки до плоскости Расстояние от точки до плоскости равно Пример. Найти расстояние от точки до Плоскости . Решение. 88
Угол между двумя плоскостями и - нормальные векторы плоскостей. Условие параллельности плоскостей: Условие перпендикулярности плоскостей: 89
Пример. Определить угол между плоскостями и . Решение. Запишем нормальные векторы заданных плоскостей: Так как , то угол . 90
Прямая в пространстве может быть задана пересечения двух непараллельных плоскостей - как линия общее уравнение прямой Если заданы: - точка , принадлежащая прямой, - вектор, коллинеарный данной прямой то уравнение прямой имеет вид - каноническое равнение прямой - направляющий вектор прямой 91
Обозначим: Получим - параметрические уравнения прямой. Пусть известны две точки, лежащие на прямой: Тогда - уравнение прямой по двум точкам. 92
Пример. Составить уравнение прямой, проходящей через точки А(5, 0, 1) и В(5, 6, 5) Решение. Запишем уравнение прямой по двум точкам, используя формулу Направляющий вектор искомой прямой имеет координаты Следовательно прямая перпендикулярна оси ОХ. 9
Пример. Найти уравнение прямой, проходящей через точку перпендикулярно плоскости А(-1, 2 5) 3 x-y+2 z=0 Решение. А Т. к. прямая перпендикулярна плоскости, то будет параллелен прямой, т. е. Зная координаты точки, лежащей на прямой, и координаты направляющего вектора применим каноническое уравнение прямой: Т. о. уравнение прямой имеет вид 94
Прямая и плоскость в пространстве Известны: уравнение прямой уравнение плоскости Угол между прямой и плоскостью Условие параллельности Условие перпендикулярности 95
Кривые 2 -го порядка Уравнение кривой 2 -го порядка Рассмотрим уравнения кривых, в которых отсутствует произведение xy: Окружностью называется множество точек плоскости, равноудаленных от одной точки, называемой центром. Канонические уравнения - уравнение окружности с центром в начале координат - уравнение окружности со смещенным центром 96
1. Построить окружности 2. Построить кривую 97
3. Построить окружность Каноническое уравнение: центр окружности радиус окружности 98
Эллипсом называется множество точек плоскости, сумма расстояний которых до двух данных точек, называемых фокусами , есть величина постоянная, равная длине большой оси 2 a Каноническое уравнение: вершины эллипса - большая ось - малая ось фокусы эллипса - фокусное расстояние 99
Каноническое уравнение эллипса со смещенным центром Пусть центр эллипса находится в точке Если в уравнении эллипса то большой осью будет ось b>a, . и фокусы эллипса будут лежать на этой оси. . 100
1. Построить эллипс Определим координаты центра и размеры полуосей Центр эллипса: Полуоси: Координаты вершин: A 1(2; 0) A 2(-2; 0) Длина большой оси: 2 a=4 Длина малой оси: Координаты фокусов определяются параметром c: Расстояние между фокусами: 101
2. Построить кривую Приведем уравнение к каноническому виду: Делим все члены уравнения на 45: - эллипс Определим центр и размеры полуосей: - центр эллипса - полуоси Длина большой оси: Длина малой оси: Найдем параметр c: Координаты фокусов: 102
3. Построить кривую Таким образом: центр эллипса полуоси эллипса: При построении необходимо учесть, что уравнение определяет Только правую половинку эллипса, так как по условию 103
4. Построить кривую центр полуоси 104
Гипербола Гиперболой называется множество точек плоскости, разность расстояний которых до двух данных точек, называемых фокусами, по абсолютной величине есть величина постоянная, равная длине действительной оси - каноническое уравнение действительная полуось мнимая полуось Фокусы гиперболы всегда лежат на действительной оси. 105
Построение гиперболы 1. В системе координат строим прямоугольник с размерами по осям OX и OY, соответственно. 2. Проводим диагонали этого прямоугольника- асимптоты. 3. На действительной оси отмечаем вершины гиперболы и от них ведем ветви гиперболы к асимптотам. 106
Виды гипербол Сопряженная гипербола действительная полуось мнимая полуось Гипербола со смещенным центром 107
1. Построить гиперболу центр гиперболы действительная полуось мнимая полуось расстояние между фокусами 108
2. Построить кривую Возведем в квадрат обе части уравнения мнимая полуось Действительная полуось Оставляем только нижнюю ветвь гиперболы, так как по условию 109
3. Построить кривую центр гиперболы действительная полуось мнимая полуось 110
Парабола Параболой называется множество точек плоскости, равноудаленных от одной точки, называемой фокусом, и от данной прямой, называемой директрисой. Виды парабол Парабола с осью симметрии OX Парабола c осью симметрии OY 111
Парабола со смещенной вершиной Парабола с осью симметрии OX Парабола c осью симметрии OY 112
1. Построить параболу Данное уравнение является каноническим уравнением параболы, так как отсутствует квадрат переменной. Поэтому осью симметрии параболы будет ось OX. Вершина параболы в точке Ветви параболы направлены в положительном направлении оси OX, так как в правой части уравнения знак “плюс”. 113
2. Построить кривую вершина параболы Ветви параболы направлены влево, так как в правой части уравнения получился знак “минус”. параметр параболы Так как по условию , то уравнение определяет только верхнюю ветвь параболы. 114
3. Построить параболу вершина параболы. 115
Линейная алгебра_слайды для студ.pptx