дифф=исследов=полн.ppt
- Количество слайдов: 34
Лекция N 8 Лектор: доц. Лаптева Надежда Александровна Тема: Дифференциал функции. Исследование функции с помощью производной
Дифференциал функции Рассмотрим функцию Найдем
Приращение функции можно рассматривать как сумму двух слагаемых: - линейное относительно - нелинейное относительно
При оба слагаемых стремятся к нулю, но второе слагаемое быстрее стремится к нулю. Поэтому при малых считают, что (т. е. считают, что приближенно равно линейной части). Эту часть называют главной частью приращения функции или дифференциалом. Дифференциал функции обозначают
Теорема. Если функция имеет в точке дифференциал, то она имеет в этой точке производную и наоборот, если функция имеет в точке производную, то она имеет в этой точке дифференциал. Выражение для дифференциала записывается в форме
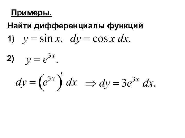
Примеры. Найти дифференциалы функций 1) 2)
Связь между дифференцируемостью и непрерывностью функции Теорема. Если функция дифференцируема в точке она в этой точке непрерывна. то Обратная теорема неверна: существуют непрерывные функции, которые в некоторых точках не являются дифференцируемыми.
Пример. В точке функция непрерывна, так как
Справа от нуля поэтому Слева от нуля поэтому
Таким образом, отношение при справа и слева имеет различные пределы, а это значит, что при это отношение предела не имеет, т. е. производная в точке не существует.
Схема исследования функции 1) Найти область определения функции 2) Исследовать функцию на четность и нечетность 3) Найти точки пересечения с осями координат
4) Найти асимптоты кривой 5) Исследовать функцию по знаку первой производной , т. е. найти интервалы возрастания, убывания, точки экстремума
6) Исследовать функцию по знаку второй производной , т. е. найти интервалы выпуклости, вогнутости, точки перегиба 7) Построить график. Для построения графика можно все результаты исследования свести в таблицу.
Пример. Исследовать функцию и построить график: 1) Область определения:
2) Чётность, нечётность. четная, если нечетная, если функция нечетная, следовательно график функции симметричен относительно начала координат.
3) Точки пересечения с осями координат 4) Асимптоты – это прямые, к которым стремится график функции при неограниченном удалении от начала координат.
Асимптоты бывают: a) вертикальные. Они параллельны оси Уравнение вертикальной асимптоты b) наклонные. Уравнение где
c) если то и наклонная асимптота становится горизонтальной, т. е. параллельной оси Найдем асимптоты кривой Т. к. то - вертикальная асимптота.
Аналогично, - вертикальная асимптота. Заметим, что кривая может иметь сколько угодно вертикальных асимптот. Пример. Вертикальные асимптоты где
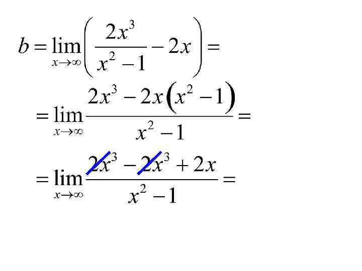
Найдем наклонную асимптоту
- наклонная асимптота.
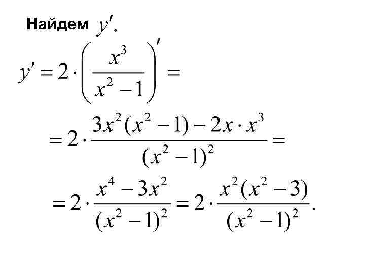
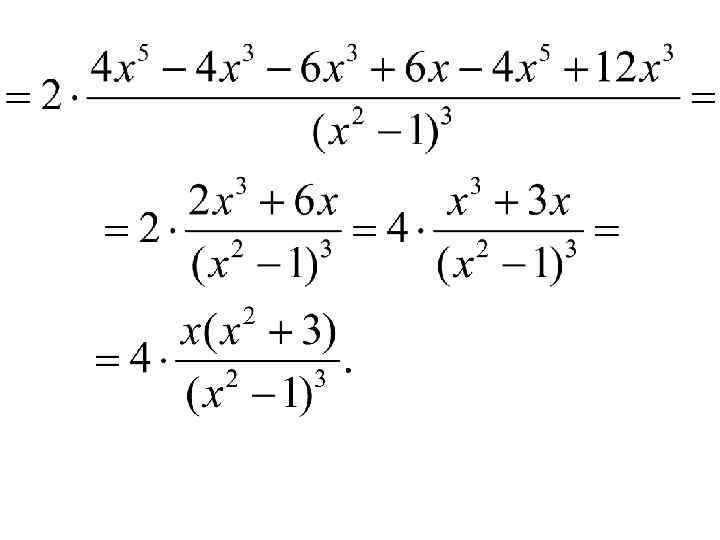
Найдем
+ - - + - точка максимума. - точка минимума.
Можно было не рассматривать т. е. функция нечетная и достаточно построить график только для а затем отобразить график симметрично относительно начала координат.
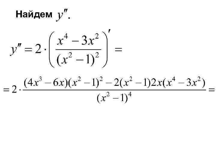
Найдем
не существует (разрыв) при - + +
Если то функция вогнута. + Если то функция выпукла. - +
Точки, в которых выпуклость меняется на вогнутость или наоборот, называются точками перегиба. - точка перегиба. 7) Для построения графика сделаем сводную таблицу. Т. к. функция нечетная, то будем рассматривать только
- - ая а ьн чк ба ал ота о и Т г ик пт е рт м ер Ве си п а + in m + +
Строим график Отмечаем асимптоты, точки max, min, точки пересечения с осями, точки перегиба
Для строим график, используя нечетность функции.


