Лекция4-22.ppt
- Количество слайдов: 55
Лекция 4 МЕТОД ЭКВИВАЛЕНТНЫХ ПРЕОБРАЗОВАНИЙ
Преобразования схем используются для их упрощения и могут быть доказаны при помощи законов Ома и Кирхгофа. Приведем правила преобразований без доказательства
Последовательное соединение сопротивлений I R 1 R 2 … Rn U I U RЭ = R 1+ R 2 +…+ Rn RЭ
Параллельное соединение сопротивлений I U I 1 I In I 2 R 1 R 2 U RЭ Rn 1/RЭ = 1/R 1 + 1/R 2 +…+ 1/Rn ИЛИ GЭ = G 1 + G 2 +…+ Gn , где проводимость G = 1/R
Параллельное соединение двух сопротивлений (пример) I RЭ
1. Правило распределения (разброса) тока в параллельных ветвях
2. Последовательное соединение ЭДС и сопротивлений + +
3. Параллельное соединение источников тока + +
4. Параллельное соединение ЭДС и сопротивлений + +
Метод узловых напряжений ЕК = IКR+UAB IK= (EK - UAB)/RK = (EK - UAB)GK
5. Замена источника тока на источник ЭДС и наоборот + +
6. Преобразование треугольника в звезду и наоборот
7. Перенос источников ЭДС
8. Перенос источников тока
На основе приведенных правил можно реализовать метод преобразований для расчета тока или напряжения в любой ветви схемы. Для этого схема преобразуется до одного контура с искомым током или напряжением, где эти величины легко определяются
Пример Определит ь методом преобразован ий
а) перенос источников тока
б) преобразования соединений сопротивлений и ЭДС
Метод наложения
Метод наложения справедлив для линейных цепей и основывается на принципе наложения, когда любой ток (напряжение) равен алгебраической сумме составляющих от действия каждого источника в отдельности
При этом для расчета составляющих токов и напряжений исходная схема разбивается на подсхемы, в каждой из которых действует один источник ЭДС или тока, причем остальные источники ЭДС закорочены, а ветви с остальными источниками тока разорваны
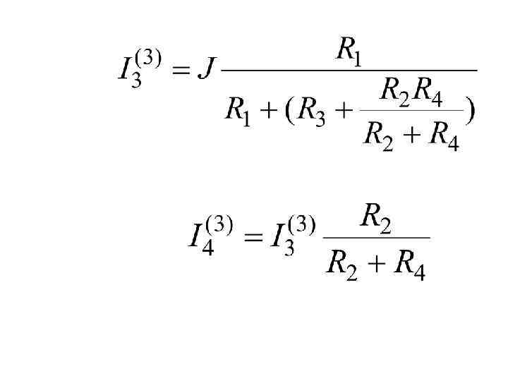
Пример Определит ь
а) подсхема с :
б) подсхема с :
в) подсхема с :
г) окончательный результат
Метод эквивалентного генератора
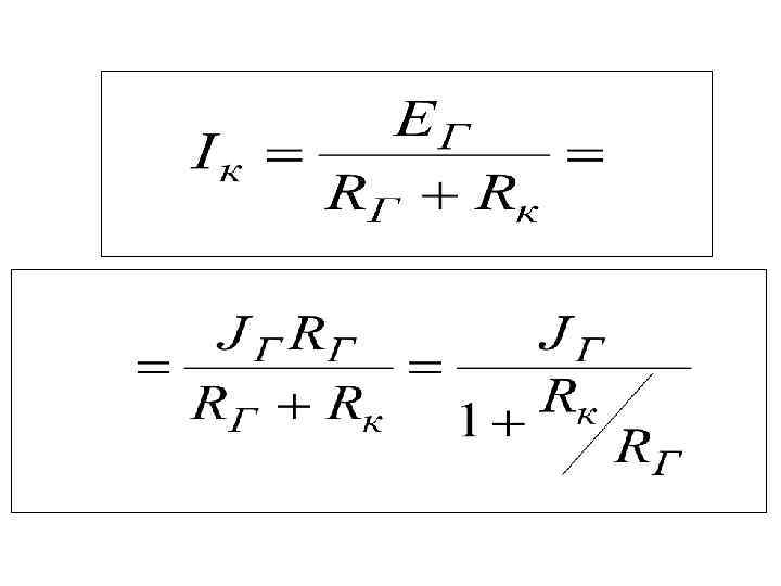
Любой активный двухполюсник, рассматриваемый относительно двух зажимов (выводов), можно представить в виде эквивалентного источника ЭДС или тока, с ЭДС и током равными соответственно напряжению холостого хода или току короткого замыкания относительно этих зажимов
При этом внутреннее сопротивление этих источников равно эквивалентному сопротивлению активного двухполюсника относительно рассматриваемых зажимов
а + А b а b + b
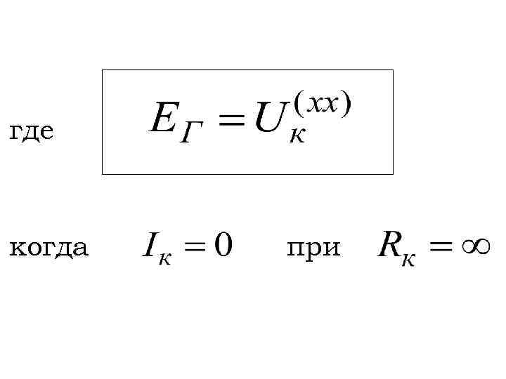
где когда при
где когда при
Пример 1 а + А b
а) напряжение холостого хода а + b :
б) эквивалентное сопротивление а b Тогда :
в) окончательный результат
Графическое определение I 2 и U 2 U U 2 = R 2 I 2 EГ U 2 I 0 I 2 JГ
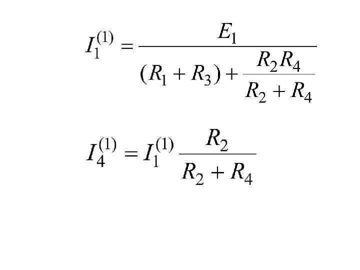
Пример 2 Определит ь I 1=? I 1 U 1
а) напряжение холостого хода U 1(xx): R 3 I 22 I 11 I 22(R 2+R 4)-I 11 R 4=E 2 I 3(xx) I 11=J I 2(xx)=I 22 I 3(xx)=I 11 I 2(xx) U 1(xx)=EГ=? U 1(xx) -U 1(xx)+E 1=R 3 I 3(xx)+R 2 I 2(xx)
б) эквивалентное сопротивление RГ : R 3 Тогда RГ=R 3+ +R 2 R 4/(R 2+R 4)
в) окончательный результат
Графическое определение I 1 и U 1 U U 1 = R 1 I 1 EГ U 1 I 0 I 1 JГ
Лекция4-22.ppt