linalg03 квадратичные Аналитика.ppt
- Количество слайдов: 90
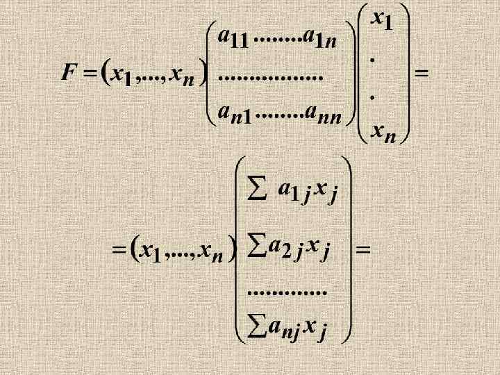
Лекция 3. Квадратичные формы Определение. Квадратичной формой (К. Ф. ) от n переменных называется однородный многочлен второй степени от этих переменных:
Коэффициенты К. Ф. действительные числа
Матрицей К. Ф. называется симметрическая матрица из
Диагональные элементы равны коэффициентам при квадратах переменных, а другие элементы – половинам соответствующих коэффициентов.
Матричная запись К. Ф.
Пример 1.
Базис пространства называется каноническим базисом (К. Б. ) К. Ф. если
К. Ф. называется канонической (или имеет канонический вид (К. В. )), если - К. Б. К. Ф. F(X) новый набор неизвестных.
К. Ф. может быть приведена к К. В. Для этого необходимо найти К. Б.
Метод Лагранжа Основная идея этого метода состоит в последовательном выделении в К. Ф. полных квадратов по каждой переменной.
Пример 2. Привести к К. В. К. Ф. : Выделим полные квадраты при переменных:
Введем новые переменные
К. Ф. имеет много различных К. Б. Процесс построения К. Б. называется приведением К. Ф. к К. В. Рассмотрим некоторые К. Б. .
К. В. К. Ф. в О. Н. Б. называют К. В. в главных осях (Г. О. ). Чтобы найти коэффициенты К. Б. К. Ф. в Г. О. , нужно найти собственные значения (С. З. ) матрицы К. Ф. , причем каждое С. З. берется столько раз, какова его алгебраическая кратность. По найденным С. З. выписывается К. В. К. Ф. в Г. О.
Пример 3.
Перейдем к новой системе координат с началом в той же точке, оси которой направлены соответственно по векторам
Теорема 2. (Закон инерции К. Ф. ) Число слагаемых с положительными (отрицательными) коэффициентами в К. В. К. Ф. не зависит от способа приведения К. Ф. к К. В.
Число положительных квадратов в К. В. К. Ф. называют ее положительным индексом инерции I+ число отрицательных квадратов – ее отрицательным индексом инерции I-. Разность ( I+ - I- ) называют сигнатурой К. Ф.
Ранг матрицы К. Ф. , называемый рангом К. Ф. , равен числу отличных от нуля коэффициентов К. В. К. Ф. и не зависит от выбора К. Б. .
К. Ф. называется положительно (отрицательно) определенной, если для
Теорема 3. Для того, чтобы К. Ф. была >0 (<0) необходимо и достаточно, чтобы все С. З. матрицы А были >0 (<0).
Теорема 4. К. Ф. >0 (<0) тогда и только тогда, когда все коэффициенты К. В. >0 (<0).
Теорема 5. (критерий Сильвестра) Для того, чтобы К. Ф. была >0 , необходимо и достаточно, чтобы все угловые миноры матрицы А этой К. Ф. были >0.
Для того, чтобы К. Ф. была <0 , необходимо и достаточно, чтобы все угловые миноры матрицы А нечетного порядка были <0, а все угловые миноры четного порядка были >0 (то есть знаки угловых миноров чередуются, начиная со знака «-» для минора первого порядка).
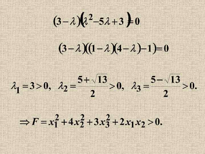
Пример 4. 1 способ.
2 способ.
3 способ.
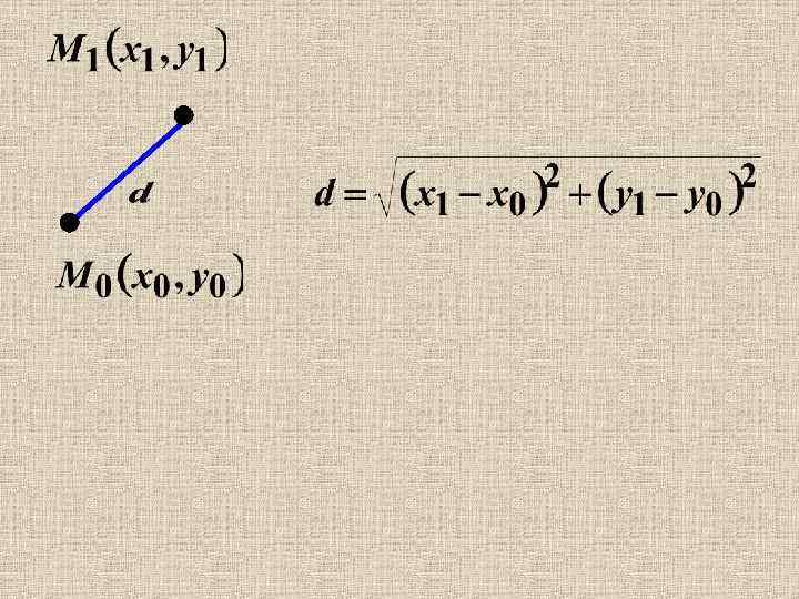
I. Точки и прямые на плоскости R 2 1) Параметрические уравнения 1. a) прямой
1. б) луча
1. с) отрезка
2) Каноническое уравнение прямой
3) Каноническое уравнение прямой, проходящей через две точки
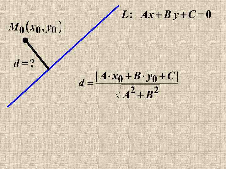
4) Общее уравнение прямой
5) Уравнение прямой с угловым коэффициентом
6) Уравнение прямой в отрезках
II. Прямые и плоскости в R 3 1) Параметрические уравнения 1. a) прямой
1. б) луча
1. с) отрезка
2) Каноническое уравнение прямой
3) Каноническое уравнение прямой, проходящей через две точки
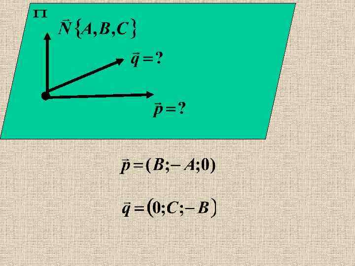
4) Параметрические уравнения плоскости
линейно зависимы
линейно зависимы
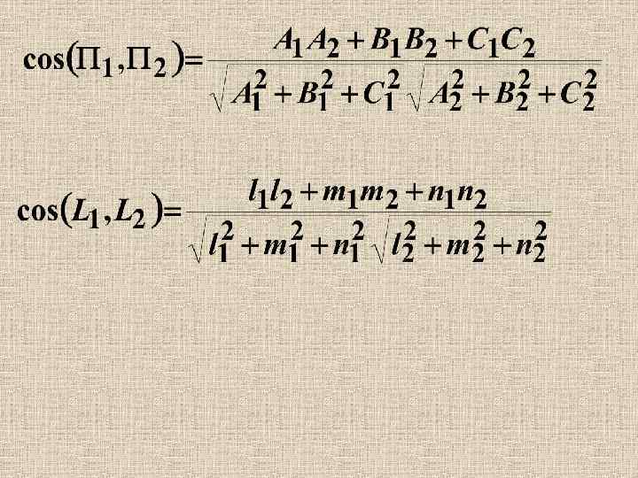
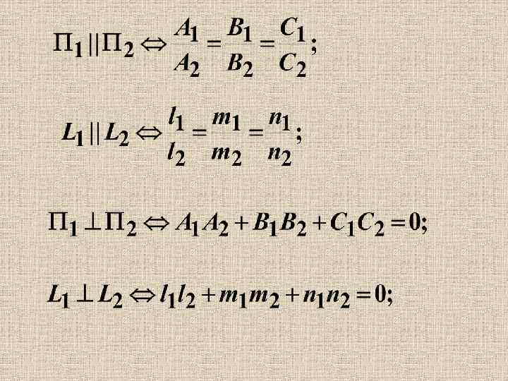
общее уравнение двумерной плоскости.
уравнение плоскости в отрезках:
прямая задана системой уравнений.
Кривые второго порядка Определение. Множество всех точек плоскости, координаты которых удовлетворяют алгебраическому уравнению 2 -й степени называется кривой второго порядка
9 кривых второго порядка прямая пересекает кривую второго порядка не более чем в 2 -х точках ! 3 основных кривых второго порядка: эллипс, гипербола, парабола
Эллипс
1) Каноническое уравнение 2) Уравнение касательной в точке M( x 0 , y 0 )
3) Фокусы эллипса 4) Эксцентриситет эллипса:
5) Отношение полуосей : 0 : эллипс окружность 1 : эллипс отрезок
6) Расстояния от точки эллипса до фокусов (фокальные радиусы): Необходимое и достаточное условие принадлежности точки эллипсу!
7) Директрисы эллипса 8) Параметрическое уравнение эллипса
8) Оптическое свойство эллипса
Гипербола
1) Каноническое уравнение 2) Уравнение касательной в точке M( x 0 , y 0 ) Асимптоты:
3) Фокусы гиперболы 4) Эксцентриситет гиперболы:
6) Расстояния от точки гиперболы до фокусов (фокальные радиусы):
7) Директрисы гиперболы 8) Параметрическое уравнение гиперболы
8) Оптическое свойство гиперболы
Парабола
1) Каноническое уравнение 2) Фокус 4) Директриса
5) Оптическое свойство параболы
Канонические уравнения кривых второго порядка


