Скачать презентацию Лекция 3 Диаметры кривых второго порядка Свойство диаметров Скачать презентацию Лекция 3 Диаметры кривых второго порядка Свойство диаметров

Презентация лекции 3.pptx

  • Количество слайдов: 8

Лекция 3 Диаметры кривых второго порядка. Свойство диаметров кривых параболического типа. Теорема о сопряженных Лекция 3 Диаметры кривых второго порядка. Свойство диаметров кривых параболического типа. Теорема о сопряженных диаметрах. Литература. [1] § 35

Необходимые формулы Необходимые формулы

Диаметры кривых второго порядка • Теорема. Множество середин всех хорд кривой второго порядка, параллельных Диаметры кривых второго порядка • Теорема. Множество середин всех хорд кривой второго порядка, параллельных между собой и имеющих не асимптотическое направление, образуют прямую линию. • Q=0 - параметры точек

Свойство диаметров кривых параболического типа • Определение. Прямая, содержащая середины всех хорд кривой второго Свойство диаметров кривых параболического типа • Определение. Прямая, содержащая середины всех хорд кривой второго порядка, параллельных между собой и имеющих не асимптотическое направление, называется диаметром, сопряженным этому направлению. • Теорема. Диаметр d кривой второго порядка в том и только в том случае имеет асимптотическое направление, когда кривая принадлежит параболическому типу. При этом все ее диаметры параллельны между собой

Теорема о спряженных диаметрах • Теорема (теорема о сопряженных диаметрах). Пусть ‑ кривая эллиптического Теорема о спряженных диаметрах • Теорема (теорема о сопряженных диаметрах). Пусть ‑ кривая эллиптического или гиперболического типов. Обозначим через диаметр, сопряженный не асимптотическому направлению вектора , через ‑ направляющий вектор , а через диаметр, сопряженный направлению вектора. Тогда вектор параллелен

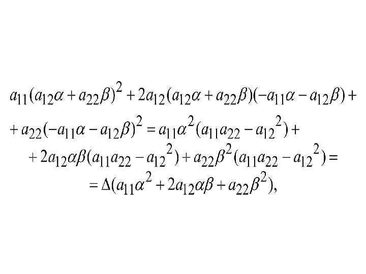
Условие сопряженности векторов в координатах • Обозначим через , координаты вектора. Тогда уравнение диаметра Условие сопряженности векторов в координатах • Обозначим через , координаты вектора. Тогда уравнение диаметра d, сопряженного направлению вектора , имеет вид: • Поэтому вектор том случае, когда параллелен прямой d в том и только в • Полученное равенство преобразуем к виду: