Лекция 25 Обмен нуклеиновых кислот
План • • • Функции нуклеозидов, нуклеотидов и нуклеиновых кислот. Переваривание нуклеотидов. Катаболизм пуриновых оснований. Биосинтез пуриновых нуклеотидов. Биосинтез пиримидиновых нуклеотидов.
Структурные единицы нуклеотидов (пиримидиновые и пуриновые основания)
Структурные единицы нуклеотидов (пентоза)
Пуриновый нуклеозид
Пиримидиновый нуклеозид
Нуклеотид – эфир фосфорной кислоты и нуклеозида
Никотинамидадениндинуклеотид
АТФ
Циклический АМФ
Цепь нуклеотидов
ДНК
РНК
Переваривание нуклеотидов
Ферменты, расщепляющие нуклеотиды • Эндонуклеазы ДНК-азы и РНК-азы панкреатического сока гидролизуют макромолекулы до олигонуклеотидов • Олигонуклеотиды под действием фосфодиэстераз панкреатической железы расщепляются до смеси 3'- и 5'мононуклеотидов • Нуклеотиды под действием нуклеотидаз и неспецифических фосфатаз гидролитически отщепляют фосфатный остаток и превращают их в нуклеозиды • Нуклеозиды расщепляются нуклеозидфосфорилазами кишечника с образованием рибозо- или дезоксирибозо-1 фосфата, пуриновых и пиримидиновых оснований • Пищевые пурины и пиримидины не являются незаменимыми пищевыми факторами
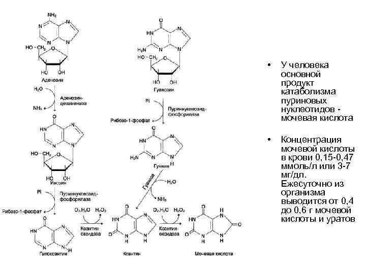
Катаболизм пуриновых нуклеотидов АМФ Гипоксантин Ксантин Мочевая кислота
• У человека основной продукт катаболизма пуриновых нуклеотидов мочевая кислота • Концентрация мочевой кислоты в крови 0, 15 -0, 47 ммоль/л или 3 -7 мг/дл. Ежесуточно из организма выводится от 0, 4 до 0, 6 г мочевой кислоты и уратов
Патология обмена пуринов • Гиперурикемия – повышение содержания мочевой кислоты в плазме. • Подагра - заболевание, при котором кристаллы мочевой кислоты и уратов откладываются в суставных хрящах, синовиальной оболочке, подкожной клетчатке с образованием подагрических узлов (тофусов). • Подагра генетически детерминирована и носит семейный характер. Она вызвана нарушениями в работе ФРДФ синтетазы или ферментов "запасного" пути: гипоксантин-гуанин- или аденинфосфорибозилтрансфераз
Биосинтез пуриновых нуклеотидов 1. Синтез de novo • Образование 5 -фосфорибозил-1 -дифосфата
• Сборка пуринового гетероцикла осуществляется на остатке 5 фосфорибозил-1 -пирофосфата при участии различных доноров углерода и азота Фосфорибозил-1 -пирофосфат Инозиновая кислот АМФ ГМФ
Биосинтез пуриновых нуклеотидов 2. Синтез пуриновых нуклеотидов с использованием готовых азотистых оснований большого значения не имеет. При торможении этого пути развивается заболевание Леша-Нихана. Дезоксирибонуклетиды образуются из рибонуклеотидов при участии тиоредоксинредуктазы, тиоредосина и НАДФН.
Биосинтез пуриновых нуклеотидов • Синтез de novo из низкомолекулярных веществ. Пурин синтезируется из СО 2, глицина, формилтетрагидрофолата, глутамина и аспартата.
Синтез пуринов регулируется конечными продуктами
Катаболизм пиримидиновых нуклеотидов Цитозин Урацил Дигидроурацил β -уреидопропионат Тимин Дигидротимин β -уреидоизобутират СО 2, NН 3 β -Аминоизобутират Пиримидины дезаминируются и декарбоксилируются до β-аланина, СО 2, NH 3 и β-аминомасляной кислоты.
Синтез пиримидиновых нуклеотидов • Пиримидиновое кольцо синтезируется из простых предшественников: глутамина, СО 2 и аспарагиновой кислоты и затем связывается с рибозо-5 -фосфатом, полученным от ФРДФ. • Синтез УМФ регулируется по механизму отрицательной обратной связи. УТФ – аллостерический ингибитор карбамоилфосфатсинтетазы.
Биосинтез пиримидиновых нуклеотидов
Патология обмена пиримидинов • Оротацидурия – нарушения, связанные с выделением больших количеств оротовой кислоты с мочой (1, 5 г, что в 1000 раз больше нормы) вследствие недостаточности фермента, катализирующего синтез УМФ. • В результате возникает недостаточность пиримидиновых нуклеотидов и накопление оротовой кислоты. • Отставание умственного и физического развития. Для лечения применяют уридин.