13 ЛЕКЦИЯ -пестицидтер.ppt
- Количество слайдов: 91
ЛЕКЦИЯ 18 ПЕСТИЦИДЫ А царь тем ядом напитал Свои послушливые стрелы И с ними гибель разослал К соседям в чуждые пределы. А. С. Пушкин
Клинические проявления: Повышается содержание ядовитого ацетилхолина, подавляется активность холинэстеразы. Симптомы: общая слабость, усталость, адинамия. • Головная боль, шум в ушах. Провалы в памяти. Расстройства сознания, речи. • Потеря аппетита. Тошнота, многократная рвота. Спазмалитические доли в животе. • Характерно обильное слюнотечение, потливость ладоней, холодный пот на лбу. Лицо отёчное. Слезотечение. И т. д. • Причиной смерти является, в основном, паралич дыхательного центра.
Физические свойства • твердые кристаллические вещества, бесцветные или желтовато-коричневые, часто маслянистые жидкости. • Специфический запах у каждого (чеснока). • Хорошо растворимы в органических растворителях, плохо в воде. • Водой гидролизуются, (в щелочной среде гидролиз ускоряется). • Когда необходимо уничтожить, обрабатывают щелочью.
• ФОС способны подавлять активность холинэстеразы (ХЭ) во всех органах и структурах, прежде всего в ЦНС. • Проникают через кожу. • Преодолевают все мембраны. • Отравления через ЖКТ или органы дыхания. • Всасываются уже во рту, желудке и кишечнике. • С кровью поступают во все органы и ткани. Наибольшее их количество в почках, печени, легких и кишечнике.
• В организме легко разрушаются, гидролизуются (сложные эфиры), отщепляют атом серы и галогены. • Могут образовываться более токсичные метаболиты. • В неизменном виде выводится около 50 %, выдыхается около 25 %, мочой 30 %. • Метаболизируются 50 % в печени и выводятся с мочой.
Изолирование • Экстракция из органов и тканей неполярными растворителями, можно диэтиловым эфиром или хлороформом. • Объект измельчают, подкисляют и экстрагируют неполярным растворителем. • Растворитель отгоняется, испаряется, с остатком проводят качественные реакции. • Остаток растворяют в воде или органическом растворителе. • Концентрации в объекте малые, поэтому используют хроматографические методы.
Методика: • 50 г биоматериала измельчают и 3 раза экстрагируют смесью ацетон-этанол-вода = 1, 5: 1. • Извлечения объединяются. Реэкстракция при р. Н=5 хлороформом. Извлечение упаривается. • Из мочи: мочу подкисляют до р. Н 5. Экстрагируют хлороформом или диэтиловым эфиром. Растворитель упаривают.
ТСХ • Остаток наносят на пластинку с силикагелем. • Растворитель гексан : ацетон (2: 1) или в чистом бензоле. • Проявляют в парах брома (проявляются ФОС и метаболиты). • Обрабатывают Fe. CI 3 и сульфосалициловой кислотой → синий фон с желтыми пятнами веществ, содержащими фосфат-ион.
Идентификация: Берут 3 пластинки хроматографические. Разгоняют. • Проявляют: - 1 -ую пластинку Pd. CI 2 или Ag. NO 3 с бромфеноловым синим - покажет Sсодержащие пестициды (лиловый цвет после обработки лимонной к-той), - 2 -ю – спиртовым раствором Na. OH, пестициды, содержащие нитро-группу – яркожелтые пятна, - 3 -ю – щелочным раствором резорцина – хлорофос и дихлорофос (роз. ). По размеру и интенсивности пятен – полуколичественное определение.
ГЖХ: • Гексановое извлечение вносят на колонку хроматографа. • Температура колонки 190 0 С. • Детектор термоионный (чувствительный к атому фосфора и галогенам). • Вводятся свидетели, сравниваются по времени удерживания. • Чувствительность выше, чем ТСХ.
Количественное определение 1) ГЖХ; 2) полуколичественные методы (для чистки образцов): берут смесь ацетилхолинэстеразы и холинэстеразы + по каплям бромтимоловый синий. Если холинэстераза не угнетена:
→
Там где ФОС, окраска изменяется позже. Чем больше содержание ФОС, тем медленнее изменяется окраска
Реакция с 2, 4 -динитрофенилгидразином • • Из хлороформной вытяжки удаляют хлороформ, добавляют 2 -3 мл воды очищенной, раствор натрия гидроксида, через 10 мин 0, 1 % раствор 2, 4 динитрофенилгидразина в 4 М растворе хлороводородной кислоты, • 1 час нагревают на водяной бане при температуре 40 0 С. • По охлаждении к жидкости добавляют 0, 6 мл 4 М раствора натрия гидроксида и этанол. • В присутствии хлорофоса, дихлофоса и ацетальдегида появляется синее или синефиолетовое окрашивание.
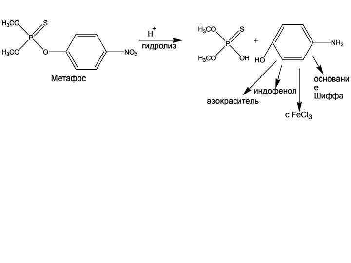
• Метафос: 1 группа по токсичности. • По устойчивости 5 группа. • Метаболит – п-нитрофенол – токсичен. На него можно провести реакции: образования азокрасителя, индофенола, реакцию с железа (lll) хлоридом, реакцию образования основания Шиффа.
Pb(CH 3 COO)2 2) Кипячение со щелочью → Na 2 S -----------→ Pb. S + CH 3 COOH черный 3) ФЭК с п-аминофенолом
Карбофос: 1) c р-вом Драген-фа → темнокрасные кристаллы в виде игл 2) + Hg. Cl 2 → желтые звездочки 3) + диазотир. сульфанил к-та → оранж. 4) р-в Марки → оранж, 5) с Cu 2+ + OH- + орг. р-ль → комплексы желто -бурого цвета, • к. о. ФЭК (5 реакция). • 3 гр. по токсичности, по устойчивости 6 гр. • ТСХ, ГЖХ, определение активности холинэстеразы
Все бедствия людей происходят не столько от того, Что они не сделали то, что нужно сделать, Сколько от того, что они делают то, чего не нужно делать. Л. Н. Толстой
Табиғи пиретроидтар және олардың синтетикалық аналогтары • Табиғи пиретроидтар және олардың синтетикалық аналогтары ауылшаруашылығында, тұрмыста: - • - концентраттар, - эмульсия, - аэрозолдар, - сирек ылғалданатын ұнтақтар және дустар.
• Перметрин – 3 -феноксибензил-3 -(2, 2 дихлорвинил)-2, 2 -диметилциклопропанкарбоксилат (амбуш). Перметрин қышқылыныың феноксибензил эфирі. Жапырақ жеуші жәндіктерге қарсы қолданады.
• Циперметрин - α-циано-3 -феноксибензил -3 -(2, 2 -дихлоровинил)-2, 2 -диметилциклопропанкарбоксилат (цимбуш). • Дельтаметрин – α-циано-3 феноксибензил-3 -(2, 2 -дибромвинил)-2, 2 диметил- циклопропанкарбоксилат
Пиретроидтар препаративті түрлері • СПиретроидтар препаративті түрлері: • пирвол және креопир (перметрин), • зоошампунь «Тузик» (2 % циперметрин) и «Дружок» (2, 5 % циперметрина), • инсектицидті карандаштар «Иней» (циперметрин) и «Заполярный» (дельтаметрин).
ТП физика-химиялық қасиеттері • Перметрин және циперметрин – сұйықтар, дельтаметрин – кристаллды зат. • ТП бейтарап сипатты заттар, растворимы в большинстве органикалық еріткіштерде (ацетон, гексан, бензол, хлороформ, ацетонитрил) жақсы, суда нашар ериді.
• Олар қышқылды және бейтарап ортада тұрақты. • Күрделі эфирлер себепті сілтілер мен күшті қышқылдар оларды сабындайды, ажыраған қышқылды және алкогольді бөлшектері тотығады, гидроксилденеді, ары қарай альдегидтер, фенолдар, жаңа қышқылдар түзіледі.
• Дельтаметрин және циперметрин құрамында CN-тобы бар; су буымен қышқылды ортада синиль (цианды сутек) қышқылына ажырап дистиллятқа түседі. • СП ерітінділері шыны және полиэтилен ыдыстарына сіңеді, • Перметрин (16 %) шыны ыдытан шайылып алынған • СП липофильді қосылыстар, липофильных тіндерге таралады.
ТП токсикологиясы , әсер ету механизмі ТП уыттылығы: - жоғары уытты (LD 50 25 – 350 мг/кг, бетациперметрин, дельтаметрин LD 50 128 мг/кг), - орташа уытты (LD 50 350 - 2500 мг/кг, перметрин, циперметрин), - төмен уытты (LD 50 2500 – 10000 мг/кг). Ортақ өлімге әкелуші дозалары диапазоны өте алшақ.
• Ішке түскенде: - эпигастрияда ауыру, лоқсу, құсу, бас ауыру, гбас айналу, анорексия, шаршау, кеуде қысылуы, тахикардия, есеңгіреу. - Пауыр улануда – қояншық ұстап естен тану. - Созылмалы уыттылық тіркелмеген.
СП уыттылығы түсу жолына тәуелді: : Пероральді түсу тері арқылы енуден жоғары; көк тамыр арқылы түсу ауыз қуысыарқылы түсуден 10 есе жоғарырақ (циперметрин және дельтаметрин).
• СП биологиядық белсенділіктері төменгі факторларға тәуелді: - олардың құрылысынан, - молекул поляризациясынан, - кеңістіктегі изомериядан. Цис-түрі, әдетте транс-түрінен уыттырақ жоғары уыттылық құрамында CN-тобы және галогенделген қосылыстарға тән (циперметрин, дельтаметрин).
• ТП – жүйке әсерлі уытты заттар. • жедел улануда клиникалық көрінісі орталық және перифериялық жүйке жүйесінің зақымдануымен сипатталады: - бронхоспазм, - диарея, - дене қозғалысы координациясының бұзылуы, - клонико-тоникалық тырысулар (судороги).
• СП холинэстераза және тотығутотықсыздан жүйесіне ықпалды . • СП төмендегілердің қызметін төмендетеді угнетение: - холинэстераза эритроциттар, - қан сарысуы, - бауыр, - ми. • Ми ХЭ қызметін тежеуі ФОС-тардан төмен.
• СП уыттылығы эритроциттардағы ХЭ белсенділігі өзгеруінен нейрондар мембранасының, натрий каналдарының құрылысы және қызметі бұзылады. • СП-дың ағзаға әсері күрделі. Себебі олар көптеген рецепторлармен байланысқа түседі.
• Кумулятивті қасиеттері әлсіз • Ағзаға зиянсыз СП тәуліктік шегі дельтаметрин және циперметринге 0, 003 мг/кг; перметринге 0, 035 мг/кг. • Дұрыс пайдаланбағанда өткір немесе өлімге де әкелер улану болуы мүмкін.
СП метаболизмі • СП ағзадағы метаболизмі зерттелмеген. • Негізгі метаболизм (егеуқұйрықтар) – гидролиз, - тотығу және гидроксилдену - қышқылды (гемм-диметил тобы) және спиртті ( 4’-пфенильқалдығы) бөлшектерінде, - CN-тобы тиоцианатқа және көмір қышқыл газына конверсиясы.
СП формулалары басқа слайдта. • Сп –лар гидролизге бейім; транс изомерлер 50 рет жылдам! • Цис – изомерлер жылдам тотығады! • Біреуі 18 метаболит түзе алады және конъюгацияға түседі –глюкоуронидтер, сульфаттар, амин қышқылдары
• СП –дың ортақ метаболиті - 3 -феноксибензой қышқылы, зәрмен 10 % дара, 3 % дейін глицинді конъюгат түрінде шығады. • ХТТ , нативті СП, және метаболиттері: - 3 -феноксибензой қышқылы, - оның тотыққан туындылары, - гидроксилденген, - конъюгаттары.
Биологиялық нысандардан талдауға сынама дайындау • СП мәйіттен оптималды оқшаулау жағдайы тәжірибеде дайындалмаған. . • Негізгі оқшаулау әдісіне – органикалық сұйықтық экстракция; қатты фазалы экстракция қолдануға болады. • Дара немесе СП қоспаларын оқшаулауға: гексан, петролей эфирі, ацетон, хлороформ, этанол, диэтил эфирі, қымыздық қышқылды су. Қышқылды ортадан (р. Н 4) хлороформ және эфирмен сорындылау
• Жануарлар, өсімдіктер нысандары майларынан тазалау – мұздату. • Фильтраттан СП –ды 3 рет 30 мл-ден гексанмен сорындылайды.
СП-ды қоршаған орта және тамақ нысандарынан талдау әдістері • ГСХ, детекторлар: - электронзахватный - нанограммды және пикограммды талдау. - ПИД –жалынды-изонияциялы, нанограммды мөлшерде талдау.
Бағаналар: капиллярлы және шыны СП қоспасы ГСХ : - шыны бағана (0, 5 м х 1, 75 мм), - бағана температурасы 230 0, детектор 2700; - тасымалдаушы газ – азот, - жылдамдығы 17, 5 мл/мин. Порядок выхода СП бағанадан шығу реттері және Т ұст. : хлорпирифос 1 сек; перметрин 6, 03; циперметрин 8, 51; дельтаметрин 14, 59 сек.
• ВЭЖХ - ЖӘСХ (УФ-детектор), сезімталдық дәрежесі микрограммды мөлшер. Қолданылуы перметрин, дельтаметрин және циперметрин (табиғи және метаболиттері)техникалық препараттары, өсімдіктер нысандар талдауы. • - ЖӘСХ ИК-детекторымен СП селективті идентификация және геометриялық және стереоизомериялық анықталына алады.
СП -ды ЖҚХ әдісімен талдау • Силикагелді, счирек алюминий оксиді табақшалармен жоғары бағытталған хроматография. • Гексан және толуолға полярлы еріткіштер ацетон, этилацетат, диэтил эфирі ж. б. қосылған 2 -және 3 компонентті жүйелер қолданылады.
Детектирлеу сулы немесе спиртті фосфорномолибден қышқылы 5 -10 - 20 % ерітінділерімен жүргізіледі; перметрин, циперметрин және дельтаметрин микрограммдық мөлшерлері анықталынады. • Күміс нитраты 25 % аммоний гидроксидін; бромфенол көгімен араласқан ерітінді қоспасын да қолдануға болады. • Лимон қышқылы. • Басқа реакциялар аз зерттелген, ал СФ қолданыста жоқ
• Возможность использований реакций окрашивания в анализе СП мало изучены. • Спектрофотометрия (УФ-область), которая использовалась ранее, из-за невысокой чувствительности не получила распространения.
Хлорорганикалық пестицидтер
Гексахлорциклогексан (ГХЦГ) • -
• 8 тұрақты изомерлері бар. • Техникалы гексахлорциклогексан қалыпты жағдайда 60 -70 % α-изомер, 7 -10 % β; 10 -15 % γ ; 6 -7 % δ және шамамен 5 % басқа изомерлерден тұрады. • Өндірісте бензолды фотохимиялық хлорлау арқылы алады. • γ-изомер (линдан) контактылы, ішекті және фумиганты әсерлі инсектицид.
• Түссіз және иіссіз кристаллдар. • Органикалық еріткіштерде еруі ? , суда ерімейді. • Линдан – қара-сұрғылт кристаллды зат. Зеңді иісі бар (қоспалар иісі). Таза зат иіссіз. LD 50 25 – 200 мг/кг.
Оқшаулау • Су буымен айдау. • Дистиллят 300 мл, мұздатқышта дистиллятта ақ кристаллдар болуы мүмкін. Мұздатқыш ішнен ГХЦГ эфирмен шайып алады. • Эфирлі қабатты дистиллятқа қосады.
Сапалық анықтау • Эфирлі ерітіндіде орг. хлорды иондайды және анықтайды. Әдістемесі? • Гексохлоран және оның биотрансформация өнімдерін анықтауға ГСХ, ГХ-МС, ЖӘСХ, ЖҚХ қолданылады.
• -
Қолданылуы және токсикологиялық маңызы • Жеміс-жидектерден, басқа барлық ауылшаруашылығы өсімдіктерін , тоғайларды өңдеуге; • Топырақ зиянкестерімен күресте; • Астық қамбалары, құрылыс ағаштары дезинфекциясы; • Кейде жануарлардағы Аргас кенелерімен күресуде. • Жоғары уытты. LD 50 25 -200 мг/кг, терірезорбтивті әсер. • Ағзадан салыстырмалы жылдам шығарылады.
• Жәндіктер ағзасына тез сіңеді, олардың жүйке жүйесін тез бұзады? • Гексохлоран және хлорорганикалық қосылыстар ағзада кумуляцияға бауырда, бүйректе, майлы тіндерде бейім?
• Жүйке жасушаларын токсикалы зияндайды, бас миы көк тамырын қан кернеу, өкпеге микроқан құйылу орын алады, жүрек бұлшық етін, өкпені, бауырды, бүйректі дистрофикалы өзгертеді. • Гексахлоран ерекше нейротропты әсерлі, нәтижесінде полирадикулоневрит және токсикалы энцефалит дамиды.
Гептахлор • Инден туындысы. • Камфора әлсіз иісті ақ түсті зат. Т. б. 95 -96 0 С.
• Суда, іс жүзінде, ерімейді, этанолда, керосинде жақсырақ және ароматикалық, галогенді сутектерде ериді. • Инсектицид, топырақ зиянкестеріне қарсы : май қоңыздары личинкасы және б. • LD 50 140 – 220 мг/кг (егеуқұүйрық). • Жоғары уытты. Қарқынды терірезорбтивті әсерлі, кумулятивті.
• Ас қорыту жолымен түскенде қанда тотыққан уыттырақ эпоксигептахлор түзеді. • Гептахлор және эпоксигептахлор ағза тіндерінде жинақталады. Топырақта сақталынуы бірнеше жыл. • Тағамдарда гептахлор қалдығы рұқсат етілмейді.
• Гептахлор оқшаулануы; өсімдік тағамдары ұсақталынады, орг. ерітіштермен сорындылады , с АГ-2 маркалы көмірмен тазартылады. • Сапалы анықтау: Давидова – Радомский реактиві сүзгіш қағазда күлгін-сиренді дақ береді (1: 1 қатынастағы диэтаноламин және 2 моль/л КOH метанолды ерітіндісі). • Әдіс гептахлорға спецификалы.
• Анилин және пиридин реакциясы. 0, 1 н. натрий гидроксиді ерітіндісі гептахлормен 1 -3 мин кейін ерітіндіде күңгірт-жасыл боряу береді.
СЕВИН (1 -нафтил-N-метилкарбаминат) • Производное карбаминовой кислоты, корневой гербецид. • Белое кристал. в-во, т. пл. 142 0 С. • Плохо растворим в воде, лучше растворяется в органических растворителях. • При комнатной температуре устойчив по отношению к воде, свету, кислороду воздуха. • В щелочной среде быстро подвергается гидролизу.
• Изолирование севина и основного продукта его омыления α-нафтола при ХТА внутренних органов трупа производится повторной экстракцией бензолом. • Бензол удаляется, остаток растворяется в 1015 мл этанола. Микрокристаллические реакции: - Реакция перекристаллизации. Из спиртового или хлороформного раствора севин кристаллизуется в виде характерных кристаллов и сростков (кресты и дендриты).
- С 1 % раствором пикриновой кислоты образует темно-желтые сростки кристаллов в виде снопов и пучков; - С 2 % раствором хлорной ртути севин образует бесцветные кристаллы в виде вытянутых шестиугольников и призм. Реакции окрашивания Реакции основаны на предварительном гидролизе севина до α-нафтола и последующем его обнаружении.
• С купробромидом натрия при нагревании до Т 60 0 С красно-фиолетовое или синефиолетовое окрашивание. • С 4 -аминоантипирином – оранжево-красное окрашивание, переходящее в хлороформ при встряхивании. • С 0, 5 % раствором Na. NO 2 в разбавленной серной кислоте желтое окрашивание, переходящее в оранжевое при добавлении щелочи. • С 1 % свежеприготовленным раствором Fe. Cl 3 – розовое окрашивание.
Оксид углерода (ll) • СО – бесцветный газ без запаха и вкуса. • Гемоглобинотропный яд, превращающий гемоглобин в неактивную форму. • Карбокисгемоглобин образуется в результате взаимодействия гемоглобина с оксидом углерода во вдыхаемом воздухе, образующимся вследствие неполного сгорания углеродсодержащих веществ.
• Причиной смерти является острая гемическая гипоксия. Средняя физиологическая норма содержания карбоксигемоглобина в крови до 5 %, но у некоторых людей (например, курильщиков) концентрация карбоксигемоглобина в крови может увеличиваться до 10 -16 %. • Оксид углерода обладает высоким сродством к железу гемоглобина.
• Константа равновесия образования комплекса Hb·CO в 300 раз выше, чем Hb·O 2. • Вследствие конкурирующего комплексообразования угарный газ замещает кислород гемоглобина, образуя карбоксигемоглобин. • Тяжесть отравления определяется степенью насыщения крови карбоксигемоглобином. • Смерть возможна при связывании 60 % гемоглобина крови и более. • При легочных и сердечно-сосудистых заболеваниях, алкогольной интоксикации смерть может наступить при меньшем содержании карбоксигемоглобина.
• При смертельном отравлении оксидом углерода (ll) кровь, ткани и трупные пятна ярко-розовые. • Морфологические изменения при отравлениях оксидом углерода (ll) – неспецифическая дистрофия. • На интоксикацию указывает присутствие в крови трупа карбоксигемоглобина, а в мышцах – карбоксимиоглобина.
• Карбокисгемоглобин придает кожным покровам и видимым слизистым оболочкам трупа ярко-розовый или малиновый цвет. • Трупные пятна разлитые, обильные, с четкими границами, также ярко-розовые. • При диагностики острого отравления угарным газом следует незамедлительно определить содержание карбоксигемоглобина (Hb·CO) в крови, либо оксида углерода СО в выдыхаемом воздухе (ВОЗ, 1998).
Источники СО • Встречается везде, где существуют условия для неполного сгорания вещества, содержащего углерод; • входит в состав многих промышленных газов (доменный, генераторный, коксовый); • широко применяется в современном органическом синтезе; • Важными источниками СО являются выхлопные газы автомобилий, дым от пожаров, неверно эксплуатируемые нагревательные системы.
• Единственным путем поступления в организм СО являются дыхательные пути. • Для анализа используют цельную кровь, обработанную гепарином или другим стабилизатором, предохраняющим её от свертывания. • К разбавленным пробам исследуемой и нормальной крови прибавляют реагент.
1 % раствор танина Нормальная кровь (Нb-O 2) - серая окраска Кровь, содержащая карбоксигемоглобин (Нb-СO) – сохраняется розовая окраска. 20 % раствор калия ферроцианида (III), разв. уксусная кислота (Нb-O 2) - буреет (Нb-СO) - сохраняется розовая окраска. Формалин (Нb-O 2) - грязно-бурая окраска (Нb-СO) - сохраняется розовая окраска.
Свинца ацетат (Нb-O 2) - грязно-зеленая окраска (Нb-СO) - сохраняется розовая окраска. 30 % раствор Na. OH (Нb-O 2) - зелено-черная окраска (Нb-СO) - сохраняется розовая окраска. Λmax (Нb-O 2) - 577 -589 и 536 -556 (Нb-СO) – 564 -579 и 536 -523.
Химико-токсикологический анализ веществ, изолируемых экстракцией водой в сочетании с диализом • Группа веществ, изолируемых методом диализа, включает минеральные кислоты (серную, хлороводороднуюю, азотную), щелочи (гидроксиды калия и натрия, водный раствор аммиака), соли (нитриты натрия и калия, нитраты натрия и аммония, хлорат калия).
• В биологическом материале вещества неустойчивы: едкие щелочи превращаются в углекислые, • кислоты – в соли, например, серная кислота превращается в гидросульфат натрия. • В этом случае обнаружение исходных токсических веществ невозможно, так как продукты превращений являются естественными составными частями организма.
• • Объектами исследования в этом случае являются: содержимое желудка, рвотные массы, остатки пищи, части одежды и пр. При исследовании на соли к объектам исследования следует отнести и печень.
• Все эти вещества обладают свойствами сильных электролитов, т. е. диссоциируют полностью на катионы и анионы. • Для изолирования их из биологического материала применяют диализ.
ИССЛЕДОВАНИЕ ДИАЛИЗАТА Минеральные кислоты • На возможность присутствия минеральных кислот указывают результаты предварительного исследования (р. Н биологического объекта, реакции на катионы и анионы). • Для доказательства отравлений минеральными кислотами необходимо отогнать их из диализата.
• При этом отгоняются свободные кислоты, а не анионы кислот, которые являются нормальной составной частью организма. • Ввиду того, что многие кислоты перегоняются при очень высокой температуре, их предварительно переводят посредством химических превращений в более летучие соединения. • Так, серную кислоту восстанавливают до сернистой кислоты, а азотную кислоту восстанавливают до окислов азота.
Обнаружение и количественное определение серной кислоты • Переводят в летучее соединение путем восстановления ее медными опилками. • Собирают аппарат для перегонки, состоящей из колбы для восстановления, герметично соединенной с холодильником, снабженным аллонжем, конец аллонжа опускают в приёмник.
• В приёмник помещают раствор йода в иодиде калия. • Колбу нагревают на песчаной бане, при этом идет процесс восстановления серной кислоты до сернистого ангидрида: H 2 SO 4 + Cu → Cu. O + H 2 SO 3 → SO 2↑ + H 2 O • Раствор иода в приемнике окисляет продукт восстановления до серной кислоты: SO 2 + H 2 O → H 2 SO 3 + I 2 + H 2 O → H 2 SO 4 + 2 HI
• При добавлении к части дистиллята бария хлорида выпадение белого осадка указывает на обнаружение кислоты серной: H 2 SO 4 + Ba. Cl 2 → Ba. SO 4 ↓ + 2 HCl • Количественное определение кислоты серной проводят путем титрования части отгона раствором натрия гидроксида. • Количество сульфатов можно определить также гравиметрическим методом по осадку бария сульфата.
Обнаружение и количественное определение азотной кислоты На присутствие азотной кислоты в биологическом объекте могут указывать результаты предварительных испытаний. - Желтая окраска тканей биологического объекта (ксантопротеиновая реакция), которая является результатом нитрования аминокислоты фенилаланина.
- Реакция с дефиниламином (синее окрашивание образуется в присутствии кислоты азотной, нитрита или нитрата натрия, нитрата аммония и др. ). • Перегонку азотной кислoты проводят путем нагревания диализата с медными опилками: • 3 Cu + 2 HNO 3 → 3 Cu. O + 2 NO↑ + H 2 O • При перегонке происходит окисление оксида азота (II) до оксида азота (IV), при этом образуются бурые пары: • 2 NO + O 2 → 2 NO 2↑
• В приемнике при взаимодействии с водой образуется смесь азотной и азотистой кислот: 2 NO 2 + H 2 O → HNO 3 + HNO 2 • Кислоты в отгоне исследуют следующими химическими реакциями: - Реакция окрашивания шерстяных ниток в желтый цвет. - Реакция с дифениламином. Реакция образования азокрасителя с реактивом Грисса, который представляет собой растворы сульфаниловой кислоты и ά-нафтиламина.
• Количественное определение проводят методом фотоэлектроколориметрии по продукту реакции с реактивом Грисса.
Обнаружение солей азотистой кислоты • Довольно часто встречаются отравления солями азотистой кислоты – нитритами. • Для перевода нитритов в летучее состояние, перед перегонкой, к диализату прибавляют слабую уксусную кислоту. • Нитриты перегоняются в виде ангидрида азотистой кислоты: 2 Na. NO 2 + 2 CH 3 COOH → N 2 O 3↑ + 2 CH 3 COONa + H 2 O
• Использование сильных минеральных кислот недопустимо, так как в этом случае при разложении нитратов (могут присутствовать в диализате), образуется азотная кислота, которая также может восстанавливаться в азотистую кислоту.


