Лекция 13











































































Лекция 13 Алкалоиды и полусинтетические производные, содержащие фенантренизохинолиновый цикл
Из всех услуг, которые могут быть оказаны науке, Величайшая из них – Введение в ее обиход новых идей. Д. Томпсон
РАСПРЕДЕЛЕНИЕ ОСНОВНЫХ ГРУПП НАРКОТИЧЕСКИХ СРЕДСТВ В МИРЕ Группа Опиатов Группа Каннабиноидов Группа Кокаина Группа Амфетамина Другие Группы Северная Южная Европа Африка Азия Австра наркотических Америка лия средств Опиаты 27 % - 72 % 8 % 73 % 66 % Каннабиноиды 23 % 15 % 10 % 61 % 9 % 13 % Кокаин 42 % 65 % 3 % 10 % - - Амфетамин 5 % 2 % 8 % 3 % 12 % 13 % Другие 3 % 18 % 7 % 18 % 6 % 8 %
ТОНКОСЛОЙНАЯ ХРОМАТОГРАФИЯ Рекомендованные системы растворителей • Толуол : Ацетон : Этанол : конц. Аммиак 45 : 7 : 3 • Этилацетат : Метанол : конц. Аммиак 85 : 10 : 5 • Метанол: конц. аммиак 100 : 1, 5 • Хлороформ : Гексан : Триэтиламин 9 : 1 • Хлороформ : Ацетон : Этанол : конц. Аммиак 20 : 3 : 1 • Пластины СОРБТОН, СОРБФИЛ, Кизельгель G 60 • СИСТЕМА TOXILAB
• Перед проявлением пластины должны быть хорошо высушены при комнатной температуре или в шкафу при температуре не более 120 ºС или в токе горячего воздуха. • Для получения правильной окраски необходимо избавиться от следов аммиака на пластине. • Проявление пятен рекомендовано по следующей схеме: • УФ-свет при 254 и 366 нм при наличии флуоресцентного индикатора на пластине. • Реактив Драгендорфа с опиатами дает кирпично-красную окраску пятен на желтом фоне • 10 % раствор серной кислоты с небольшим нагреванием убирает окраску фона • 1 % раствор перменганата калия при нагревании • Подкисленный реактив йодплатината дает синие или пурпурные пятна опиатов.
ТОНКОСЛОЙНАЯ ХРОМАТОГРАФИЯ значения Rf*100 опиатов в рекомендованных системах Системы растворителей № 1 № 2 № 3 № 4 № 5 Героин 57 49 47 56 49 Морфин 19 20 37 4 2 Кодеин 40 35 33 21 37 Папаверин 72 69 61 76 86 Носкапин 88 78 64 88 94 6 -МАМ 53 44 46 35 47 Ацетилкодеин 69 54 44 66 75
1 ГАЗОВАЯ ХРОМАТОГРАФИЯ Типичная хроматограмма опия, полученная на капиллярной колонке R. T. Name 5. 911 Гидрокотарнин 7. 424 3, 6 -диметокси-4, 5 - эпоксифенантрен 7. 551 КОДЕИН 7. 598 Неопин 7. 696 НОРКОДЕИН 7. 701 МОРФИН 7. 731 Benzocycloheptano[2, 3, 4 - I, j]isoquinolin, 1, 9 -dihydroxy -2, 10 -dimethoxy- 7. 861 ТЕБАИН 7. 866 ОРИПАВИН 8. 243 Лауданозин 8. 501 Ретикулин, 6`-метил 8. 799 Папаверин 8. 801 4 H- Benzo[de][1, 3]benzodioxolo[5, 6 - 9. 767 Витамин Е (токоферол) 10. 592 Носкапин
• 1 Примеры исследования мочи героиниста методом ГХ-МС с использованием гидролиза и без него
• 1 ВЫСОКОЭФФЕКТИВНАЯ ЖИДКОСТНАЯ ХРОМАТОГРАФИЯ ГЕРОИНА Хроматограмма героина и его основных компонентов
Исследование волос и ногтей на опиаты
ВЕЩЕСТВА, ДОБАВЛЯЕМЫЕ В ГЕРОИН ИЛИ ОПИЙ В КАЧЕСТВЕ РАЗБАВИТЕЛЕЙ И КОРРЕКТОРОВ ДЕЙСТВИЯ • АНАЛЬГИН МОЛОЧНЫЙ САХАР • БАРБИТАЛ НОКСИРОН • БЕНЗОЙНАЯ КИСЛОТА ПАРАЦЕТАМОЛ • ГЛЮКОЗА ПРОКАИН • ДИАЗЕПАМ ПРОПИФЕНАЗОН • ДИМЕДРОЛ САЛИЦИЛОВАЯ КИСЛОТА • КОКАИН САХАРОЗА • КОФЕИН СТРИХНИН • ЛИДОКАИН ФЕНАЗЕПАМ • МАННИТ ФЕНАЦЕТИН ФЕНОБАРБИТАЛ • МЕТАДОН ФЕНОЛФТАЛЕИН • МЕТАКВАЛОН ХЛОРДИАЗОЭПОКСИД • СУЛЬФАНИЛАМИД
МОРФИН • принят в качестве золотого стандарта, в сравнении с которым оценивается действие всех остальных опиоидов. • препарат обычно представлен сульфатом морфина ; 10 мг сульфата морфина содержат 8, 5 мг обезвоженного морфина
Морфин • Химическое название: 3, 6 -дигидрокси-N- метил-4, 5 -эпоксиморфинен-7 Свойства: Основание Темп. плавления 254 -256 0 С (разл. ) Растворимость Вода 1: 5000 Этанол 1: 250 Хлороформ 1: 1500 Глицерин 1: 125 Диэтиловый эфир нерастворим
МОРФИН
Сочетание циклов А, В, С образует частично 1 гидрированный фенантрен; С, Д – гидрированный изохинолин; цикл Д – пиперидин; еще один цикл образован эпоксигруппой и соседними атомами углерода. Наличие 5 ассиметрических атомов углерода (5, 6, 9, 13, 14) придает оптическую активность. Центр основности – третичный атом азота, центр кислотности – фенольный гидроксил.
• Морфин является основным представителем 1 группы наркотических анальгетиков. • Отличается сильным болеутоляющим действием. • Понижая возбудимость болевых центров, оказывает также противошоковое действие при травмах. • В больших дозах вызывает снотворный эффект, который более выражен при нарушениях сна, связанных с болевыми ощущениями.
• Морфин вызывает выраженную эйфорию, и при его повторном применении быстро развивается болезненное пристрастие (морфинизм). • Морфин оказывает тормозящее влияние на условные рефлексы, понижает суммационную способность ЦНС, усиливает действие наркотических, снотворных и местноанестезирующих средств.
Изолирование из объектов. • Применяют подкисленный спирт или воду. Предпочтение отдают методу Крамаренко, но с изменениями: • Подщелачивание ведут аммиаком. • Вместо хлороформа используют изоамиловый спирт. • Л. М. Власенко предложен эффективный метод – метод ионообменной хроматографии на катионитах. Через колонку пропускают водное извлечение, подкисленное щавелевой кислотой до р. Н 5, 0 -6, 0, морфин оседает на катионите. Десорбцию проводят 5 % водным раствором аммиака, морфин выходит из колонки.
Качественные реакции • Железо треххлористое (10 % водный раствор) - голубое Либермана - черный Манделина - красно-фиолетовый Фреде - фиолетово-коричневая Азотная кислота (конц. ) - красный Марки - фиолетовый
• Реакция морфина с кислотой азотной концентрированной приводит к образованию внутримолекулярного хелата оранжево-красного цвета • .
• При взбалтывании раствора морфина, слабо подкисленного кислотой серной, с раствором иодноватой кислоты или раствором иодата калия (KIO 3), не содержащего иодидов, выделяется свободный йод, который при взбалтывании с хлороформом переходит в хлороформный слой, окрашивая его в фиолетовый цвет.
• При добавлении к раствору препарата раствора калия гексацианоферрата (III) образуется псевдоморфин (2, 21 -диморфин) и калия гексацианоферрат (II), дальнейшее прибавление раствора железа (III) хлорида приводит к образованию берлинской лазури синего цвета.
• .
• УФ-спектромерия имеет максимумы в 0, 1 н растворе Na. OH 251 и 296 нм, в 0, 1 н растворе серной кислоты имеет максимум 284 нм. • ИК-спектрометрия характерные значения пиков поглощения 805, 1243, 1118, 945, 1086, 833 • Масс спектрометрия m/z = 285, 162, 42, 215, 286, 124, 44, 284 • ТСХ значения Rf∙ 100 в системах: этилацетат-метанол-аммиак (85: 10: 5) (Сил. G); 20 (Сил. 60) толуол-ацетон-этанол-аммиак (45: 7: 3) 19 (Силуф. 60) Проявление: 1) Реактивом Драгендорфа- оранжевое; 2) Реактивом Марки - фиолетовое окрашивание.
Микрокристаллоскопические реакции 1. Реакция с раствором кадмия йодида (морфин, кодеин). - При наличии морфина наблюдают быстрое выделение белого осадка, состоящего из бесцветных игл, собранных в пучки. - При наличии кодеина через 10 -20 мин наблюдают призматические кристаллы, одиночные и собранные в сростки.
2. Реакция с ртути (II) хлорида (морфин, кодеин, этилморфин). • При наличии морфина после потирания предметного стекла в области капли стеклянной палочкой через 3 -5 мин. под микроскопом наблюдают сростки из бесцветных игольчатых кристаллов в виде пучков. • При наличии кодеина при потирании предметного стекла в области капли стеклянной палочкой наблюдают бесцветные игольчатые кристаллы и пластинки.
• При наличии этилморфина наблюдают бесцветные тонкие призматические кристаллы. При потирании предметного стекла в области капли стеклянной палочкой тотчас наблюдают пучки из игл и призм.
Тест на меконовую кислоту • Меконовая (оксихелидоновая) кислота C 7 H 4 O 7 MW= 200. 10 • Меконовая кислота просто детектируется с использованием 10 % раствора хлорида железа (III). • Около 1 мг тестируемого материала растирается в 2 каплях воды с применением стеклянной палочки до придания ей коричневого цвета. Одна капля полученного раствора смешивается 1 или 2 каплями раствора железа. Кроваво красный цвет образуется в присутствии меконовой кислоты.
Кодеин Изолирование кодеина проводят из щелочных растворов органическими растворителями. Максимальная экстракция при p. H=8, 0 -8, 5. • Метод Крамаренко по общей схеме. • Особенностью кодеина , отличающей его от других алкалоидов и синтетических оснований, является растворимость в воде, с чем связаны выраженные основные свойства.
Кодеин Качественные реакции Либермана - черный Манделина - зеленая, переходящая в синюю Фреде - cиняя, затем зеленая Хлорид железа (III) - синяя Эрдмана - нет окраски, при нагревании синяя Арсенат калия - синяя Азотная кислота (конц. ) - желтый Марки - фиолетовый
• Не дает реакции образования берлинской лазури, обнаружения йода, железа (III) хлоридом, образование азокрасителя.
• УФ-спектромерия имеет максимумы в водном растворе 285 нм • ИК-спектрометрия характерные значения пиков поглощения 1052, 1500, 1111, 793, 934 • Масс спектрометрия m/z = 299, 42, 162, 124, 59, 300, 69 • ТСХ значения Rf∙ 100 в системах: • метанол-аммиак (100: 1, 5)33 (Siluf. ) • бензол-этанол-триэтиламин (диэтиламин) (9: 1: 1) 46 (Сорбф. ); 34 (Силуфол) • Проявление: 1) Реактивом Драгендорфа - оранжевое; 2) Реактивом Марки - фиолетовое окрашивание
Дополнительные сведения • Реакция с сахаром в присутствии серной кислоты. Несколько милиграммов кодеина растирают с сахаром и нагревают смесь с серной кислотой, появляется красная окраска. . • В отличии от морфина, кодеин экстрагируется диэтиловым эфиром из щелочного раствора.
Героин Синонимы : Диацетилморфин. Свойства: Основание • Температура плавления 170 0 С • Растворимость Вода 1: 1700 Этанол 1: 31 Хлороформ 1: 1, 5 Глицерин 1: 100 Диэтиловый эфир 1: 100
ГЕРОИН
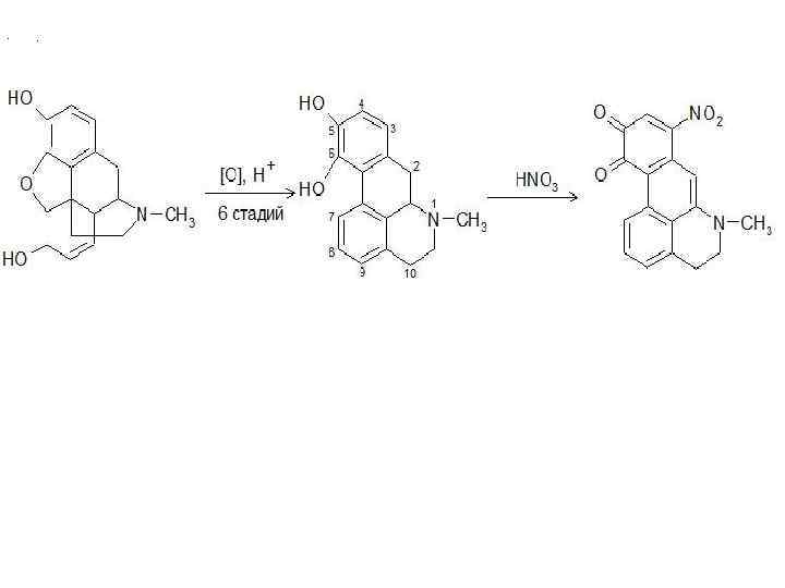
• 1 СИНТЕЗ ГЕРОИНА
• Перед как пытаться сотворить что- либо подобное, почитай УК РФ.
Качественные реакции • Либермана- черный Манделина - голубой, переходящее в зеленый Марки - фиолетовый
• УФ-спектромерия имеет максимумы в кислых растворах 279 нм, в щелочных растворах - 299 нм • ИК-спектрометрия характерные значения пиков поглощения 1245, 1764, 1178, 1215, 1736 • Масс спектрометрия m/z = 327, 43, 369, 268, 310, 42, 215, 204 • ТСХ значения Rf*100 в системах: этилацетат-метанол-аммиак(85: 10: 5)44 (Сил. G) метанол-аммиак (100: 1, 5); 67 (Сил. G) • Проявление: 1) Реактивом Драгендорфа- оранжевое; 2) Реактивом Марки - фиолетовое окрашивание, Манделина - красно-фиолетовое, конц. азотная кислота - желтое окрашивание, переходящее в светло-зеленое.
ЭТИЛМОРФИН
Дионин Синонимы: Этилморфин. Химическое название: 3 -0 -этилморфин Свойства: Основание Гидрохлорид Темп. 122 -124 0 С Темп. плавления 86 -91 0 С плавления (разл. ) Растворимость Растворимость Вода 1: 1700 Вода растворим Этанол хор. растворим Этанол растворим Хлороформ хор. растворим Хлороформ нерастворим Диэтиловый эфир растворим нерастворим эфир
Качественные реакции • Фреде- Зеленый Манделина - красная Азотная кислота (конц. ) - зеленовато-желтая Марки - коричневая, затем сине-фиолетовая
• УФ-спектрометрия имеет максимумы в кислых растворах 279 нм, в щелочных растворах - 299 нм • ИК-спектрометрия характерные значения пиков поглощения 1245, 1764, 1178, 1215, 1736 • Масс спектрометрия m/z = 327, 43, 369, 268, 310, 42, 215, 204 • ТСХ значения Rf∙ 100 в системах: • этилацетат-метанол-аммиак (85: 10: 5)44 (Сил. G) • метанол-аммиак (100: 1, 5)47 (Merk); 67 (Сил. G) • Проявление: 1) Реактивом Драгендорфа- оранжевое; 2) Реактивом Марки - желтое, переходящее в фиолетовое, а затем в черное окрашивание, • Манделина - красно-фиолетовое, • Конц. азотная кислота - желтое окрашивание, переходящее в светло-зеленое.
Токсикологическое значение • Дионин используют в глазной практике, оказывает противокашлевое действие как и кодеин. В больших дозах и при длительном применении как кодеин может вызвать наркоманию. • Метаболизм – равномерно распределяется по органам и тканям богатыми липидами. Метаболиты: морфин, норэтилморфин, конъюгаты с глюкуроновой кислотой, серной кислотой.
Симптомы острого отравления опиатами • Цианоз; • Суженные в точку зрачки; • Гипотония; • Спазм желудочно-кишечного тракта; • Снижение температуры тела, влажная липкая кожа; • Угнетение дыхания; • Нитевидный пульс; • Потеря сознания; • Кома; • Смерть от паралича дыхания через 2 -4 ч при подкожном или пероральном введении сверхдозы и мгновенно – при внутривенном.
Папаверин 6, 7 -Диметокси-1 -(3’, 4’-диметоксибензил)-изохинолина гидрохлорид. • Производное бензилизохинолина. • В опии содержится 0, 4 -1, 5 %. • Бесцветные ромбические призмы или иглы, т. пл. 145 -147 0 С. • Не растворим в воде и щелочах, трудно в спирте, легко в хлороформе.
• 1
Изолирование • Слабое азотистое основание, поэтому экстрагируется хлороформом из щелочных и кислых растворов. Изолируется всеми методами (лучше метод Крамаренко).
• Большинство реакций, подтверждающих подлинность папаверина, основаны на его способности окисляться. • Первыми продуктами окисления являются спирт папаверинол и кетон папаверальдин (окисление происходит по метиленовому фрагменту). • Восстановительные свойства объясняются наличием в структуре 2 -х ароматических фрагментов, связанных метиленовой группой, а также 4 -х метоксидных групп.
Обнаружение • Фреде- Зеленый Манделина – сине-фиолетовое Эрдмана - красная Марки – 1) нагр. фиолетово-красное или пурпурно-красную; 2) + кристаллик калия перманганата, то окраска переходит в голубую. • Кислота азотная - желтое→оранжево-красное
• с железа (III) хлоридом и серной кислотой, нагр. фиолетовое окрашивание; • микрокристаллические реакции: - с натрия цианидом (призматические кристаллы, собранные в сферолиты); - с раствором кадмия хлорида (сростки из тонких пластинок кубической формы).
Токсикологическое значение • Папаверина гидрохлорид оказывает сосудорасширяющее и спазмолитическое действие. • Нетоксичен. В медицине заменяется ношпой. • В организме деметилируется в положении 4', давая 6, 7 -диметокси-1 -(4’гидрокси-3’- метокси)-бензилизохинолин, который выводится из организма человека в связанном на 99 % виде с глюкуроновой кислотой.
Омнопон. За рубежом выходит под названиями Dormopon, Pantopon, Sompon, Papaveratum. • Смесь гидрохлоридов алкалоидов опия: морфина - 48 -50 %; других алкалоидов 32 - 35 % (наркотин, папаверина г/х, кодеин, тебаин). • Для доказательства отравления омнопоном доказывают наличие морфина и еще какого -нибудь алкалоида.
НАРКОТИН • 1
ТЕБАИН • 1
• Особенностью опийных алкалоидов является то, что они могут действовать как депрессанты и одновременно оказывать возбуждающее действие на ЦНС. • В ряду морфин, папаверин, кодеин, наркотин, тебаин наркотическое действие падает, а возбуждающее усиливается
• Сострадание – это способность увидеть в чужих несчастьях свои собственные, это – предчувствие бедствий, которые могут постигнуть и нас. Ф. Ларошфуко
КОКАИН
• Кокаин экстрагируется органическими растворителями из щелочных водных растворов. • Для быстрого обнаружения кокаина можно использовать пластыри для поглощения выделяемого пота, легко фиксируемые на коже.
Обнаружение • реакциями с реактивами группового осаждения. • по продукту его гидролиза – бензойной кислоты, если достаточные количества кокаина, н-р исследование порошков. • с КMn. O 4 образуются кристаллы характерной формы красно-фиолетового цвета. Эта реакция позволяет отличить кокаин от синтетических анестетиков. • реакцию Витали-Морена не дает. • Для обнаружения и количественного анализа можно использовать ИК-, УФ-спектроскопию, методами ГЖХ, ВЭЖХ
• Пластыри при ношении обследуемыми концентрируют на впитывающей поверхности пот, но позволяют воде испаряться, • однако они одновременно являются водонепроницаемыми для влаги из окружающей среды, • хорошо переносятся обследуемыми даже в течение 7 дней. • Эти пластыри устроены таким образом, что их можно прилепить только один раз, на поверхности пластыря выписан уникальный номер.
Пластырь «Pharmchek Sweat Patch» .
Обнаружение • реакциями с реактивами группового осаждения. • по продукту его гидролиза – бензойной кислоты, если достаточные количества кокаина, например исследование порошков. • с КMn. O 4 образуются кристаллы характерной формы красно-фиолетового цвета. Эта реакция позволяет отличить кокаин от синтетических анестетиков. • реакцию Витали-Морена не дает. • Для обнаружения и количественного анализа можно использовать ИК-, УФ-спектроскопию, методами ГЖХ, ВЭЖХ.
Токсикологическое значение • Кокаин сильно стимулирует ЦНС, способен изменять сознание, снимать усталость, подвергаться активному метаболизму. • Из-за высокой токсичности в медицине находит применение только как местноанестезирующее средство. • Большие дозы вызывают паралич дыхания. • Опасно воздействие кокаина на ЦНС, при этом проявляются отклонения в поведении, тяжелая депрессия, пароноидные расстройства, психозы (для которых введен термин «кокаиновый психоз» ), галлюцинации.
• Скорость привыкания к кокаину зависит от способа его потребления и используемых доз. При интраназальном введении зависимость возникает постепенно, а при курении и внутривенном введении развивается быстро. • При приеме кокаина может возникнуть тяжелейшая наркомания – кокаинизм. • Включен в список № 2 Конвенции ООН по наркомании и в соответствующий Список № 2 Постоянного комитета по контролю качества наркотических средств РФ.
• Спидболл – смесь крэка и героина с высоким наркотическим потенциалом. • Спидболл преимущественно курят. • Крэк в составе спидболла является стимулятором короткого, интенсивного эффекта от 8 до 10 мин. После этого возникает сильное нервное возбуждение и тяжелая депрессия. • Героин проявляет седативное действие, которое длится до 4 час, противодействует депрессии, вызываемой крэком. • Настроение потребителя спидболла меняется быстро и непредсказуемо. Постоянное курение спидбола вызывает заболевание горла, легких
Синтетические заменители кокаина • Новокаин - бесцветные кристаллы или белый кристаллический порошок; • новокаинамид - белый или белый со слегка кремоватым оттенком кристаллический порошок; • мало растворимы в хлороформе и практически нерастворимы в эфире. • Экстрагируются органическими растворителями из щелочных водных растворов.
Новокаин и новокаинамид • имеют незамещенную первичную ароматическую аминогруппу, образуют: - азокраситель, - шиффовы основания, - с альдегидами, под действием хлороформа и спиртового раствора натрия гидроксида образуют изонитрилы, имеющие тошнотворный запах.
• Новокаин обесцвечивает раствор калия перманганата за счет окисления ароматической аминогруппы (образование бесцветных продуктов окисления). • Новокаинамид в отличие от новокаина при нагревании с ванадатом аммония и конц. кислотой серной приобретает вишнёво- красное окрашивания.
Токсикологическое значение • Отравления новокаином связано лишь с его медицинским применением (передозировка, непереносимость). • При введении в организм человека, быстро поступает в кровь и в течение 24 ч выделяется с мочой. • Около 2 % выводится в неизменном виде, около 90 % выделяется в виде метаболитов - продуктов его гидролиза п-аминобензойной к-ты, частично ацетилированной, и диэтиламиноэтанола
• Новокаинамид в токсической дозе может вызвать угнетение мембранной проницаемости для ионов калия, ухудшение деполяризации и проводимости в сердце, развивается тяжелый коллапс.
НАРКОТИЧЕСКИЕ СРЕДСТВА ГРУППЫ КАННАБИНОИДОВ • СПОСОБЫ ПОЛУЧЕНИЯ, МЕХАНИЗМ ДЕСТВИЯ, МЕТОДЫ ИССЛЕДОВАНИЯ
• .
МОРФИН • принят в качестве золотого стандарта , в сравнении с которым оценивается действие всех остальных опиоидов. • п репарат обычно представлен сульфатом морфина; 10 мг сульфата морфина содержат 8, 5 мг обезвоженного морфина
• «. . . Если у Вас есть это внутреннее качество – душевное равновесие, то даже при отсутствии различных внешних условий, которые большинство считает необходимыми для счастья, Вы сможете вести жизнь, полную счастья и радости. . . » Далай Лама

