Лекция 10. Неопределенный инт(2).ppt
- Количество слайдов: 19
Лекция 10. Неопределенный интеграл Дробно – рациональная функция Простейшие рациональные дроби Разложение рациональной дроби на простейшие дроби Интегрирование простейших дробей Общее правило интегрирования рациональных дробей Интегрирование тригонометрических функций 1
Дробно – рациональная функция Дробно – рациональной функцией называется функция, равная отношению двух многочленов: Рациональная дробь называется правильной, если степень многочлен степени m числителя меньше степени знаменателя, то есть m < n , в многочлен степени n противном случае дробь называется неправильной. Всякую неправильную рациональную дробь можно, путем деления числителя на знаменатель, представить в виде суммы многочлена L(x) и правильной рациональной дроби: 2
Пример. Привести неправильную дробь к правильному виду: 3
Простейшие рациональные дроби Правильные рациональные дроби вида: Называются простейшими рациональными дробями типов. 4
Разложение рациональной дроби на простейшие дроби Теорема: Всякую правильную рациональную дробь знаменатель которой разложен на множители: , можно представить, притом единственным образом в виде суммы простейших дробей: 5
Поясним формулировку теоремы на следующих примерах: Для нахождения неопределенных коэффициентов A, B, C, D… применяют два метода: метод сравнивания коэффициентов и метод частных значений переменной. Первый метод рассмотрим на примере. 6
Пример. Представить дробь в виде суммы простейших дробей: Приведем простейшие дроби к общему знаменателю Приравняем числители получившейся и исходной дробей Приравняем коэффициенты при одинаковых степенях х 7
Интегрирование простейших дробей Найдем интегралы от простейших рациональных дробей: Интегрирование дроби 3 типа рассмотрим на примере. 8
9
Общее правило интегрирования рациональных дробей Если дробь неправильная, то представить ее в виде суммы многочлена и правильной дроби. Разложив знаменатель правильной рациональной дроби на множители, представить ее в виде суммы простейших дробей с неопределенными коэффициентами Найти неопределенные коэффициенты методом сравнения коэффициентов или методом частных значений переменной. Проинтегрировать многочлен и полученную сумму простейших дробей. 10
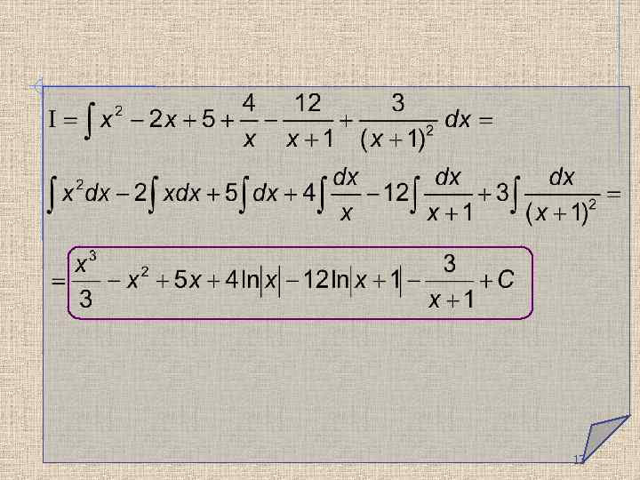
Пример Приведем дробь к правильному виду. 11
Представим дробь в виде Разложим знаменатель суммы простейших дробей правильной дроби на множители Найдем неопределенные коэффициенты методом частных значений переменной 12
13
Интегрирование тригонометрических функций Универсальная тригонометрическая подстановка Функцию с переменными sin x и cos x, над которыми выполняются рациональные действия принято обозначать Вычисление неопределенных интегралов типа: Знак рациональной функции сводится к вычислению интегралов от рациональной функции с помощью подстановки, которую называют универсальной:
На практике применяют и другие, более простые подстановки, в зависимости от вида подынтегральной функции Если функция нечетна относительно sin x, то есть: то применяется подстановка cos x = t. Если функция нечетна относительно cos x, то есть: то применяется подстановка sin x = t. Если функция четна относительно cos x и sin x, то есть: тогда:
Пример.
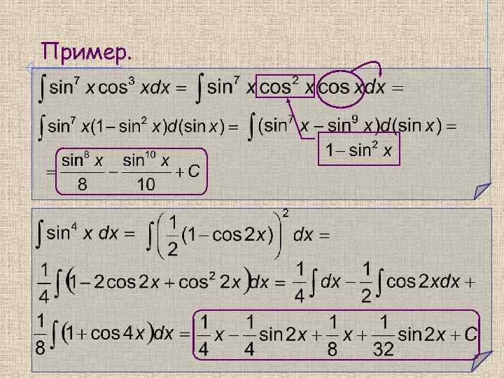
Интегралы типа: Используются следующие подстановки: Если n – целое положительное нечетное число: sin x=t Если m – целое положительное нечетное число: cos x=t В этих двух случаях можно также произвести «отщепление» одной из нечетных степеней с последующим внесением под знак дифференциала. Если m и n - целые неотрицательные четные числа, то применяются формулы понижения степени: Если m + n - отрицательное четное целое число, то применяется подстановка: tg x = t
Пример.
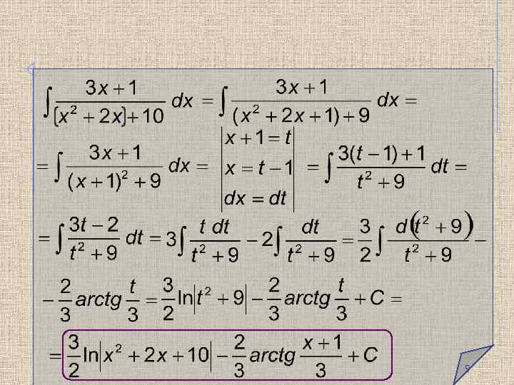
Интегралы типа: Вычисляются с помощью формул тригонометрии:
Лекция 10. Неопределенный инт(2).ppt