Технологии беспроводной связи.ppt
- Количество слайдов: 134
Лекция 1
Системы Беспроводной Связи • • Классифицируются системы беспроводной связи по следующим признакам: а) по поколению; аналоговые первого поколения; цифровые второго поколения; универсальные третьего поколения; широкополосные мультимедийные четвертого поколения;
• б) по назначению; • сотовые; • пикосотовые (бесшнуровые телефонные аппараты); • транкинговые; • спутниковые; • оптические; • пейджинговые;
• в) по методам многостанционного доступа; • с частотным разделением каналов FDMA; • с временным разделением каналов TDMA; • с кодовым разделением каналов CDMA; • комбинированные;
• • г) по способу организации канала связи; симплексные; дуплексные; полудуплексные.
• Совместить практически все технологии в одном терминале позволяет новый стандарт универсальных мобильных телекоммуникационных систем (UMTS). . • Концепция UMTS (Universal Mobile Telecommunications System) реализуется в рамках создания подвижных телекоммуникационных радиосистем 3 го поколения. • Возможность переключения с одного диапазона на другой, перехода со стандарта на стандарт или со спутникового канала на сотовый позволяет абоненту выбрать тот вид услуг, который в наибольшей степени ему подходит. • Терминалы UMTS являются многорежимными, работающими в сетях нескольких стандартов.
• Краткая история развития радиосвязи в Казахстане. • Первая радиостанция на территории Казахстана появилась в Форт Александровске в 1912 году. Сооружение радиостанций во многом подталкивалось вступившей в силу международной конвенцией, обязывавшей все государства позаботиться о строительстве береговых радиостанций для обеспечения связи с кораблями, находящимися в открытом море. Вот почему 1 е радиостанции появились у берегов Белого, Балтийского, Черного, Каспийского морей, Северного Ледовитого и Тихого океанов. Станции имели небольшую мощность и эксплуатировались мало, лишь изредка, поддерживая связь между собой или с проходящими мимо судами.
Лекция 2
• Системы транкинговой связи (ТСР) называют системы наземной подвижной связи, в первую очередь радиотелефонной, работающие, в отличие от конвенциальных, без закрепления радиочастот за абонентами. • Они обеспечивают высокую мобильность абонентов в пределах достаточно большой зоны обслуживания и используются в основном, для организации ведомственных систем радиосвязи (полиция, пожарные, строители и т. д. ).
• Название транкинговой связи происходит от английского слова trunk (ствол, пучок) и отражает то обстоятельство, что ствол связи в такой системе содержит несколько физических (как правило, частотных) каналов, каждый из которых может быть предоставлен любому из абонентов системы. • Решение о выделении того или иного канала принимается каждый раз автоматически, исходя из наличия свободных каналов. • Если на момент прихода вызова все каналы заняты, то формируется сигнал отказа в обслуживании. • В связи с этим ТСР, по сравнению с конвенциальными системами, обладают значительно более высокой пропускной способностью при тех же показателях качества обслуживания.
• В ТСР, способной обслужить большое число абонентов, обычно стремятся предельно увеличить зону действия. • Радиус ячейки ТСР может достигать 40. . . 50 км и более. • Это предопределяет то особое внимание, которое уделяется в этих системах точке расположения базовой станции и выбору правильного места для размещения антенн. • Иногда система ТСР строится в виде нескольких ячеек (многозоновая система), это делается в первую очередь ради расширения зоны действия, а не ради повышения емкости, и размеры ячеек (зон) остаются достаточно большими. • Централизованное управление совокупностью зон остается при этом ограниченным, равно как и передача обслуживания из зоны в зону, которая, если она вообще реализуется, приводит к кратковременному прерыванию связи.
• Для упрощения и удешевления ТСР в ней чаще всего используется полудуплексный режим работы, при котором один и тот же физический канал поочередно используется для связи в прямом и обратном направлениях. • Наиболее распространенный метод множественного доступа с разделением каналов по частоте (FDMA), хотя известны и примеры с использованием временного разделения (TDMA).
• Для повышения пропускной способности обычно накладываются ограничения на длительность разговора, а специфика корпоративной связи находит отражение в системе приоритетов пользователей, учитываемых при предоставлении канала связи в условиях очереди, и в объединении абонентов в группы с возможностью диспетчерского вызова одновременно всех абонентов группы. • Та же специфика обусловливает требования к оперативности и надежности установления связи. • Кроме речи в ТСР возможна передача и некоторых других видов информации, в частности, цифровой управления, телеметрии, охранной сигнализации и др.
• Среди протоколов (стандартов) ТСР связи наиболее известны открытые европейские протоколы МРТ 1327, TETRA и специализированные (лицензируемые) протоколы LTR, Smart Net, EDACS и др. Открытые протоколы не защищены патентами, и соответствующее им оборудование производится многими компаниями. Эти протоколы допускают внесение изменений, связанных, например, с национальными особенностями отдельных стран. Аналоговый протокол МРТ 1327 с уточнениями МРТ 1343, МРТ 1347, МРТ 1352, МРТ 1318, MAP 27 широко распространен в Европе.
Лекция 3
• Наряду с известными сотовыми системами радиотелефонной связи, не менее важное значение имеют системы персонального радиовызова, или пейджинговые. Привычное название пейджер происходит от английского глагола to page (вызывать, выкликать). • Более точно понятие пейджинговой системы связи раскрывает формулировка система персонального радиовызова (СПРВ). Впервые о широких возможностях СПРВ заговорили более 40 лет назад.
• В самом начале своего развития СПРВ только передавали на пейджер сигналы о том, что необходимо позвонить по заранее известному телефонному номеру. • Со временем представилась возможность передавать, наряду с сигналами вызова, короткие буквенные или цифровые сообщения. • В последние годы, в период стремительного развития систем подвижной радиосвязи, появилась возможность организовать обратную связь пейджера с базовой станцией.
• Применение в пейджинговых системах связи специального кодирования и уплотнения сообщений позволяет использовать всего один радиоканал для обслуживания десятков тысяч пользователей. • С другой стороны, малые размеры пейджеров (два спичечных коробка), доступные цены, по сравнению с ценами на услуги подвижной радиотелефонной и даже транкинговой связи, все это делает пейджинговую связь все более привлекательной.
Схема односторонней пейджинговой сети
Передача сообщений на пейджер через Internet, модем или электронной почте
Лекция 4
Сотовые сети связи • В 1982 г. в рамках организации Conference of European Posts and Telegraphs (CEPT) была образована рабочая группа под названием Groupe Special Mobile (GSM), главными задачами которой стали удешевление оборудования, повышение качества связи, поддержка международного роуминга и достижение совместимости с ISDN. • В Европе для восходящего и нисходящего потоков соединения с мобильным терминалом используются диапазоны частот 890 915 МГц и 935 960 МГц. • Доступ осуществляется по комбинированной методике TDMA/ FDMA. В частотном диапазоне шириной 25 МГц размещается 124 несущих, разделенных промежутками в 200 к. Гц. • Разнос частот между соседними каналами связи составляет 200 к. Гц. Таким образом, в отведенной для приема/передачи полосе частот шириной 25 МГц размещаются 124 канала связи.
• Каждая базовая станция привязана к одному или более частотным каналам. • В свою очередь передача данных выполняется с разделением по времени. Информация упаковывается в фреймы TDMA, состоящие из 8 элементов длительностью около 0, 577 мс, так называемые «временные слоты» . • Структура данных, размещенная в рамках такого слота, называется «burst» (пакет). Одна несущая обслуживает сразу несколько логических каналов, каждому из них отводится определенное количество слотов. • Каналы делятся на присвоенные, доступ к которым может иметь только один конкретный мобильный терминал, и общие, или управляющие, доступные всем устройствам в режиме ожидания. Передача данных осуществляется через Traffic Channel (TCH).
• Для упрощения электроники терминалов мультифреймы восходящего и нисходящего потоков передаются последовательно и разделены во времени паузой, равной трем слотам. • Это означает невозможность полнодуплексного соединения в сетях GSM. Согласно техническим спецификациям, различают следующие разновидности каналов TCH: голосовые – 14, 4 кбит/с, данных – 9, 6 кбит/с, 4, 8 кбит/с и 2, 4 кбит/с, а также СВСН Cell Broadcast Channel. • Скорости 14, 4 кбит/с для данных удается достичь только за счет удаления заголовочной структуры блоков TCH и специальных алгоритмов коррекции ошибок. • Так как GSM является цифровой сетью, для передачи не голосовых данных не требуется отдельного модема.
• Для инициирования вызовов и прочей служебной информации предназначены управляющие каналы (Control Channels), оперирующие мультифреймами из 51 фрейма. • Мобильный терминал может использовать общий канал не только в режиме ожидания, но и во время передачи данных по ТСН. • Есть несколько типов таких каналов
• ВССН (Broadcast Control Channel) однонаправленный канал, по которому постоянно передается информация о параметрах и конфигурации базовой станции; • FCCH (Frequency Correction Channel) и SCH (Synchronisation Channel) используются при синхронизации терминалов с временными параметрами логических каналов; • RACH (Random Access Channel), PCH (Paging Channel) отвечают за инициализацию исходящих и входящих вызовов; • AGCH (Access Grant Channel) обслуживает процедуры присваивания канала. • Разнообразие назначений каналов вызвало появление четырех разновидностей элементарной структуры данных (burst): • Normal (нормальная) общей длиной 156 бит, содержит 114 бит полезных данных; • F burst и S burst с иной структурой, но той же длины, используются в каналах FCCH и SCH;
Фрейм(кадр) TDMA Frames 0 11: ТСН 0 1 2 3 4 5 Frames 12: SACCН 6 7 8 9 10 11 12 13 14 15 Frames 13 24: ТСН 16 17 18 Frames 25: Unused 19 20 21 22 23 24 25 Мультифрейм из 25 фреймов Длительность: 120 мк ВР 0 3 0 Tail bits ВР 1 ВР 2 57 Data bits ВР 3 ВР 4 ВР 5 1 Stealing bit ВР 6 ВР 7 26 Фрейм TDMA Длительность: 60/13 мк 1 Trainig sequence 57 Stealing bit 3 Data bits 8… 25 Tail bits Guard bits Normal burst Длительность: 15/26 мк
Структурная схема сети GSM A bis M NMC Um MS х BTS х OMC А SSN 7 PSTN BTS BSC MSC TCE PDN ISDN SSN 7 C B VRL Um HRL MS OMC SSN 7 Um MS ADC BTS AUC BSS EIR SSS PSTN MSC PDN ISDN
Схема соединения БС с Тф. ОП
Лекция 5
Сотовые системы связи • Центр коммутации осуществляет постоянное слежение за подвижными станциями, используя регистры положения HLR (Home Location Register) и перемещения VLR (Visitor Location Register). • В HLR хранится та часть информации о местоположении какой либо подвижной станции, которая позволяет центру коммутации доставить вызов станции. • Регистр HLR содержит международный идентификационный номер подвижного абонента (IMSI). Он используется для опознавания подвижной станции в центре аутентификации (AUC)
• Практически HLR представляет собой справочную базу данных о постоянно прописанных в сети абонентах. • В ней содержатся опознавательные номера и адреса, а также параметры подлинности абонентов, состав услуг связи, специальная информация о маршрутизации. • Ведется регистрация данных о роуминге абонента, включая данные о временном идентификационном номере подвижного абонента (TMSI) и соответствующем VLR.
• К данным, содержащимся в HLR, имеют дистанционный доступ все MSC и VLR сети и, если в сети имеются несколько HLR, в базе данных содержится только одна запись об абоненте, поэтому каждый HLR представляет собой определенную часть общей базы данных сети об абонентах. • Доступ к базе данных об абонентах осуществляется по номеру IMSI или MSISDN (номеру подвижного абонента в сети ISDN). К базе данных могут получить доступ MSC или VLR, относящиеся к другим сетям, в рамках обеспечения межсетевого роуминга абонентов.
• Второе основное устройство, обеспечивающее контроль за передвижением подвижной станции из зоны в зону регистр перемещения VLR. • С его помощью достигается функционирование подвижной станции за пределами зоны, контролируемой HLR. • Когда в процессе перемещения подвижная станция переходит из зоны действия одного контроллера базовой станции BSC, объединяющего группу базовых станций, в зону действия другого BSC, она регистрируется новых BSC, и в VLR заносится информация о номере области связи, которая обеспечит доставку вызовов подвижной станции. • Для сохранности данных, находящихся в HLR и VLR, в случае сбоев предусмотрена защита устройств памяти этих регистров.
• VLR содержит такие же данные, как и HLR, однако эти данные содержатся в VLR только до тех пор, пока абонент находится в зоне, контролируемой VLR. • В сети подвижной связи GSM соты группируются в географические зоны (LA), которым присваивается свой идентификационный номер (LAC). • Каждый VLR содержит данные об абонентах в нескольких LA. Когда подвижный абонент перемещается из одной LA в другую, данные о его местоположении автоматически обновляются в VLR. • Если старая и новая LA находятся под управлением различных VLR, то данные на старом VLR стираются после их копирования в новый VLR. • Текущий адрес VLR абонента, содержащийся в HLR, также обновляется.
• Для исключения несанкционированного использования ресурсов системы связи вводятся механизмы аутентификации удостоверения подлинности абонента. • Центр аутентификации состоит из нескольких блоков и формирует ключи и алгоритмы аутентификации. С его помощью проверяются полномочия абонента, и осуществляется его доступ к сети связи. • AUC принимает решения о параметрах процесса аутентификации и определяет ключи шифрования абонентских станций на основе базы данных, сосредоточенной в регистре идентификации оборудования EIR (Equipment Identification Register).
• Каждый подвижный абонент на время пользования системой связи получает стандартный модуль подлинности абонента (SIM), который содержит: международный идентификационный номер (IMSI), свой индивидуальный ключ аутентификации (Ki), алгоритм аутентификации (A 3). • С помощью записанной в SIM информации в результате взаимного обмена данными между подвижной станцией и сетью осуществляется полный цикл аутентификации и разрешается доступ абонента к сети.
• ОМС центр эксплуатации и технического обслуживания, является центральным элементом сети GSM, который обеспечивает контроль и управление другими компонентами сети и контроль качества ее работы. • ОМС соединяется с другими компонентами сети GSM по каналам пакетной передачи протокола Х. 25. ОМС обеспечивает функции обработки аварийных сигналов, предназначенных для оповещения обслуживающего персонала, и регистрирует сведения об аварийных ситуациях в других компонентах сети.
• NMC центр управления сетью, позволяет обеспечивать рациональное иерархическое управление сетью GSM. • Он обеспечивает эксплуатацию и техническое обслуживание на уровне всей сети, поддерживаемой центрами ОМС, которые отвечают за управление региональными сетями. • NMC обеспечивает управление трафиком во всей сети и обеспечивает диспетчерское управление сетью при сложных аварийных ситуациях, как например, выход из строя или перегрузка узлов
• BSS оборудование базовой станции, состоит из контроллера базовой станции (BSC) и приемо передающих базовых станций (BTS). • Контроллер базовой станции может управлять несколькими приемо передающими блоками. • BSS управляет распределением радиоканалов, контролирует соединения, регулирует их очередность, обеспечивает режим работы с прыгающей частотой, модуляцию и демодуляцию сигналов, кодирование и декодирование сообщений, кодирование речи, адаптацию скорости передачи для речи, данных и вызова, определяет очередность передачи сообщений персонального вызова.
• MS подвижная станция, состоит из оборудования, которое служит для организации доступа абонентов сетей GSM к существующим фиксированным сетям электросвязи. • В рамках стандарта GSM приняты пять классов подвижных станций от модели 1 го класса с выходной мощностью 20 Вт, устанавливаемой на транспортном средстве, до портативной модели 5 го класса, максимальной мощностью 0, 2 Вт
Сотовая сеть связи Базовая радиостанция Фиксированные линии связи Центр мобильной коммутации Мобильная радиостанция Базовая радиостанция
Лекция 6
Повторное использование частот и планирование • • • Термин «сотовый» можно соотнести как с компаниями, предоставляющими услуги мобильной связи, так и с самой сетью, так же как и с операторами сотовой связи. Сотовые технологии обеспечивают мобильную связь между абонентами с использованием двунаправленного радиоканала между телефоном пользователя и беспроводной сетью. Понятие «двунаправленный радиоканал» довольно простое. Оно предполагает повторное использование индивидуальных радиочастот (или радиоканалов) в зоне обслуживания с минимальным взаимовлиянием для того, чтобы обеспечить максимальное число одновременных разговоров. Это понятие является основным в сотовых системах и более известно как повторное использование частот. Повторное использование частот является основным фактором, отличающим в сотовой сети от всех предыдущих систем связи. Основным отличием предшествующих мобильных систем связи было неэффективное использование радиочастоты. Повторное использование частоты в пределах данного географического района позволяет обеспечить намного больше количество одновременных разговоров, чем простое разделение частотного спектра.
• Основные проекты повторного использования частоты предполагают объединения семи сотовых ячеек в группу. • Количество таких групп в MSA или RSA зависит от размеров зоны обслуживания. • Данное средство делает доступным все 416 каналов (частот, предназначенных для разговоров) в зоне покрытия сотовой связи. • Ячейки с большим трафиком будут имеет больше радиоканалов, предназначены для того, чтобы соответствовать запросам пользователей (это более известно как плотность пользователей)
Семиэлементный кластер разделения частот: ячейки с одинаковыми частотами расположены симметрично на всей протяженности сети
• Расстояние повторного использования частоты – это расстояние на местности между двумя БС, которые необходимо для того, чтобы избежать интерференции частот в соседних каналах. • Это расстояние вычитывается с помощью сложных математических формул, которые получены путем изучения электромагнитных колебаний и проведение тестов. • Расстояние повторного использования является критическим при разработке сотовой системы связи. • Полная зона покрытия БС определяется данным значением наряду с мощность передатчика, работающего с семью частотами.
Размер зоны покрытия БС и мощность сигнала определяют расстояние повторного использования беспроводных системах связи.
Вызовы в беспроводных системах связи передаются от одной ячейки к другой для их поддержания .
Сетка из шестиугольников идеальна для построения схемы покрытия беспроводной системы связи, так как она географически и функционально повторяет покрытие между соседними БС
Лекция 7
• Мобильный центр коммутации (MOBILE SWIТCHING CENTER (MSC)). Мобильный центр коммутации является мозгом беспроводной системы свя зи. Он осуществляет коммутацию вызовов абонентов посредством передачи пакетов данных из одной части сети в другую. Этот процесс называется мар шрутизация вызова. • Центр коммутации также предоставляет дополнительную информацию, необходимую для поддержки сервисов пользователей, включающих в себя регистрацию пользователя в сети, установление подлин ности (аутентификация) и обновление информации о местонахождении пользователя. • Центр коммутации контролирует все активные мобильные телефоны и все вызовы, происходящие в системе, и осуществляет их коммутацию. В большинстве случаев в настоящее время базовая станция соединена с контроллером, который в свою очередь соединен с центром коммутации.
• Взаимосвязь с коммутируемой телефонной сетью общего пользования и Интернет. • Для осуществления вызовов с мобильных телефонов на стационарные обязательно наличие связи между беспроводной сетью и коммутируемой телефонной сетью общего пользования. Эта связь в виде (DS n или OC n цепей (передающих систем), TCP/IP соединений или АТМ (DS n линии для цифровых сигналов с различной пропускной способностью. OC n оптические линии связи). • Сегодня существует подсеть, которая управляет этими соединениями и более известна как публичный узел передачи данных (Public Data Service Node PDSN). • Этот узел осуществляет передачу информации между беспроводной сетью и Интернетом, а также между дру гими сетями.
Связь мобильных станций со стационарной сетью через одну BSS: СО – стационарное оборудование BSS; АТС – автоматическая телефонная станция
• • При реализации сети возникает техническая проблема – как переключать движущегося абонента MS от одной соты в другую. Для решения этой проблемы в сотовой сети мобильной связи предусмотрен центр коммутации мобильных станций MSC (Mobile Services Switching Center), обеспечивающий переключение установленного разговорного тракта при перемещении мобильного абонента из одной соты в другую, а также подключение абонентов стационарной телефонной сети к конкретной BTS, в зоне действия которой находится данный мобильный абонент. При создании сети возникла необходимость контроля за перемещением (roaming – блужданием) мобильной станции MS, находящейся как в свободном (с точки зрения связи) состоянии, так и в состоянии занятости. Следует отметить, что при использовании сети стационарная телефонная сеть освобождается от обслуживания вызовов, поступающих от одного мобильного абонента к другому. Такие соединения устанавливаются через центр коммутации MSC.
Сотовая сеть мобильной связи
• В современной сотовой мобильной сети обычно функционирует несколько коммутационных центров MSC, в каждый из которых включается несколько BSS. • Рассмотрим особенности деления обслуживаемой мобильной связью территории на соты. • Разделить обслуживаемую территорию на соты можно двумя основными способами: • первый, основан на измерении статистических характеристик распространения радиосигналов в данной системе связи; • второй, основан на измерении или расчете параметров распространения радиосигнала для конкретного района.
• При реализации первого способа вся обслуживаемая территория разделяется на одинаковые по форме соты (ячейки) и с помощью методов статистической радиотехники определяются их допустимые размеры и расстояния до других сот, в пределах которых выполняются условия допустимого взаимного влияния. • Для получения оптимального (то есть без перекрытия или пропусков участков) разделения территории на соты могут быть использованы только три геометрические фигуры – треугольник, квадрат и правильный шестиугольник. • Наиболее подходящей фигурой является шестиугольник, так как, если антенну с круговой диаграммой направленности BTS устанавливать в его центре, то будет обеспечен доступ почти к всем участкам соты.
• Более приемлем второй способ разделения территории на соты. • В этом случае измеряют или рассчитывают параметры сотовой системы для определенного минимального числа базовых приемо передающих станций BTS, обеспечивающих удовлетворительное обслуживание абонентов по всей территории, определяют оптимальное место расположения BTS с учетом рельефа местности и других факторов, влияющих на условия распространения радиоволн, рассматривают возможность использования направленных антенн, пассивных ретрансляторов и смежных BTS в момент пиковой нагрузки
• Центр коммутации и базовые станции работают круглосуточно и непрерывно, без выключений. • При возникновении в них неисправностей работоспособность поддерживается за счет предусмотренного конструкцией резервирования, с ремонтом (заменой) вышедших из строя элементов в ситуации, когда они находятся в положении резервных. • В работе подвижных станций перерывы и отключения практически неизбежны, в том числе для смены источников питания.
Лекция 8
МЕТОДЫ МНОГОСТАНЦИОННОГО ДОСТУПА • В настоящее время известны пять вариантов множественного доступа: • FDMA (Frequency Division Multiple Access) множественный доступ с частотным разделением каналов связи; • TDMA (Time Division Multiple Access) множественный доступ с временным разде лением каналов связи; • CDMA (Code Division Multiple Access) множественный доступ с кодовым разделе нием каналов связи; • SDMA (Space Division Multiple Access) множественный доступ с пространствен ным разделением каналов связи; • PDMA (Polarization Division Multiple Access) множественный доступ с поляризаци онным разделением каналов связи.
• Практический интерес для сотовой мобильной связи представляют первые три из них. • Четвертый метод фактически используется при реализации принципа повторного использования частот, в частности при делении сот на секторы с использованием направлен ных антенн, но об этом не говорится как о методе множественного доступа. • Так как в стандарте GSM используется TDMA, частично в сочетании с FDMA, рассмотрим первые два метода множественного доступа. • 1. Метод FDMA множественный доступ с разделением каналов связи по частоте, наиболее прост при реализации, так как в этом методе каждому пользователю на время сеанса связи выделяется своя полоса частот Δƒ (частотный канал), которую он использует все время
Множественный доступ с частотным разделением каналов связи
• 2. Метод TDMA множественный доступ с разделением каналов связи по времени, состоит в том, что каждый частотный канал разделяется между пользователя ми во времени частотный канал по очереди предоставляется не скольким пользователям на опре деленные промежутки времени, то есть реализуется, например, не сколько физических каналов в одном частотном. • В качестве примера на рисунке представлен случай, когда каждый частотный канал делится между тремя пользователями. • Данная схема не соответствует чистому TDMA, а отражает сочета ние. FDMA и TDMA так как здесь рассматривается случай не одного, а нескольких частотных каналов, каждый из которых делится во времени между несколькими пользователями. • Такая схема находит практическое применение в системах сотовой мобильной связи и ее называют схемой TDMA.
Множественный доступ с временным разделением каналов связи
Системы мобильной связи 2 го поколения
Лекция 9
• Основные преимущества оптическая связь по сравнению со связью на радиочастотах, определяемые высоким значением оптической частоты (малой длиной волны): большая ширина полосы частот для передачи информации, в 104 раз превышающая полосу частот всего радиодиапазона, и • высокая направленность излучения при входных и выходных апертурах, значительно меньших апертур антенн в радиодиапазоне. Последнее достоинство оптической связи позволяет применять в передатчиках оптических систем связи генераторы с относительно малой мощностью и обеспечивает повышенную помехозащищенность и скрытность связи.
• Основная причина востребованности технологии беспроводной оптической связи заключается в огромном потенциале передавать большие объемы данных на высоких скоростях в инфракрасном диапазоне длин волн далеко за принятым диапазоном радиочастот (до 400 ГГц), существенно снижая таким образом административные издержки. • Среди всемирно известных операторов и разработчиков телекоммуникационных сетей, принявших на вооружение беспроводную оптическую технологию Sprint, Nextel, Verizon (в прошлом Bell Atlantic), Вымпелком, Motorola, Siemens.
• Сигналы входного интерфейса системы используются для модуляции сигнала в открытом оптическом канале. • Сама технология передачи основывается на передаче данных модулированным излучением в инфракрасной части спектра через атмосферу. • Передатчиком служит полупроводниковый излучающий диод. • В качестве приемника используется высокочувствительный фотодиод.
• Излучение воздействует на фотодиод, вследствие чего регенерируется исходный модулированный сигнал. • Далее сигнал демодулируется и преобразуется в сигналы выходного интерфейса. С обеих сторон используется система линз, на передающей стороне для получения коллимированного луча, а на приемной стороне для фокусирования принятого излучения на фотодиод. • Для дуплексной передачи организуется точно такой же обратный канал.
• Атмосферные оптические линии связи (Free Space Optics) — термин, давно прижившийся в телекоммуникациях. • В линиях FSO, как и в волоконно оптических линиях связи, информация передается с помощью модулированных световых волн. • Однако средой для распространения световых колебаний служит не оптическое волокно, а открытая атмосфера в пределах прямой видимости. • В этом смысле линии FSO похожи на радиорелейные линии связи, где электромагнитные волны СВЧ диапазона распространяются также в открытой атмосфере.
• Важная особенность линий FSO — отсутствие необходимости получать разрешение на частоты при установке и эксплуатации таких систем, в отличие от радиорелейных линий связи. • Кроме того, значительные затраты требуются для расчета, измерения уровней электромагнитного излучения и получения разрешения на установку радиорелейных станций. • В системах FSO используются инфракрасные лазеры, которые генерируют свет в диапазоне около 200 TГц, что соответствует длине волны порядка 1 мкм. • Имеющееся на рынке оборудование работает на одной из двух длин волн – 850 или 1550 нм.
Лекция 10
Нормативно правовые документы в области радиосвязи • • • МСЭ Р Регламент радиосвязи Всемирные радиоконференции Рекомендации МСЭ Таблица распределения радиочастот
Структурная схема радиолинии
Структурная схема организации радиосвязи: а симплексной; б дуплексной
ПЕРЕДАЧА СИГНАЛОВ НА РАССТОЯНИЕ И ИСПОЛЬЗУЕМЫЕ В РАДИОТЕХНИКЕ ЧАСТОТЫ Выбор того или иного диапазона волн для каждой конкретной системы радиосвязи определяется следующими факторами: особенностью распространения электромагнитных волн данного диапазона; • характером помех в данном диапазоне; • характером сообщения (шириной спектра); • габаритными размерами антенной системы, необходимыми для осуществления направленного излучения. •
Радиотехнический канал связи
Радиослужбы в диапазоне частот от 3 к. Гц до 60 ГГц • • • фиксированная; фиксированная спутниковая; подвижная спутниковая; сухопутная подвижная; радиовещательная спутниковая; радиолокационная; радионавигационная; радиоастрономическая; любительская; космических исследований и т. д.
Радиопередающие устройства • Схема и конструкция радиопередатчика зависят от различных факторов: • назначения, диапазона рабочих волн, мощности и т. д • Структура передатчика определяется его основными функциями, к которым относятся: • получение высокочастотных колебаний требуемой частоты и мощности; • модуляция высокочастотных колебаний передаваемым сигналом; • фильтрация гармоник и прочих колебаний, частоты которых выходят за пределы необходимой полосы излучения и могут создать помехи другим радиостанциям; • излучение колебаний через антенну.
Функциональная схема радиопередатчика
Структурная схема приемника прямого усиления
Структурная схема супергетеродинного приемника
Схема организации ПРС
Лекция 11
• Актуальный радиус действия базовой станции зависит от трех факторов: • высоты вышки, на которой расположена антенна; • типа самой антенны и • мощности излучаемого сигнала. • Эти три фактора взятые вместе, позволяют сравнить распространение радиоволн с распространением волн от камня, брошенного в воду. • Нужно иметь в виду, что высота антенны должна соответствовать высоте здания, водонапорной башни или любого другого строения.
• Затухание и искажение сигнала. Рacпpocтpaнeниe волн в атмосфере (атмосферном волноводе) определяется как отражение сигнала базовой станции в области на границе двух воздушных потоков, называемой атмосферным волноводом. Размер атмосферного волновода неразрывно связан с длиной волны и может быть образован воздушными потоками холодного и теплого воздуха. Причиной атмосферного распространения сигнала базовой станции является атмосферное явление, называемое температурной инверсией. Это часто встречающееся явление природы, которое нужно учитывать при расчете площади покрытия базовой станции. Атмосферное отражение непостоянно, следовательно, влияет на беспроводную систему связи непредсказуемым образом. Это явление влияет как на микроволновую радиосвязь, так и на передачу сигнала с базовых станций, особенно на прием сигнала в системах беспроводной фиксированной связи. Это потенциальная угроза беспроводной микроволновой связи, так как множество вызовов с мобильных телефонов будут просто пропущены.
• Обслуживание в зданиях. В 80 90 х годах все операторы мобильной связи увеличивали площадь 110 покрытия, устанавливая тысячи базовых станций. Одновременно увеличивалось и количество абонентов, на 45 60% ежегодно. При установке новых базовых станций основное внимание уделялось созданию макросот. Однако в больших офисных зданиях сервис беспроводной связи был недоступен. Конечно же, сотовые компании хотели бы сделать так, чтобы все без исключения пользователи смогли сделать звонок вне зависимости от того, где они в данный момент находятся, включая и высотные здания. Однако до 2001 года все предпочтение отдавалось построению макросот.
• Типовая модель сухопутной системы подвижной радиосвязи PCS, или линии передачи сотовой системы, включает в себя высокоподнятую антенну базовой станции и относительно короткий участок распространения по линии прямой видимости (LOS). • Присутствуют также множество трасс с переотражением (т. е. непрямой видимости — NLOS) и одна или несколько подвижных антенн, установленных на автомобиле или (более общий случай) в приемопередатчике подвижной или носимой радиостанции. • В большинстве случаев имеет место неполный участок распространения радиоволн в пределах прямой видимости между антенной базовой станции, или точкой доступа, и антеннами подвижных радиостанций из за естественных и искусственных препятствий
Среда распространения радиоволн
• При таких условиях трасса радиопередачи, может моделироваться как случайным образом изменяющаяся трасса распространения. В примере (рисунок ) антенна базовой станции расположена на высоте 70 м, т. е. на крыше самого высокого здания. • Прямая LOS трасса с распространением в свободном пространстве (does) пролегает между базовой антенной и первым зданием. • Из за его влияния на прямой трассе do вносится затухание. Расположенные в отдалении возвышенности отражают сигналы. Отраженные задержанные сигналы приеме могут иметь мощность, сравнимую с мощностью ослабленных сигналов прямой трассы.
• • • Во многих случаях может существовать более одного пути распространения радиоволн, и эта ситуация называется многолучевым распространением. Трасса рас пространения изменяется при перемещениях подвижного объекта, базового оборудования и/или движения окружающих предметов и среды. Даже малейшее, самое медленное перемещение приводит к изме нению во времени условий многолучевого распространения и, как след ствие, к изменению параметров принимаемого сигнала. Предположим, например, что абонент сотовой системы находится в автомобиле на стоянке вблизи оживленной скоростной автострады. Хотя абонент относительно неподвижен, часть окружающей среды движется со скоростью 100 км/час. Автомобили на автостраде становятся «отражателями» радиосигналов. Если во время передачи или приема этот абонент также движется (например, со скоростью 100 км/час), то параметры случайным образом отраженных сигналов изменяются с большей скоростью. Скорость изменения уровня сигнала часто описывается доплеровским рассеянием.
• Распространение радиоволн в подобных условиях характеризуется тремя, частично самостоятельными эффектами, известными как замирания из за многолучевости распространения, затенение (или экранирование) и потери при распространении. Замирания из за многолучевости описываются через замирания огибающей (независящие от частоты изменения амплитуды), доплеровское рассеяние (селективный во времени, или меняющийся во времени, случайный фазовый шум) и временное рассеяние (изменяющиеся во времени длины трасс рас пространения отраженных сигналов вызывают временные изменения са мих сигналов). Временное рассеяние приводит к появлению частотно селективных замираний.
• Замирания на трассе можно разделить на долговременные, или усредненные, замирания и кратковременные, или быстрые, замирания из за многолучевости. После того как быстрые замирания из за многолучевости устраняются усреднением на интерва ле нескольких сотен длин волн, остается еще неселективное затене ние. Причиной затенения являются в основном особенности рельефа местности вдоль трассы распространения радиосигналов сухопутных по движных систем. Это явление вызывает медленные изменения средних значений параметров релеевских замираний. Хотя для затенения не име ется подходящей математической модели, распределением, наилучшим образом соответствующим экспериментальным данным в типичном го родском районе, признано лог нормальное распределение с дисперсией от 5 до 12 д. Б.
Лекция 12
• Формула для потерь при распространении в свободном пространстве (или потерь при распространении) для всенаправленных передающей и приемной антенн с единичным коэффициентом усиления (G = 1), расположенных друг от друга на расстоянии r метров, имеет вид • .
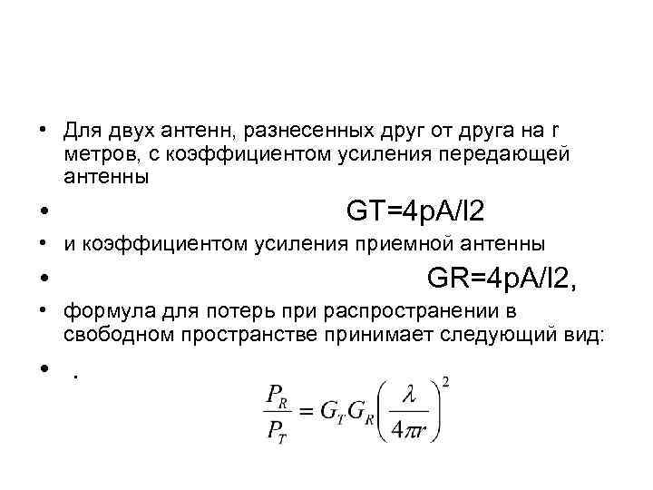
• Для двух антенн, разнесенных друг от друга на r метров, с коэффициентом усиления передающей антенны • GT=4 p. A/l 2 • и коэффициентом усиления приемной антенны • GR=4 p. A/l 2, • формула для потерь при распространении в свободном пространстве принимает следующий вид: • .
• Для прогнозирования средних потерь при распространении используются эмпирические модели, основанные на всесторонних натурных измерениях. Трасса пролегает от антенны базовой станции до антенны подвижного объекта. • Экспериментальные кривые для потерь при распространении получаются измерением уровня мощности принятого сигнала (радиочастотной несущей) и вычитанием из мощности переданного сигнала.
• Например, если имеем всенаправленные антенны с коэффициентами усиления, равными 1, передаваемая мощность равна + 30 д. Бм и в некотором месте принимаемая мощность несущей PR = 105 д. Бм, тогда потери при распространении • Lp = PТ PR = + 30 д. Бм – ( 105 д. Бм) =135 д. Бм. • Поскольку PТ и PR выражены в одних и тех же единицах, то потери Lp могут быть выражены в децибелах.
формула, известная как метод прогнозирования Окомуры,
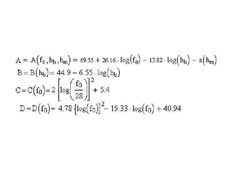
• где r – расстояние между антеннами базовой и подвижной станции, км. • Радиочастота несущей fo, МГц, высота антенны базовой станции hb, м, и высота антенны подвижной станции hm, м; величины A, B, C и D выражаются соответственно следующим образом
• где а(hm)=[1, 1∙lg(f 0) 0, 7]∙hm [1, 56∙lg(f 0) 0, 8] – для средних и малых городов; • а(hm)=3, 2[lg(11, 75∙hm)]2 4, 97 – для крупных городов. • Данной формулой можно пользоваться, если выполняются следующие условия: • fо: от 150 до 1500 МГц; • hb: от 30 до 200 м; возможно расширение диапазона (от 1, 5 до 400 м); • hm: от 1 до 10 м; • r: от 1 до 20 км; возможно расширение диапазона (от 2 м до 80 км).
Лекция 13
• Для обеспечения высокой надежности передачи данных без чрезмерного увеличения, как мощности передатчика, так и интервала повторного использования частот желательно иметь иной метод борьбы с влиянием быстрых замираний из за многолучевости. • Известно, что разнесенный прием является одним из наиболее эффективных средств, предназначенных для решения этой задачи. • Различные методы разнесения были предложены и проанализированы применительно к системам KB, тропосферной связи, а также микроволновым радиорелейным системам, работающим в пределах прямой видимости. • Методы разнесения применительно к ОВЧ, УВЧ и микроволновым системам подвижной радиосвязи анализировались в течение последних 20 лет.
• Выигрыш, получаемый за счет разнесения, увеличивается по мере возрастания требований к качеству обслуживания в цифровых системах подвижной радиосвязи, поскольку более существенное влияние быстрых замираний многолучевости проявляется при цифровой передаче. • Методы разнесения требуют организации ряда путей передачи сигналов, называемых ветвями разнесения, и схемы их комбинирования или выбора одного из них.
• В зависимости от характеристик распространения радиоволн в системах подвижной радиосвязи существует несколько методов построения ветвей разнесения, которые могут быть разбиты на следующие группы, объединяющие: • • пространственное, угловое, поляризационное, частотное, • временное разнесение.
• Пространственное разнесение. • Этот метод наиболее широко используется из за своей простоты и низкой стоимости. • Он требует одной передающей антенны и нескольких приемных антенн. Расстояние между соседними приемными антеннами выбирается с таким расчетом, чтобы замирания из за многолучевости в каждой ветви разнесения были некоррелированными.
• Угловое разнесение. • Этот метод, который получил название разнесения по направлению, требует несколько направленных антенн. Каждая антенна независимо реагирует на волну, приходящую под определенным углом или с определенного направления, и формирует некоррелированные замирающие сигналы.
• Поляризационное разнесение. Этот метод позволяет реализовать только две ветви разнесения. Он использует тот факт, что сигналы, переданные с помощью двух ортогонально поляризованных радиоволн, характерных для ОВЧ и УВЧ сухопутных систем подвижной радиосвя зи, в точке приема имеют некоррелированные статистики замираний из за многолучевости.
• Частотное и временное разнесение. Различия в частоте и/или времени передачи могут быть использованы для организации ветвей разнесения с некоррелированными статистиками замираний. • Требуемый разнос по времени и частоте можно определить, исходя из имеющихся характеристик временного рассеяния и максимальной доплеровской частоты. Основное преимущество этих двух методов разнесения по сравнению с другими состоит в том, что для их реализации требуется лишь одна передающая и одна приемная антенны, а недостаток — в том, что требуется более широкая полоса частот.
• Кодирование с исправлением ошибок может рассматриваться как один из вариантов временного разнесения в цифровых системах передачи. • Следует отметить, что для всех перечисленных методов разнесения, за исключением поляризационного, в принципе не существует ограниче ния на количество ветвей разнесения. Например, в некоторых системах радиосвязи, работающих в диапазоне 2, 4 ГГц, при организации пространственного разнесения используется до пяти приемных антенн. • Разнесение позволяет существенным образом улучшить характеристики помехоустойчивости приема и надежность цифровых систем радиосвязи.
• Наличие двух ветвей разнесения позволяет снизить значение C/I с 30 д. Б, соответствующее отсутствию разнесения, до 15 д. Б при частоте ошибок на бит (BER), равной 10 3. • При более низких значениях BER, например BER = 10 6, выигрыш за счет разнесения составляет 30 д. Б. • Относительно недорогие системы разнесения в настоящее время широко используются в системах мобильной радиосвязи, сотовой телефонии и передачи данных.
Лекция 14
• В системах с расширенным спектром каждый сигнал переносчик сообщений требует значительно более широкой полосы частот по сравнению с обычным модулированным сигналом. Более широкая полоса частот позволяет получить некоторые полезные свойства и характеристики. • Расширение спектра представляет собой метод формирования сигнала с расширенным спектром с помощью дополнительной ступени модуляции, обеспечивающей не только расширение спектра сигнала, но и ослабление его влияния на другие сигналы. Дополнительная модуляция никак не связана с передаваемым сообщением.
• • • Широкополосные системы находят применение благодаря следующим потенциальным преимуществам: повышенной помехоустойчивости; возможности обеспечения кодового разделения каналов для многостанционного доступа на его основе в системах, использующих технологию CDMA; энергетической скрытности благодаря низкому уровню спектральной плотности; высокой разрешающей способности при измерениях расстояния; защищенности связи;
• способности противостоять воздействию преднамеренных помех; • повышенной пропускной способности и спектральной эффективности в некоторых сотовых системах персональной связи; • постепенному снижению качества связи при увеличении числа пользователей, одновременно занимающих один и тот же ВЧ канал; • низкой стоимости при реализации; • наличию современной элементной базы (интегральных микросхем).
• В соответствии с архитектурой и используемыми видами модуляции системы с расширенным спектром могут быть разделены на следующие основные группы: • с прямым расширением спектра на основе псевдослучайных последовательностей (ПСП), включая системы МДКРК, •
• с перестройкой рабочей частоты (с «прыгающей» частотой), включая системы МДКР с медленной и быстрой перестройкой рабочей частоты, • множественного доступа с расширенным спектром и контролем несущей (CSMA), • с перестройкой временного положения сигналов ( «прыгающим» временем), • с линейной частотной модуляцией сигналов (chip modulation), • со смешанными методами расширения спектра.
• Процесс формирования сигналов с расширенным спектром в системах с многостанционным доступом происходит в два этапа: модуляция и расширение спектра (или вторичная модуляция посредством ПСП). Вторичная модуляция осуществляется с помощью идеальной операции перемножения g(t)s(t). При таком перемножении формируется амплитудно модулированный двухполосный сигнал с подавленной несущей.
• Концепция систем с расширенным спектром путем программной перестройки рабочей частоты во многом схожа с концепцией систем с прямым расширением спектра. • Здесь генератор двоичной ПСП управляет синтезатором частот, с помощью которого осуществляется переход ( «перескок» ) с одной частоты на другую из множества доступных частот. • Эффект расширения спектра достигается за счет псевдослучайной перестройки частоты несущей, значение которой выбирается из имеющихся частот f 1, . . . , f. N, где N может достигать значений несколько тысяч и более.
• В системах с расширенным спектром путем перестройки рабочей частоты последняя сохраняется постоянной в течение каждого интервала перестройки, но изменяется скачком от интервала к интервалу. • Частоты передачи формируются цифровым синтезатором частот, управляемым кодом ( «словами» ), поступающим в последовательном либо параллельном виде и содержащим m двоичных символов (битов) • Каждому m битовому слову или его части соответствует одна из M = 2 m частот. Хотя для осуществления перестройки частот имеется M = 2 m, m = 2, 3, частот, но не все из них обязательно используются в конкретной системе
Лекция 15
Wi-Fi (802. 11 WIRELESS FIDELIТY) • В 1999 году IEEE ратифицировал стандарт IEEE 802. 11 b для продуктов беспроводных сетей, которые работают на скорости 11 Mbps (подобно Ethernet). • Wi Fi (термин WECA для IEEE 802. 11 b) • Как и все стандарты IEEE 802, 802. 11 работает на нижних двух уровнях модели ISO/OSI, физическом уровне и канальном уровне. Любое сетевое приложение, сетевая операционная система, или протокол (например, TCP/IP), будут так же работать в сети 802. 11, как и в сети Ethernet.
• 802. 11 определяет два типа оборудования – клиент, который обычно представляет собой компьютер, укомплектованный беспроводной сетевой интерфейсной картой (Network Interface Card, NIC), и точку доступа (Access point, AP), которая выполняет роль моста между беспроводной и проводной сетями. • Точка доступа содержит в себе приёмопередатчик, интерфейс проводной сети (802. 3), программное обеспечение, занимающееся обработкой данных. В качестве беспроводной станции может выступать ISA, PCI или PC Card сетевая карта в стандарте 802. 11, либо встроенные решения( телефонная гарнитура 802. 11).
• На физическом уровне определены два широкополосных радиочастотных метода передачи и один – в инфракрасном диапазоне. • Радиочастотные методы работают в ISM диапазоне 2, 4 ГГц и обычно используют полосу 83 МГц от 2, 400 ГГц до 2, 483 ГГц. • Технологии широкополосного сигнала, используемые в радиочастотных методах, увеличивают надёжность, пропускную способность, позволяют многим несвязанным друг с другом устройствам разделять одну полосу частот с минимальными помехами друг для друга.
• Стандарт 802. 11 использует метод прямой последовательности (Direct Sequence Spread Spectrum, DSSS) и метод частотных скачков (Frequency Hopping Spread Spectrum, FHSS). • Реализация метода передачи в инфракрасном диапазоне (IR) в стандарте 802. 11 основана на излучении ИК передатчиком ненаправленного (diffuse IR) сигнала. • Вместо направленной передачи, требующей соответствующей ориентации излучателя и приёмника, передаваемый ИК сигнал излучается в потолок. Затем происходит отражение сигнала и его приём.
• В настоящее время начато внедрение двух конкурирующих стандартов на беспроводные сети следующего поколения – стандарт IEEE 802. 11 a и европейский стандарт HIPERLAN 2. Оба стандарта работают во втором ISM диапазоне, использующем полосу частот в районе 5 ГГц. Скорость передачи данных в сетях нового поколения составляет 54 Mbps.
Типичная точка доступа Wi Fi, известная как хот спот
Режим инфраструктуры: базовый набор услуг и расширенный набор услуг
Bluetooth • Bluetooth это современная технология беспроводной передачи данных. С помощью Bluetooth можно соединять практически любые устройства: мобильные телефоны, ноутбуки, принтеры, цифровые фотоаппараты и даже холодильники, микроволновые печи, кондиционеры. Bluetooth это маленький чип, представляющий собой высокочастотный (2. 4 2. 48 МГц) приёмопередатчик, работающий в диапазоне ISM (Industry, Science and Medicine диапазон). • Для передачи данных могут быть использованы асимметричный (721 Кбит/сек в одном направлении и 58 Кбит/сек в другом) и симметричный методы (433 Кбит/сек).
Литература • • • 1 Радиосвязь О. В. Головин Москва, Горячая линия– Телеком 2001 2 Функциональные устройства и обработка сигналов Ю. В. Егоров Москва, Радио и связь 1997 3 Сети подвижной связи В. Г. Карташевский. С. Н. Семенов С. Н. Фирстова Москва, Эко–Трендз 2001 4 Основы сотовой связи М. В. Ратынский Москва, Радио и связь2005 5 Системы радиосвязи Н. И. Калашников Москва, Радио и связь2005 6 Сотовые, пейджинговые и спутниковые средства связи В. И. Андрианов. А. В. Соколов Петербург. БХВ 2001 7 Оптические сети Д. Гринфилд. Петербург. БХВ 2002 8 Технологии беспроводного доступа Д. Русеев Петербург. БХВ 2002 9 Аппаратные средства локальных сетей М. Гук. Петербург. БХВ 2000. Дополнительная литература 10 Сети. Беспроводные технологии Беделл. П. М. НТ Пресс2008
Технологии беспроводной связи.ppt