Линейная алгебра - та же 2.ppt
- Количество слайдов: 83
Лекции по линейной алгебре для студентов 1 курса ИЭФ 1 -ый семестр
1. Определители n-го порядка 2. Определитель 2 -го порядка Пример: Определитель 3 -го порядка
Пример: Минор (n-1)-го порядка Mij Алгебраическое дополнение элемента aij
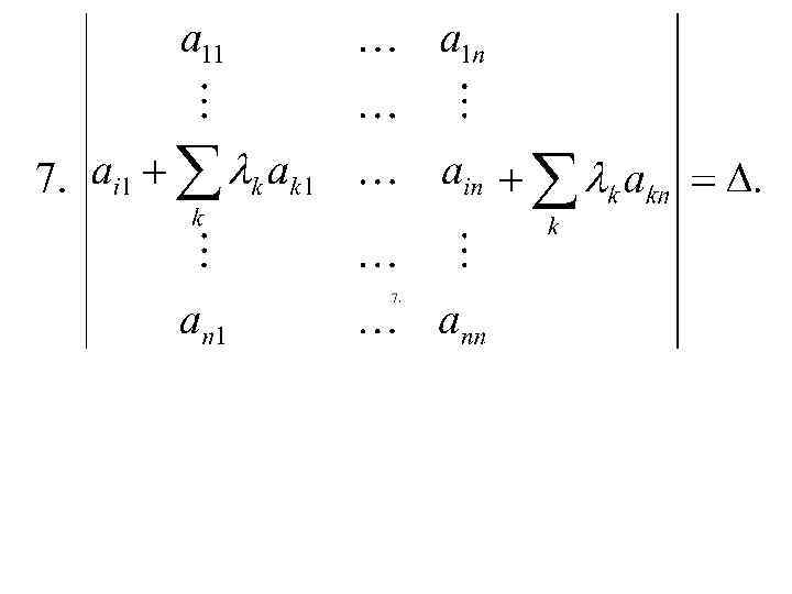
Транспонирование Свойства определителей:
Пример:
2. Матрицы и действия над ними 2. 1. Виды матриц Квадратная матрица
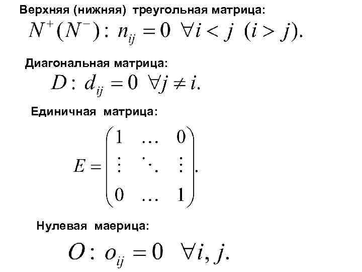
Верхняя (нижняя) треугольная матрица: Диагональная матрица: Единичная матрица: Нулевая маерица:
2. 2. Сложение матриц и умножение на число Пример:
2. 3. Свойства линейных операций 2. 4. Линейная комбинация Если -- числа, и -- матрицы одного порядка, то определена
2. 5. Умножение матриц Свойства операции умножения:
Пример: 2. 6. Обратная матрица Т.
Определение: A -- квадратная и невырожденная Присоединенная матрица
Основное свойство присоединенной матрицы
Примеры:
2. 7. Матричные уравнения
Пример:
2. 8. Ранг матрицы Определение минора. Определение ранга. Базисный минор. Базисные столбцы и строки. Теорема о базисном миноре.
Элементарные преобразования 1. Транспонирование 2. Изменение порядка строк 3. Умножение строки на число отличное от нуля 4. Вычеркивание нулевой строки 5. Вычеркивание одной из двух пропорциональных строк 6. Прибавление к какой-либо строке линейной комбинации остальных строк 7. Элементарные преобразования не меняют ранга матрицы.
Пример:
3. Система линейных уравнений 4. 3. 1. Матричная запись
3. 2. Теорема Крамера Пусть m = n.
Пример:
3. 3. Общая теория линейных систем Опр. решения, совместности Пусть m -- число уравнений, n -- число неизвестных r -- ранг системы
Т. Кронекера-Калелли Система совместна 1. Система совместна. 2.
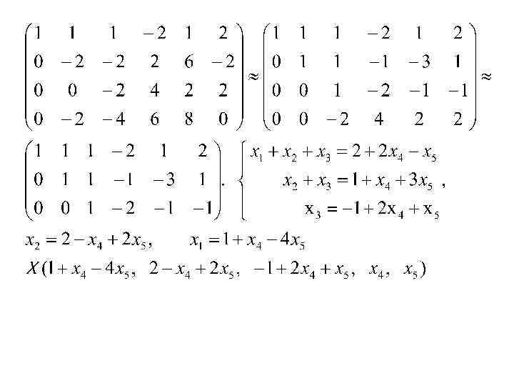
3. 4. Метод Гаусса Пусть
Прямой ход Обратный ход Пример:
Пример
4. Векторная алгебра 5. 4. 1. Основные определения 6. Коллинеарность, ортогональность, нулевой вектор, равенство векторов c B a f d e A AB e↑↑d • o e↑↓c o||f o f
4. 2. Линейные операции над векторами Сложение a b c= a+b Умножение на число a λa, λ>0 μa, μ<0
1. a+b=b+a 2. (a+b)+c=a+(b+c) 3. λ(a+b)=λa+λb 4. 0 a=O 5. λO=O 6. a-b=a+(-b) a-b a a+b b
4. 3. Теоремы разложения 1. Всякий вектор на плоскости можно разложить и притом единственным образом по двум неколлинеарным векторам. a p q
Определение компланарности. 2. Всякий вектор в пространстве можно разложить и притом единственным образом по трем некомпланарным векторам a p q r
4. 4. Проекция вектора на ось Определение оси, угол между вектором и осью, компонента вектора по оси, проекция вектора на ось B A • O A 1 B 1 -- 1 φ A 1 компонента вектора |A 1 B 1|=Прl. AB -- B 1 AB по оси l l проекция вектора на ось l
Теоремы о проекциях a b a+b a λa
4. 5. Векторы в системе координат Ось, система координат на плоскости и в пространстве. z y y 2 y 1 0 M(x, y, z) B A x 1 0 x 2 x x y
|i|=|j|=|k|=1 R M(x, y, z) i P k O Q j
4. 5. 1. Сложение
4. 5. 2. Умножение на число 4. 5. 3. Линейная комбинация
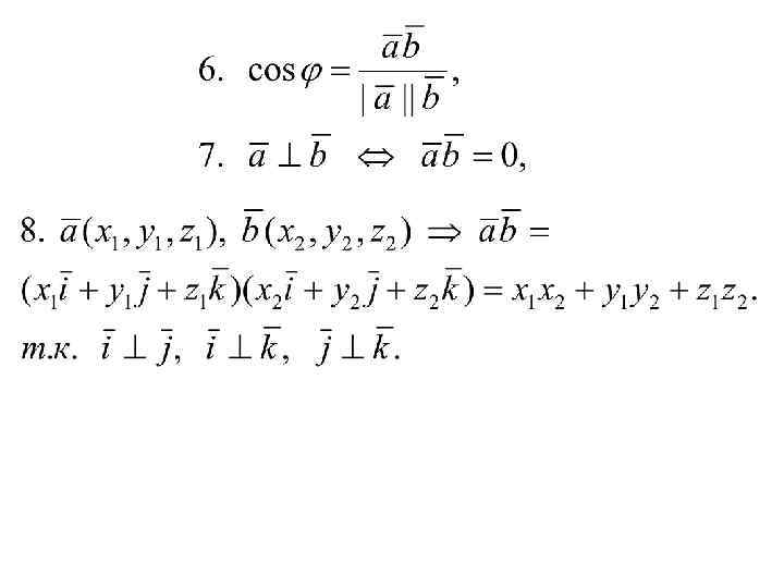
4. 6. Скалярное произведение Свойства:
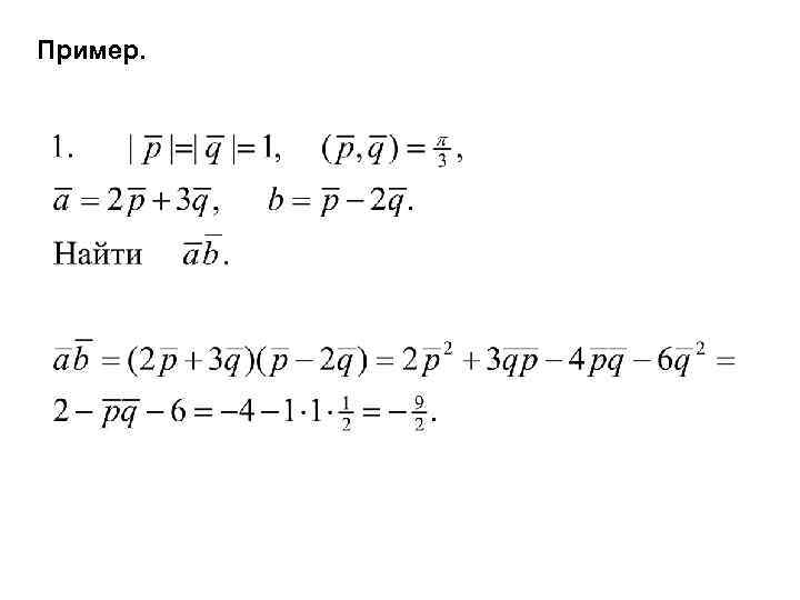
Пример.
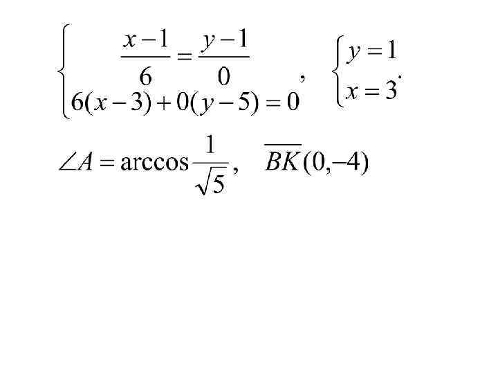
2. В тр-ке ABC найти вектор BK идущий по высоте и угол A
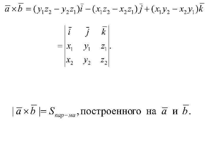
4. 7, Векторное произведение c a b φ
Свойства векторного произведения:
Используем i j k i 0 -k j j k 0 -i k -j i 0
Пример: Найти пл. тр-ка с вершинами
4. 8. Смешанное произведение трех векторов Свойства:
Пример: Даны вершины тетраэдра. Найти объем D B A C
5. Аналитическая геометрия 6. 5. 1. Основные задачи аналитической геометрии 7. 5. 1. 1. Расстояние между двумя точками 5. 1. 2. Деление отрезка в заданном отношении • • •
Пример: Найти точку пересечения медиан в тр-ке B M • A K C
5. 1. 3. Площадь треугольника (на плоскости) B A C
5. 2. Прямая на плоскости 5. 2. 1. Уравнение линии. Линия n-го порядка. Т. Прямая задается уравнением 1 -го порядка. И всякая линия первого порядка – прямая. N(A, B) • M 0(x 0, y 0) • M(x, y)
5. 2. 2. Каноническое уравнение прямой p(m, n) • M 0(x 0, y 0) M(x, y)
5. 2. 3. Уравнение прямой, проходящей через две точки M(x, y) • M 1(x 1, y 1) M 2(x 2, y 2)
5. 2. 4. Уравнение прямой с угловым коэффициентом. Уравнение пучка прямых Если прямая не пар-на оси 0 x, то y b φ x 0
y • M (x , y ) 0 0 x 0 x
Пример. Написать уравнения стороны AC медианы BM высоты BK и биссектрисы BD в тр-ке ABC
5. 2. 5. Угол между прямыми N 2 l 1 N 1 l 2 l 1 p 2 p 1 l 2
φ φ2 φ2
Пример: Написать ур-ния прямых пар-ной и перпной l и проходящих через т. М(3, -1) 5. 2. 6. Точка пересечения прямых
Пример:
5. 3. Плоскость в пространстве 5. 3. 1. Уравнение поверхности. Поверхность n-го порядка. Т. Плоскость задается уравнением 1 -го порядка. Всякое уравнение 1 -го порядка -- уравнение плоскости N(A, B, C) M(x. y, z) • M 0(x 0, y 0, z 0)
Пример. Написать ур-ние плоскости, проход. через данную точку параллельно векторам
5. 3. 2. Угол между плоскостями
Условие параллельности Условие перпендикулярности 5. 3. 3. Точка пересечения трех плоскостей
5. 4. Прямая в пространстве 5. 4. 1. Общие уравнения прямой 5. 4. 2. Канонические уравнения прямой
5. 4. 3. Угол между прямыми Условие параллельности Условие перпендикулярности Пример. Через т. М провести прямую парал. прямой
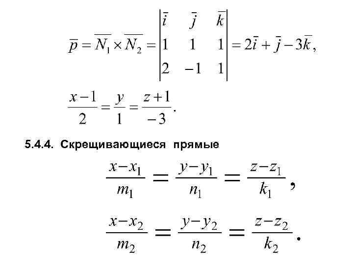
5. 4. 4. Скрещивающиеся прямые
Пример. Найти точку пересечения прямых
5. 5. Прямая и плоскость 5. 5. 1. Проекция прямой на плоскость -- геом. место осн. пер-ров π l N φ p
5. 5. 2. Угол между прямой и плоскостью 5. 5. 3. Точка пересечения прямой и плоскости
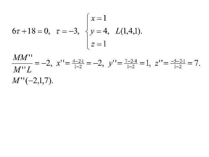
Пример: Найти точки, симметричный т. M(4, 7, -5) π относительно прямой • l K • • M’ M l и плоскости
• M π • L • M’’
Линейная алгебра - та же 2.ppt