МАТЕМАТИЧЕСКИЕ+МОДЕЛИ+ХИМИЧЕСКИХ+РЕАКТОРОВ.pptx
- Количество слайдов: 23
Лекции ОХТ МАТЕМАТИЧЕСКИЕ МОДЕЛИ ХИМИЧЕСКИХ РЕАКТОРОВ
Химические реакторы Химические реакторы– аппараты, в которых осуществляется химическое превращение с целью получения определенного вещества в рамках одного технологического процесса. В химической и смежных областях промышленности применяют всевозможные типы реакторов, имеющие существенные различия. Тем не менее установлены признаки, по которым все множество реакторов можно классифицировать. В качестве таких признаков (критериев) наиболее часто принимаются: фазовое состояние реагентов, характер операций питания реагентами и удаления продуктов реакции, режим движения реакционной среды, тепловой режим, конструктивные особенности.
Реакторы периодического действия 1) В зависимости от фазового состояния реагирующих веществ реакторы могут быть: а) гомогенными; б) гетерогенными. 2) По характеру операций питания (загрузки) реагентами и удаления (выгрузки) продуктов реакции различают реакторы: а) периодического действия. В реакторы периодического действия реагенты загружаются одновременно перед началом процесса, а через определенное время, необходимое для достижения заданной степени превращения, выгружается продукт реакции. Основные параметры химического процесса (состав, температура, давление) в них изменяются во времени. Продолжительность реакции может быть измерена непосредственно. Такие реакторы просты по конструкции и оснащаются небольшим вспомогательным оборудованием. Они используются главным образом для проведения опытных работ по изучению химической кинетики, в малотоннажных производствах или для переработки относительно дорогостоящих веществ.
Реакторы непрерывного действия б) непрерывного действия. Реакторы непрерывного действия (или с установившимся потоком) имеют непрерывное питание реагентами и непрерывное удаление продуктов реакции. В этом случае вместо продолжительности реакции, которая не может быть непосредственно замерена, пользуются величиной времени пребывания (контакта). Реакторы с установившимся потоком являются наиболее экономичными для переработки больших количеств продуктов или при реакциях, протекающих с высокими скоростями. Они требуют специального вспомогательного оборудования (мешалки, барботеры, инжекторы, теплообменники и т. п. ), но зато позволяют надежно управлять качеством целевых продуктов.
Реакторы полупериодического действия в) полупериодического действия Реакторы полупериодического действия (или с неустановившимися потоками) характеризуются различными вариантами питания и удаления продуктов реакции (например, реагенты подаются периодически при непрерывном удалении продуктов реакции, или один реагент поступает периодически, а другой непрерывно). Реакциями, протекающими в этих аппаратах, легко управлять за счет подачи реагирующих веществ, поэтому они широко используются в лабораторных условиях.
Классификация реакторов по режиму По режиму движения реакционной среды, или по структуре потоков вещества, реакторы подразделяют на аппараты: а) идеального перемешивания; б) идеального вытеснения; в) вытеснения с продольным перемешиванием; г) вытеснения с продольным и радиальным перемешиванием; д) с комбинированной структурой потока.
Классификация реакторов по тепловому режиму По тепловому режиму реакторы разделяют на: а) изотермические Изотермические реакторы имеют одну постоянную температуру во всех точках реакционного пространства; скорость реакции в них зависит только от состава реакционной среды. Изотермический режим редко достигается без вспомогательных устройств для отвода (подвода) тепла. Обычно для соблюдения изотермических условий нужны теплоноситель, способный передать (отобрать) необходимое количество тепла, и соответствующая поверхность теплообмена. б) адиабатические Адиабатические реакторы характеризуются тем, что они не должны иметь обмена с внешней средой. Это практически достигается хорошей тепловой изоляцией. в) политропические В реальных реакционных аппаратах не всегда удается обеспечить изотермический или адиабатический режимы, и процесс протекает политропически.
Конструктивные признаки реакторов По конструктивным признакам реакторы можно отнести к таким типам аппаратов: а) трубчатые; б) емкостные; в) полочные; г) комбинированные. Описанная классификация свидетельствует о том, что реальные химические реакторы существенно отличаются друг от друга и, следовательно, задача построения математических моделей таких аппаратов должна решаться в каждом конкретном случае с учетом особенностей процесса и конструктивного оформления. При этом необходимо использовать модели определяющих «элементарных» процессов (например, для реакторов непрерывного действия – модели движения потоков веществ и химического превращения) и присоединить к ним уравнения, описывающие тепловой режим, изменение фазового состояния реагентов, конструктивные и другие особенности.
Классификация математических моделей При построении математических моделей процесса в химическом реакторе были рассмотрены две структуры потока идеального смешения и вытеснения. Учитывая еще два рассмотренных способа организации движения реактантов через реактор: проточная и непроточная схемы имеем три математические модели: • Свойства процессов в реакторах изучаем по их математическим моделям, т. е. изучаем свойства уравнений, перенося затем их на свойства реактора. • Oчевиднo математическое подобие уравнений в РИС-п (а) и РИВ (с). Свойства этих моделей (уравнений) также одинаковы, но описываемые ими процессы принципиально различны - периодический нестационарный и непрерывный стационарный. • Многообразие химических реакторов сводится к изучению только двух математических моделей - дифференциального уравнения ( а) или ( с) и алгебраического (6).
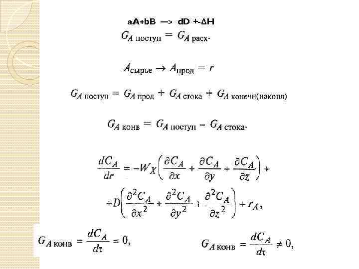
УРАВНЕНИЕ МАТЕРИАЛЬНОГО БАЛАНСА РЕАКТОРА Основанием для получения уравнения реактора любого типа является материальный баланс, составленный по одному из компонентов реакционной смеси. Составим такой баланс по исходному реагенту A при проведении простой необратимой реакции A → R. В общем виде уравнение материального баланса B A(пр) = B A(расх), (1. 2) где В А(пр) – количество реагента А, поступающего в единицу времени в тот реакционный объем, для которого составляется баланс; В А(расх) – количество реагента А, расходуемого в единицу времени в реакционном объеме. Учитывая, что поступивший в реактор реагент А расходуется в трех направлениях, можно записать В А(расх) = В А(х. р) + В А(ст) + В А(нак) , (1. 3) где В А(х. р) – количество реагента А, вступающее в реакционном объеме в химическую реакцию в единицу времени; В А(ст) – сток реагента А, т. е. количество реагента А, выходящее из реакционного объема в единицу времени; В А(нак) – накопление реагента А, т. е. количество реагента А, остающееся в реакционном объеме в неизмененном виде в единицу времени. С учетом уравнения (1. 3) уравнение (1. 2) записывается в виде В А(пр) = В А(х. р) + В А(ст) + В А(нак). (1. 4) Разность между В А(пр) и В А(ст) представляет собой количество реагента А, переносимое конвективным потоком В А(конв) : В А(конв) = В А(пр) − В А(ст) (1. 5) Принимая это во внимание, уравнение (1. 4) можно записать В А(нак) = В А(конв) − В А(х. р)
a. A+b. B —> d. D +-ΔH
Материальный баланс для элементарного объема реактора в дифференциальной форме В каждом конкретном случае уравнение материального баланса принимает различную форму. Баланс может быть составлен для единицы объема реакционной массы, для бесконечно малого (элементарного) объема, а также реактора в целом. При этом можно рассчитывать материальные потоки, проходящие через объем за единицу времени, либо относить эти потоки к 1 моль исходного реагента или продукта. В общем случае, когда концентрация реагента непостоянна в различных точках реактора или непостоянна во времени, материальный баланс составляют в дифференциальной форме для элементарного объема реактора: где СА концентрация реагента А в реакционной смеси; х, y, z пространственные координаты; х, y, z составляющие скорости потока; D коэффициент молекулярной и конвективной диффузии; r. A скорость химической реакции.
Уравнение для РИС-П может быть преобразовано, исходя из того, что в РИС-П вследствие интенсивного перемешивания все параметры одинаковы во всем объеме реактора в любой момент времени. В этом случае производная любого порядка от концентрации по осям х, у, z равна нулю: Следовательно:
РИС-П где r A - скорость реакции (функция убыли компонента А). Если взаимодействие не сопровождается изменением объема реакционной смеси, то скорость, выраженная через степень превращения компонента А, (ХА), равна Распределение концентрации реагента в РИС П: а) по времени б) по месту (объему когда п = 0 где CAO начальная концентрация компонента А; ХА - заданная степень превращения компонента А. • Время, необходимое для достижения степени превращения Xа когда п = 1
РЕАКТОРЫ НЕПРЕРЫВНОГО ДЕЙСТВИЯ Питание реагентами и отвод продуктов реакции осуществляется непрерывно. Для непрерывных реакторов применяют понятие условного времени пребывания реагентов в системе (времени контакта) =Vr/V 0, где Vr – объем реактора; V 0 – объем реакционной смеси, поступающей в реактор в единицу времени (объемный расход реагентов). Реакторы идеального вытеснения • Реактор идеального вытеснения (РИВ) представляет собой трубчатый аппарат, в котором отношение длины трубы L к ее диаметру d достаточно велико. В реактор непрерывно подаются исходные реагенты, которые превращаются в продукты реакции по мере перемещения их по длине реактора. • Каждый элемент объема реакционной массы d. Vr движется по длине реактора, не смешиваясь с предыдущими и последующими элементами объема, и ведет себя как поршень в цилиндре, вытесняя все, что находится перед ним. • Поскольку в РИВ реакционная смесь движется только в одном направлении (по длине l), то где w - линейная скорость движения реакционной смеси в реакторе; l- длина (длина пути, пройденного элементом объема реакционной смеси в реакторе).
Реакторы идеального вытеснения Так как в идеальном реакторе каждый элемент объема реакционной смеси не смешивается ни с предыдущими, ни с последующими объемами, а также отсутствует радиальное перемешивание (нет ни продольной, ни ради альной диффузии, а молекулярная диффузия мала), то Это уравнение материального баланса является математическим описанием потока реагента в РИВ при нестационарном режиме (когда параметры процесса не только меняются по длине реактора, но и непостоянны во времени). Подобный режим характерен для периодов пуска и остановки реактора. Член д. СА/дτ характеризует изменение концентрации А во времени для данной точки реактора, т. е. накопление вещества А в этой точке
Стационарный режим характеризуется тем, что параметры в каждой точке реакционного объема не меняются во времени (д. СА/дх = 0). РИВ В этом случае Если объем реакционной смеси не меняется в процессе, то Но в любой момент времени х имеем dl /dτ = w или dl = wdτ. Подставив полученное значение для d. CA и dl в уравнение находим После интегрирования уравнения в пределах изменения степени превращения от 0 до ХА получаем Из полученных данных видно, что уравнение для РИВ в общем виде такое же, как и для РИС П. Поэтому для РИВ при различных значениях п можно записать В уравнениях для РИС П величина τ – время проведения реакции от загрузки исходного реагента до выгрузки продуктов реакции, а в уравнениях для РИВ τ – время, в течение которого реакционная смесь проходитчерез РИВ от входа в реактор до выхода из него.
РИС-Н В РИС Н наблюдается резкое изменение концентрации исходного реагента при входе в реактор в результате мгновенного смешения поступающей смеси с реакционной массой, уже находящейся в реакторе, где концентрация исходного реагента значительно ниже, чем концентрация исходного реагента в поступающей смеси. для РИС Н характерным является отсутствие градиента параметров как во времени, так и в объеме реактора, поэтому уравнение материального баланса составляют сразу для реактора в целом. При этом градиенты параметров в дифференциальной форме заменяются разностью значений парамет ров на входе в реактор и на выходе из него: Изменение параметров процесса в РИС Н: а – концентрация реагента СА; б – степень превращения ХА; в – скорость реакции r. А Для простой необратимой реакции п-го порядка для реакции нулевого порядка
РИС Н Благодаря тому, что в РИС Н реакционная смесь мгновенно перемешивается, во всем объеме реактора одинакова концентрация исходного реагента, и она тем ниже, чем больше время пребывания реагентов в реакторе. По этой же причине по всему объему реактора одинакова и степень превращения и скорость реакции.
Следует отметить, что уравнения материального баланса для РИС-Н сразу записываются в виде конечных алгебраических выражений в отличие от дифференциальных форм уравнений РИС П. В уравнения РИС-П значение скорости реакции r. A следует подставлять в виде функциональной зависимости от концентрации r. A(СА) или степени превращения r. A (ХА), и лишь после интегрирования подставлять нужные значения. Это отражает зависимость данных параметров процесса в РИС П от времени. В РИС-Н в любой момент времени в любой точке реактора концентрация постоянна, следовательно, скорость реакции характеризуется одним числовым значением, определяемым этой концентрацией
Каскад РИС Н
Концентрация исходного реагента СА в такой системе снижается до конечного значения не сразу, а постепенно от реактора к реактору. Изменение концентрации реагента А в каскаде реакторов идеального смешения • В каждом реакторе концентрация исходного реагента в объеме постоянна и равна концентрации его на выходе из реактора. • Изменение концентрации исходного вещества в нем происходит так же, как и в РИС Н, т. е. скачком, при входе реакционной смеси в реактор. • Однако рабочая концентрация СА в каскаде поддерживается выше, чем в единичном реакторе смешения, и при увеличении числа реакторов приближается к значению концентрации в РИВ.
Каскад РИС Н Расчет каскада реакторов заключается в определении числа ступеней (числа реакторов) т, необходимых для достижения заданной степени превращения ХА. Существуют графический и аналитический методы расчета каскада реакторов. Графический метод расчета каскада реакторов прост и позволяет рассчитать К РИС для реакции любого порядка. В основе расчета лежит уравнение из которого для m-го реактора К РИС следует, что условное время пребывания реагента в камере смешения


