Лекции № 5 -6. Тема.















































































Лекции № 5 -6. Тема. «Производство и издержки»
Вопросы 1. Фирма как экономический субъект. Концепция временных периодов в деятельности фирмы и рынка 2. Понятие производства. Производственная функция и технологическая эффективность фирмы 3. Издержки производства в краткосрочном периоде 4. Выручка фирмы. Прибыль как цель деятельности фирмы 5. Задача производителя и экономическая эффективность затрат
Основные обозначения TP (Total Product) Общий выпуск, продукт APL (Average Product of Средний продукт Labor) (производительность) труда MPL (Marginal Product of Предельный продукт Labor) (производительность) труда APK Средний продукт капитала (капиталоотдача) MPK Предельный продукт капитала K/L Капиталовооруженность
Фирма в экономической теории - это коммерческая организация, созданная с целью получения максимальной прибыли. Фирма использует трудовые, капитальные и др. ресурсы для производства некоторого продукта (товара или услуги). Если издержки производства продукта покрываются выручкой от его реализации, фирма получает прибыль.
1. Процесс производства в техническом смысле - процесс трансформации, направленный на удовлетворение человеческих потребностей, которые рассматриваются желательными для некоторых индивидов. Трансформация предполагает, что определенные блага (ресурсы) вступают в процесс, в ходе которого они теряют свою идентичность, то есть перестают существовать в первоначальной форме, в то время как создаются другие блага (продукты) 2. Процесс производства в экономическом смысле предполагает создание продукта, который обладает потенциально большей ценностью, чем ценность затраченных на его производство ресурсов
• Во-первых, фирма сама должна рассматривать произведенный продукт более ценным, чем затраченные ресурсы • Во-вторых, ценность продуктов и ресурсов должна быть измерена в рыночных ценах Характер трансформации ресурсов в продукт определяет производственная технология На уровне экономической теории производственная технология задается производственной функцией
Производственной функцией является функция вида: Q=F (R), где R = R 1, …. , Rm – производственные ресурсы, определяющая технологически эффективные способы производства • Способ производства является технологически эффективным, если производимый объем является максимально возможным при использовании фиксированного объема ресурсов • Способ производства является технологически эффективным, ели не существует никакого другого способа производства данного объема продукции, при котором затрачивалось бы меньшее количество одного ресурса, причем затраты других ресурсов становились бы не больше
Производственная функция Это зависимость максимально возможного для фирмы объема выпуска продукции (TP) от объемов использованных ей ресурсов (труда, капитала и др. ): TP = f (L, K, …)
Для графического изображения производственной технологии используется карта изоквант Изокванта – множество технологически эффективных комбинаций факторов производства для производства фиксированного объема продукции Карта изоквант - совокупность изоквант, каждая из которых соответствует определенному объему выпуска продукта. Чем дальше изокванта от начала координат, тем больше объем выпуска.
Карта изоквант
Виды производственных функций 1. Производственная функция Кобба-Дугласа: где A – технологический коэффициент: объем продукции, который можно произвести при использовании по 1 единице каждого фактора производства, К – объем применяемого капитала, L – объем применяемого труда
Вид изокванты для производственной функции Кобба- Дугласа К L
2. Линейная аддитивная производственная функция: (абсолютная взаимозаменяемость факторов производства – можно отказаться от использования одного из них)
Вид изокванты для линейной аддитивной производственной функции К L
3. Производственная функция Леонтьевского типа: (абсолютная взаимодополняемость факторов – факторы технологически эффективны только в фиксированной пропорции)
Вид изокванты для производственной функции Леонтьевского типа К K=(a/b)L L
Краткосрочный и долгосрочный период в теории фирмы В долгосрочном периоде (LR, от Long Run) фирма может изменить объем использования любого из своих ресурсов, приспосабливаясь к изменениям экономической ситуации. В краткосрочном периоде (SR, от Short Run) у фирмы недостаточно времени, чтобы изменить объем использования некоторых (хотя бы одного) из своих ресурсов, приспосабливаясь к изменениям экономической ситуации. Обычно мы предполагаем (хотя это не обязательно), что в краткосрочном периоде фирма может изменить количество труда (это переменный ресурс), но не успевает изменить количество капитала (это постоянный ресурс).
Производственная деятельность фирмы в краткосрочном периоде
SR: Закон убывающей предельной производительности В краткосрочном периоде, начиная с некоторого момента, каждая последующая единица ресурса приносит все меньше отдачи.
SR: Ключевой график TP L 1 2 3 4 5 6 7 8 9 10 11 12 13
Основные определения APL (Average Среднее количество продукции Product of Labor) на одного рабочего. APL= TP / L MPL (Marginal Прирост выпуска при найме Product of Labor) данного дополнительного рабочего MPL= ΔTP / ΔL APK Среднее количество продукции на единицу капитала. APK= TP / K MPK Прирост выпуска при аренде данной дополнительной единицы капитала MPK= ΔTP /ΔK
Динамика общего, среднего и предельного продукта фактора Q TPL APL MPL I III IV L
• I – труд абсолютно недостаточен: предельный и средний продукты растут; • II – труд относительно недостаточен – предельный продукт сокращается, средний продукт растет; • III – труд относительно избыточен: предельный и средний продукт сокращаются, общий продукт растет; • IV – труд абсолютно избыточен: предельный продукт отрицателен, общий продукт снижается Для некоторых производственных функций справедлив закон убывающего предельного продукта фактора – начиная с некоторого момента предельный продукт убывает
Предельный и средний продукты труда Вася Петя Саша Коля Миша Дима Женя Леша Общее кол-во труда, L (чел. ) 1 2 3 4 5 6 7 8 Найм ЭТОГО работника +2 +5 +10 +8 +6 +2 0 -1 приносит фирме… (шт. ) Общий продукт /выпуск/ (шт. ) 2 7 17 25 31 33 33 32 Средний продукт 2 3, 5 5, 7 6, 3 6, 2 5, 5 4, 7 4 /производительность/ (шт. /чел. ) • Заполните таблицу • Начиная с какого работника начинает действовать закон убывающей предельной производительности? Почему он действует? Будет ли это закон работать в долгосрочном периоде? • Что произойдет, если уволить Сашу? • Как ведут себя предельный и средний продукт? При одинаковом или при разном L они достигают максимума?
TP SR: Ключевой график 2 Какое количество работников нужно нанять для достижения максимального объема… -выпуска? -производительности труда? -предельного продукта? L -прибыли? APL, MPL max APL MPL APL L
Определяющими характеристиками производственной технологии являются: 1. Степень однородности (показатель эффекта масштаба) – показывает во сколько раз увеличится выпуск продукции при увеличении количества используемых ресурсов в n раз: • Если больше чем в n раз – возрастающая; • Если n раз – постоянная; • Если меньше чем в n раз – убывающая. 2. Общий продукт фактора – тот объем выпуска, который обеспечивается объемом данного ресурса при фиксированном количестве других факторов
3. Средний продукт фактора (производительность фактора) – объем выпуска продукции, приходящийся на единицу используемого фактора: 4. Предельный продукт фактора – показывает, как изменится объем выпуска при изменении на единицу количества используемого ресурса: Для относительно небольших изменений в объеме используемых факторов производства допускается использование приближенной формулы:
5. Предельная норма технологического замещения – показывает, в какой пропорции нужно заменять один фактор производства другим, чтобы сохранить объем производства неизменным (тангенс угла наклоны изокванты, постоянна для линейной аддитивной функции):
Задача производителя заключается в поиске экономически эффективной структуры затрат Затраты являются экономически эффективными тогда и только тогда, когда они минимальны для данного фиксированного объема производства Задача сводится к минимизации издержек фирмы при ограничении на выпуск заданного объема продукции при заданной технологии
Изокоста – прямая линия, содержащая точки, координаты которых характеризуют объемы труда и капитала, при которых издержки производства постоянны:
В равновесии производитель достигает максимального объема производства при имеющихся ограниченных средствах, которые можно затратить на покупку ресурсов. Условие равновесия:
Аналитическая формулировка задачи производителя - технологическое ограничение, предполагает, что при данной технологии приобретенного на рынке объема факторов производства будет достаточно для производства экзогенно заданного объема выпуска
. Прямая функция затрат производителя Технологическое ограничение будет определяться изоквантой для соответствующего объема выпуска Если производственные ресурсы бесконечно делимы в оптимуме технологическое ограничение будет выполняться как равенство:
Графическое изображение рационального выбора производителя (равновесие производителя) К TC*/r TC 1 K* K 1 TC 2 Q* TC* L* TC*/w L 1 L
• Числитель каждой дроби представляет собой выгоды производителя от приобретения дополнительной единицы ресурса, а знаменатели – издержки • Производитель фактически максимизирует предельные выгоды на каждую потраченную денежную единицу • Если предельная эффективность привлечения труда больше, чем капитала, то производителю выгодно отказаться от единицы капитала в пользу труда и наоборот • Для небольших изменений в структуре издержек, в качестве инструмента нахождения равновесия производителя, может использоваться таблица Менгера
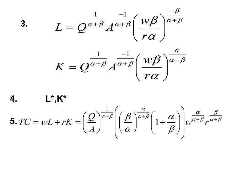
Aлгоритм решения задачи для непрерывной производственной функции 1. 2. – траектория расширения производства
3. 4. L*, K* 5.
1. Находим функции предельных продуктов факторов 2. Находим предельную норму технологического замещения и приравниваем ее к относительным ценам факторов производства (предельной норме трансформации). Из данного соотношения находим траекторию расширения производства (показывает оптимальные комбинации ресурсов, необходимые для выпуска определенного количества продукции при данных ценах факторов производства) 3. Находим функцию компенсированного спроса на факторы производства, подставив уравнение траектории расширения производства в производственную функцию
Свойства функции компенсированного спроса на ресурсы: • Функция компенсированного спроса на ресурсы является однородной функцией нулевой степени по w и r: • Функция компенсированного спроса на труд (капитал) относительно заработной платы (цены капитала) является убывающей • Функция компенсированного спроса на труд ( капитал) относительно цены капитала (заработной платы) является возрастающей 4. Подставляем известные значения переменных и находим оптимальный набор, если нужно считаем эластичности спроса
5. Нахождение функции издержек. Подставляем функции спроса на факторы производства в функцию издержек вида TC = w. L + r. K:
Свойства косвенной функции издержек Косвенная функция издержек является однородной первой степени по ценам ресурсов: • Косвенная функция издержек является возрастающей по ценам ресурсов • Косвенная функция издержек является возрастающей по объему выпуска
Издержки фирмы
Издержки: основные обозначения TC (Total Costs) Общиe издержки VC (Variable Costs) Переменные издержки FC (Fixed Costs) Постоянные издержки ATC (Average Total Средние общие Costs) издержки AVC (Average Variable Средние переменные Costs) издержки AFC (Average Fixed Средние постоянные Costs) издержки MC (Marginal Costs) Предельные издержки w (wage) Заработная плата
Бухгалтерский и экономический подход к определению издержек Наемные рабочие (зарплата по 20 тыс. руб. Собственный труд и в мес. ), собственная машина Арендованные машины (арендная плата по владельца фирмы 50 тыс. руб. в мес. ) (бесплатно) Ежемесячная прибыль фирмы: 60 тыс. руб. Выгоден ли данный бизнес для его владельца?
Проверьте себя: У фирме есть 2 варианта: • «аренда» торговой марки у франчайзера ( «арендная плата» = $8 000 в год) • покупка торговой марки ($100 000 единовременно). Для упрощения предположим, что • в силу конкуренции в банковской сфере ставки по кредитам и по вкладам совпадают и составляют 10% годовых (начисление процентов осуществляется только ежегодно). • можно получить безвозвратный кредит и платить каждый год проценты по нему бесконечно долго, не возвращая основную сумму. • амортизация оборудования равна нулю. Какой вариант (аренда или покупка) вы выберете, если • Собственных средств нет – нужно брать кредит в банке • Имеются собственные $100 000 свободных средств. • Имеются собственные $50 000 свободных средств, еще $50 000 нужно взять в кредит в банке.
Бухгалтерские и экономические издержки • Бухгалтерские издержки – сумма платежей за пользование ресурсами, не принадлежащими фирме • Экономические издержки – сумма платежей за пользование ресурсами, не принадлежащими фирме + все альтернативные издержки использования собственных ресурсов фирмы
Бухгалтерская и экономическая прибыль • Бухгалтерская прибыль = Выручка фирмы - Бухгалтерские издержки • Экономическая прибыль = Выручка фирмы - Экономические издержки Экономическая прибыль всегда меньше (или равна) бухгалтерской.
CASE Господин Сидоренков владеет небольшой фирмой по производству керамики. Он нанимает одного помощника за 12 тыс. долл. в год с оплатой в конце года и 20 тыс. долл. в год уходит на покупку сырья и материалов, Сидоренков использует собственное помещение под мастерскую. Он мог бы сдавать его конкуренту за 10 тыс. долл. в год. Конкурент предлагает Сидоренкову рабочее место гончара с оплатой 15 тыс. долл. в год. Суммарный годовой доход от продажи керамических изделий составляет 65 тыс. долл. Найдите явные и неявные издержки, бухгалтерские и экономические издержки, бухгалтерскую и экономическую прибыль господина Сидоренкова.
ü Бухгалтерские издержки: 12 + 20 = 32 тыс. руб. ü Бухгалтерская прибыль: 65 – 32 = 33 тыс. руб. ü Экономические издержки: 32 + 10 + 15 = 57 тыс. руб. ü Экономическая прибыль: 65 – 57 = 8 тыс. руб.
К бухгалтерским издержкам относятся: • Расходы на сырье и материалы • Амортизационные отчисления • Арендную плату • Выплаты по кредитам • Расходы по оплате труда • Налоговые платежи
Case: Economical Value Added компании SONY Результаты деятельности компании SONY в 1989 г. (млрд. $): • Выручка: $9, 5 млрд. • Затраты (материалы, зарплаты, амортизация, налоги): $9, 2 млрд. , в т. ч. бонусы и доп. выплаты управляющим $0, 4 млрд. • Общий использованный капитал акционеров: $5 млрд. • Средняя доходность по инвестициям с аналогичным риском: 10% годовых. Рассчитайте бухгалтерскую прибыль SONY в 1989 г. Как вы можете оценить эффективность работы управляющих компании? Почему?
Постоянные и переменные издержки Переменные издержки зависят от объема выпуска продукции. Примеры: затраты на сырье, сдельная заработная плата, потоварные налоги. В простейшем случае они пропорциональны затратам переменного ресурса, например VC= w. L Постоянные издержки не зависят от объема выпуска продукции (существуют даже при нулевом выпуске). Обычно связаны с использованием постоянных ресурсов. Примеры: арендная плата за использование капитала в краткосрочном периоде, аккордный налог, фиксированное вознаграждение управленческому персоналу.
Издержки: основные определения TC (Total Costs) = VC (Variable Costs) + FC (Fixed Costs) ATC (Average Общие затраты, приходящиеся на одну Costs) единицу продукции. (≈ себестоимость) ATC = TC / TP AVC (Average Переменные затраты, приходящиеся на Variable одну единицу продукции. Costs) AVC = VC / TP AFC (Average Постоянные затраты, приходящиеся на Fixed Costs) одну единицу продукции. AFC = FC / TP MC (Marginal Прирост затрат при выпуске Costs) дополнительной единицы продукции MC = ΔTC / Δ TP
Динамика общих, средних и предельных издержек в краткосрочном периоде TC (q) MC (q) C AC(q) VC (q) AVC (q) FC (q) AFC (q) 1 q
Общие постоянные издержки (TFC) выражены в виде горизонтальной линии. Общие переменные издержки (TVC) возрастают по мере увеличения выпуска продукции. Расстояние по вертикали между кривыми ТС и TVC, отмеченное стрелкой, равно величине TFC, также отмеченной стрелкой.
SR: Ключевые графики ATC, AVC, AFC, MC min ATC MC min AVC ATC AVC AFC TP
Какие издержки мебельной фабрики относятся к постоянным, а какие к – переменным? • Затраты на покупку древесины для шкафов • Затраты на разработку (дизайн) нового гарнитура • Сдельная заработная плата работников • Бонусы управляющим • Затраты на упаковку • Затраты на рекламу своей продукции
Связь производительности и издержек TP TC L VС, FC, TC VC FC TP
Связь производительности и издержек 2 APL, MPL max APL MPL L AVC, MC min AVC TP
Как найти оптимальный объем производства с точки зрения минимизации затрат? • Почему фирме зачастую невыгодно производить слишком мало продукции? Пример: услуги сотовой связи • Почему фирме может быть невыгодно производить слишком много продукции? Пример: сверхурочная работа для выполнения крупного заказа
Классификация издержек фирмы (косвенной функции издержек) 1. Переменные затраты (VC) 2. Постоянные затраты (FC) 3. Общие издержки: 4. Средние издержки Средние фиксированные издержки Средние переменные издержки Средние общие издержки 5. Предельные издержки:
Производство и издержки фирмы в долгосрочном периоде
Производственная функция в долгосрочном периоде TP Как вы считаете, приведет ли удвоение всех ресурсов фирмы – труда, производственного капитала и. т. д. – к удвоению выпуска продукции? Что будет происходить со средними издержками на одну единицу продукции? L В долгосрочном периоде фирма имеет возможность варьировать объем использования любого ресурса. Что произойдет с производственной функций, если в долгосрочном периоде фирма увеличит количество капитала – например, построит еще один завод? А потом еще один?
Важнейшей характеристикой функции издержек в долгосрочном периоде является степень однородности (экономия от масштаба): показывает во сколько раз увеличатся общие издержки производства, если выпуск продукции увеличится в n раз: • Если больше чем в n раз – убывающая; • Если n раз – постоянная; • Если меньше чем в n раз – возрастающая
Средние издержки в долгосрочном периоде ATC 1 завод LRATC 2 завода 3 завода TP Q 1 Q 0 Что произойдет со средними издержками, если в долгосрочном периоде фирма построит еще один завод? А потом еще один? И еще? Сколько заводов оптимально иметь для объема выпуска Q 0? А для объема выпуска Q 1? Из множества отдельных кривых ATC строится кривая долгосрочных средних издержек
Экономия на масштабе производства ATC LRATC TP Если с ростом размера фирмы объем выпуска: • растет быстрее издержек и издержки на единицу продукции сокращаются, имеет место положительный эффект масштаба (иначе: экономия на масштабе производства). • растет медленнее издержек и издержки на единицу продукции растут, имеет место отрицательный эффект масштаба. • растет тем же темпом, что и издержки, так что издержки на единицу продукции не меняются, имеет место постоянный эффект масштаба.
Эффект масштаба на практике Положительный эффект масштаба Отрицательный эф- фект масштаба Специализация в использовании труда и капитала Непропорциональный рост транспортных издержек Неделимость большого количества видов капитального оборудования Рынки ресурсов неконку- рентны (например, ставка Производственная мощность капитального заработной платы растет с оборудования растет быстрее, чем закупочная ростом объема нанимае- цена мого труда) Экономия на содержании товарного запаса заменяемых деталей и на техническом персонале Получение скидок по оптовым закупкам Более низкие издержки растущего объема Проблемы координации и основных фондов фирмы управления и контроля Распределение затрат на рекламу и на научно- Непропорциональное исследовательские работы увеличение штата и Эффективность менеджмента (среднего звена и внепроизводственных функционеров) рабочих
Экономия на разнообразии Возникает, когда есть возможность производить вместе два или более продукта с меньшими затратами на единицу продукции, чем если бы мы производили эти продукты по отдельности. Ключевым фактором обычно является распределение постоянных издержек компании на различные виды продукции.
Кривая обучения ( «Learning by doing» ) ATC По мере накопления опыта производства продукции, работники фирмы совершенствуются. Рост производительности приводит к снижению издержек. ATC Количество выпущенной продукции с момента начала производства
Утверждение Если производственная технология описывается функцией Кобба-Дугласа, и цены ресурсов фиксированы, то показатель экономии от масштаба будет равен обратному значению показателя отдачи от масштаба (экономия = 1/ отдача), то есть отдача и экономия от масштаба для таких функций будет совпадать • Важным показателем, характеризующим функцию средних долгосрочных издержек является минимальный эффективный размер фирмы
Минимальный эффективный размер фирмы – минимальный объем производства соответствующий наименьшим средним долгосрочным издержкам (qm)
Выручка фирмы
Выручка: основные обозначения TR (Total Revenue) Общая выручка AR (Average Revenue) Средняя выручка MR (Marginal Revenue) Предельная выручка
Выручка фирмы Общая выручка: Средняя выручка: Предельная выручка: Прибыль:
Экономическая прибыль может быть: Π = 0 – нормальная прибыль Π > 0 – положительная прибыль Π < 0 – отрицательная прибыль
Зависимость выручки фирмы от объема продаж Объем продаж не влияет Рост продаж снижает на рыночную цену TR Высокая TR цена Низкая цена Q
Безвозвратные издержки (sunk costs) Пример: Вчера человек проиграл в казино большую сумму. Должен ли это факт учитываться принятии решения сыграть сегодня?
Безвозвратные издержки (2) Наемные рабочие (зарплата по 20 тыс. руб. Собственный труд и в мес. ), собственная машина Арендованные машины (арендная плата по владельца фирмы 50 тыс. руб. в мес. ) (бесплатно) Ежемесячная прибыль фирмы: 60 тыс. руб. Имеет ли смысл владельцу продолжать данный бизнес? Как изменится ответ, если известно, что при открытии этого бизнеса владелец единовременно заплатил 500 тыс. руб. в качестве взяток?
Какие издержки должны быть учтены принятии решения? • Во внимание должны приниматься альтернативные издержки использования собственных ресурсов • Не следует принимать во внимание безвозвратные издержки • В краткосрочном периоде не следует принимать во внимание постоянные издержки: даже если фирма получает убыток, имеет смысл продолжать работу, если P>AVC.

