Эфирные масла фармакогнозия.ppt
- Количество слайдов: 56
Лекарственные растения и сырье, содержащие эфирные масла
1. Понятие об эфирных маслах
Эфирные масла смеси летучих, душистых веществ, обладающих способностью перегоняться с водным паром, относящихся преимущественно к терпенам и их кислородсодержащим производным, реже – к ароматическим и алифатическим соединениям.
2. Классификация эфирных масел и эфирно-масличного сырья
Ациклические МОНОТЕРПЕНЫ Гераниол Цитраль
Моноциклические МОНОТЕРПЕНЫ тип ментана Ментол Цинеол
Бициклические МОНОТЕРПЕНЫ тип туйана α-туйен β-туйен
Бициклические МОНОТЕРПЕНЫ тип камфана Камфора
Бициклические МОНОТЕРПЕНЫ тип пинана α-пинен β-пинен
Ациклические СЕСКВИТЕРПЕНЫ Фарнезол
Моноциклические СЕСКВИТЕРПЕНЫ ТИП БИСАБОЛАНА ТИП ГЕРМАКРАНА
Бициклические СЕСКВИТЕРПЕНЫ ТИП ГВАЙАНА Хамазулен
Бициклические СЕСКВИТЕРПЕНЫ ТИП КАДИНАНА (СЕЛИНАНА) ТИП АКОРАНА ТИП КАРИОФИЛЛАНА
Трициклические СЕСКВИТЕРПЕНЫ ТИП ЛЕДАНА Ледол
АРОМАТИЧЕСКИЕ СОЕДИНЕНИЯ тимол анетол азорон
Классификация ЛРС По эфирному маслу и его компонентам, определяющим фармакологический эффект и запах; По эфирному маслу и его компонентам, преобладающим в химическом составе.
3. Физические и химические свойства эфирных масел.
Физические свойства эфирных масел
Консистенция При обычной температуре – прозрачные жидкости. При охлаждении некоторые компоненты выкристаллизовываются (анетол, ментол, камфора, тимол). Твердую часть называют - стеароптен, жидкую – элеоптен.
Цвет Бесцветные или окрашенные жидкости: Э. м. аира - желтоватое. Э. м. ромашки и тысячелистника - синее. Э. м. тимьяна - красноватое. Э. м. корицы – коричневое.
Запах Специфический.
Вкус Специфический.
Растворимость Практически нерастворимы в воде. Растворимы в жирных и минеральных маслах, спирте, эфире, органических растворителях. При взбалтывании с водой образуют эмульсии, придают воде запах и вкус. .
р. Н Нейтральная или кислая.
Химические свойства эфирных масел
Вступают в реакции: Окисления; Изомеризации; Полимеризации; Гидрогенизации; Гидратации; Присоединения галогенов; Присоединения кислорода; Присоединения серы.
Методы анализа эфирномасличного сырья и эфирных масел.
ОПРЕДЕЛЕНИЕ СОДЕРЖАНИЯ ЭФИРНОГО МАСЛА В ЛЕКАРСТВЕННОМ РАСТИТЕЛЬНОМ СЫРЬЕ Определение содержания эфирного масла проводят путем его перегонки с водяным паром из растительного сырья с последующим измерением объема. Содержание масла выражают в объемно –весовых процентах в пересчете на абсолютно сухое сырье.
Метод 1 (Гинзберга) Много эфирного масла в ЛРС. Термостабильное Э. М. , в составе преобладают моно- и бициклические монотерпены. Приемник помещается в экстракционную колбу. Определяют содержание Э. М. в сырье можжевельника, тмина, мяты, шалфея, эвкалипта.
Метод 2 (Клевенджера) Используют, если эфирного масла менее 0, 2 -0, 3%. Меньшая ошибка опыта. Приемник вынесен за пределы экстракционной колбы, что позволяет определить содержание термолабильного Э. М. Определяют содержание Э. М. в сырье ромашки, тмина, мяты, шалфея, эвкалипта.
Метод 3 (Клевенджера) В приемник добавляют органический растворитель для разрушения эмульсии или растворения загустевшего или тяжелого масла. Определяют содержание Э. М. в сырье аниса, аира и тысячелистника.
Метод 4 Отличается от 3 метода возможностью контролировать температуру конденсации. Во время гидродистилляции температура в отстойнике не должна превышать 25 С.
Этапы количественного определения 1) подготовительный; 2) гидродистилляция; 3) отсчет результатов.
Анализ побегов багульника болотного 1. если ЛРС для получения экстемпоральных ЛФ, то Э. М. д. б. не менее 0, 1%;
Анализ побегов багульника болотного 2. если ЛРС для получения ледина, то Э. М. д. б. не менее 0, 7%. Содержание ледола (д. б. не менее 17%) в Э. М. определяют методом ГЖХ. Используют внутренний стандарт метилового эфира миристиновой кислоты. Измеряют высоту пиков.
Хроматограмма ледола: а-палюстрол; б-ледол; в-метилмиристат.
Анализ эфирных масел (установление подлинности и доброкачественности)
Подлинность
Подлинность Органолептические показатели (цвет, вкус, запах); Числовые показатели (физические и химические константы).
Органолептические показатели: Цвет и прозрачность жидких жиров определяют, поместив в цилиндр прозрачного стекла и наблюдая в дневном проходящем свете. Вкус и запах определяют после нанесения масла на фильтровальную бумагу.
Числовые показатели Физические константы : Растворимость; Температура затвердевания (кристаллизация); Плотность; Показатель преломления; Угол вращения плоскости поляризации.
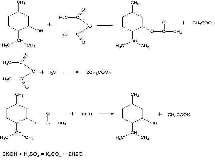
Числовые показатели Химические константы : Кислотное число; Эфирное число после ацетилирования.
КИСЛОТНОЕ ЧИСЛО (к. ч. ) количество миллиграммов КОН, необходимое для нейтрализации свободных кислот, содержащихся в 1 г эфирного масла.
ЭФИРНОЕ ЧИСЛО (э. ч. ) количество миллиграммов КОН, пошедшее на омыление сложных эфиров, содержащихся в 1 г эфирного масла. Метод обратного алкалиметрического титрования. Индикатор – фенолфталеин.
ЭФИРНОЕ ЧИСЛО ПОСЛЕ АЦЕТИЛИРОВАНИЯ (э. ч. п. а. ) количество миллиграммов КОН, необходимое для омыления сложных эфиров, содержащихся первоначально в 1 г эфирного масла и образовавшихся при ацетилировании. Э. Ч. П. А. - Э. Ч. = свободные спирты
Доброкачественность
Доброкачественность Наличие основных компонентов эфирного масла (кислоты, сложные эфиры, спирты, фенолы, отдельные компоненты); Отсутствие примесей.
Основные компоненты эфирного масла Наличие кислот, сложных эфиров, спиртов – определение химических констант.
Основные компоненты эфирного масла Наличие фенолов – определение в объемных процентах по убыли объема Э. М.
Основные компоненты эфирного масла Наличие отдельных компонентов – частным НД. Например, содержание альдегидов в лимонном масле определяют методом обратного титрования. Метод основан на способности цитраля реагировать гидрохлоридом гидроксиламина с образованием оксима.
Отсутствие примесей Посторонние примеси (подмеси – спирт, жирное и минеральное масло, вода, воск, высокомолекулярные терпены) определяют путем специальных проб и по изменению числовых показателей; Собственные примеси (продукты окисления Э. М. )
Собственные примеси (продукты окисления Э. М. ) Изменяют органолептические показатели; Улучшают растворимость в спирте; Увеличивают плотность; Увеличивают показатель преломления; Увеличивают к. ч. ; Уменьшают э. ч. п. а.


