9d1dd78eff35c3f7095a31e2383bb168.ppt
- Количество слайдов: 26
Lecture 1: Introduction to QF 4102 Financial Modeling Dr. DAI Min matdm@nus. edu. sg, http: //www. math. nus. edu. sg/~matdm/qf 4102. htm
Modern finance • Modern Portfolio Theory – single-period model: H. Markowitz (1952) optimization problem – continuous-time finance: R. Merton (1969), P. Samuelson stochastic control – We take risk to beat the riskfree rate • Option Pricing Theory – continuous-time: Black-Scholes (1973), R. Merton (1973) – discrete-time: Cox-Ross-Rubinstein (1979) – We eliminate risk to find a fair price
Option pricing theory • Pricing under the Black-Scholes framework – Vanilla options – Exotic options • Pricing beyond Black-Scholes – Local volatility model – Jump-diffusion model – Stochastic volatility model – Utility indifference pricing – Interest rate models
Lecture outline (I) • Aims of the module – The goal is to present pricing models of derivatives and numerical methods that any quantitative financial practitioner should know • Module components – Group assignments and tutorials: (40%) • A group of 2 or 3, attending the same tutorial class. • ST 01 (Thu): 18: 00 -19: 00, LT 24; (MQF and graduates) • ST 02 (Wed): 17: 00 -18: 00, S 16 -0304; (QF) – Final exam: (60%), held on 21 Nov (Sat)
Lecture outline (II) • Required background for this module – Basic financial mathematics • options, forward, futures, no-arbitrage principle, Ito’s lemma, Black-Scholes formula, etc. – Programming • Matlab is preferred, but C language is encouraged. • For efficient programming in Matlab, use vectors and matrices • Pseudo-code: for loops, if-else statements • Course website: http: //www. math. nus. edu. sg/~matdm/qf 4102. htm
Numerical methods • Why we need numerical methods? – Analytical solutions are rare • Numerical methods – Monte-Carlo simulation – Lattice methods • Binomial tree method (BTM) • Modified BTM: forward shooting grid method • Finite difference – Dynamic programming – Handling early exercise
Brief review: basic concepts • A derivative is a security whose value depends on the values of other more underlying variables • underlying: stocks, indices, commodities, exchange rate, interest rate • derivatives: futures, forward contracts, options, bonds, swaptions, convertible bonds
Forward contracts • An agreement between two parties to buy or sell an asset (known as the underlying asset) at a future date (expiry) for a certain price (delivery price) • Contrasted to the spot contract. • Long Position / Short Position • Linear Payoff
Forward contracts (continued) • At the initial time, the delivery price is chosen such that it costs nothing for both sides to take a long or short position. • A question: how to determine the delivery price?
Options • A call option is a contract which gives the holder the right to buy an asset (known as the underlying asset) by a certain date (expiration date or expiry) for a predetermined price (strike price). • Put option: the right to sell the underlying • European option:exercised only on the expiration date • American option:exercised at any time before or at expiry
Vanilla options • The payoff of a European (vanilla) option at expiry is ---call ---put where -- underlying asset price at expiry -- strike price • The terminal payoff of a European vanilla option only depends on the underlying price at expiry.
Exotic options • Asian options: • Lookback options: • barrier options: • Multi-asset options:
Option pricing problem European vanilla option: At expiry the option value is for call for put Problem: what’s the fair value of the option before expiry,
No arbitrage principle • No free lunch • Assuming that short selling is allowed, we have by the no -arbitrage principle
Applications of arbitrage arguments • Pricing forward (long): • Properties of option prices:
Binomial tree model (BTM): CRR (1979) • Assumptions: • Model derivation – Delta-hedging – Option replication
Risk neutral pricing
Continuous-time model: Black-Scholes (1973) • GBM assumption
Brownian motion and Ito integral
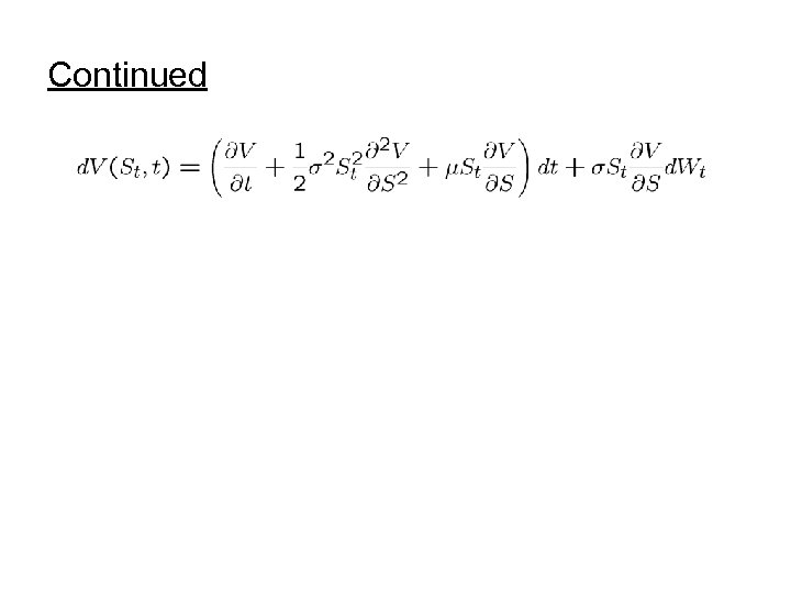
Black-Scholes model (continued) • Ito lemma • Delta-hedging
Black-Scholes equation • For Vanilla options • Black-Scholes formulas:
Comments • In the B-S equation, S and t are independent • The B-S equation holds for any derivative whose price function can be written as V(S, t) • Hedging ratio: Delta • Risk neutral pricing and Feynman-Kac formula
Another derivation: continuous-time replication
Continued
Module outline • Monte-Carlo simulation • Lattice methods – Multi-period BTM – Single-state BTM – Forward shooting grid method – Finite difference method – Convergence/consistency analysis • Applications of lattice methods – Lookback options – American options
Module outline (continued) • Numerical methods for advanced models (beyond Black. Scholes) – Local volatility model – Jump diffusion model – Stochastic volatility model – Utility indifference (dynamic programming approach)


