222b22fd554bb0b2faf93de34db34b0e.ppt
- Количество слайдов: 35
Le Doppler transcrânien principes intérêt à l’accueil des TC graves Catherine Ract DAR CHU de Bicêtre
Doppler Transcrânien
Doppler Transcrânien
Vs Vd Vm α Vmesurée = Vréelle x cos α Index de Pulsatilité IP = (Vs - Vd) / Vm = (Vsr - Vdr) cos α / Vmr x cos α
Artère radiale Carotide externe Carotide primitive Carotide Interne
Autorégulation cérébrale DSC 50 150 PPC (mm. Hg)
Czosnyka, Neurosurgery 1994 Kirkpatrick, in Head injury 1997
Ducrocq, J Neurological Science 1998 (Consensus opinion TCD/brain death)
Stade IV, ACM Droite
Importance des lésions secondaires dans les toutes premières heures posttraumatiques Bas DSC dans 40% des traumatismes crâniens severes Bouma, J Neurosurg 1992 Coles, J Cereb Blood Flow Metab 2004 Sensibilité du cerveau à l'ischémie en post-traumatique De Witt, New Horiz 1995 Geeraerts, Int Care Med, 2007 Incidence élevée des évènements ischémiques Evènements ischémiques = facteurs majeurs d'un mauvais pronostic Chesnut, J Trauma 1993 Mais : aucune d'estimation de la perfusion cérébrale
Du TC à l'évaluation min 442 ± 246 min PAM 25 11 mm. Hg 53 15 mm. Hg Svj. O 2 PAM (mm. Hg) PIC PPC n = 27 TC sévères 79 9 mm. Hg 56 12 mm. Hg PPC < 60 mm. Hg ou Svj. O 2 < 55% n=17 (63%) PPC > 60 mm. Hg et Svj. O 2 > 55 % PPC < 60 mm. Hg et Svj. O 2 <55 % Vigué, Intensive Care Med 1999
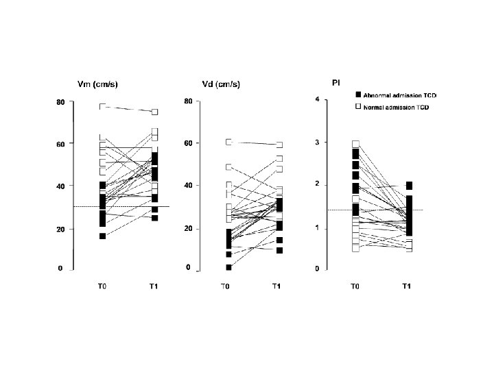
Avec le DTC 24 traumatismes crâniens sévères (GCS 8) Protocole : T 0 = admission => DTC à l'arrivée Si 2 critères : Vm < 30 cm/s, Vd < 20 cm/s, IP > 1. 4 DTC anormal => Augmenter la perfusion cérébrale T 1 = PIC et Svj. O 2 => DTC de contrôle
Ract, Intensive Care Med 2007
Patients avec PPC < 60 mm. Hg ou Svj. O 2 < 55% = 3/24 (12. 5%)
Doppler Transcrânien 200 160 120 80 40 0 -40 - I IP & Vd Nl II IP>1. 4 & Vd Nl III IP>1. 4 & Vd≤ 20
Marseille + Bicêtre, n=151 Temps du trauma à l'admission : 150 ± 50 min Temps de l'admission au DTC : 16 ± 10 min a. Nl INT Nl
a. Nl INT Nl
n = 36 pediatric severe brain injured patients Vd PI Trabold, Intensive Care Med 2004
TCD in emergency department n = 42 patients with mild (GCS 14 -15) brain injury n = 36 patients with moderate (GCS 9 -13) brain injury Jaffres, Intensive Care Med 2005
De la rue à la PIC DTC Trauma 165’ 15’ 60’ 90’ DTC Admission PIC 165’ 45’ 75’ 45’ Rouxel, AFAR 2004
DTC pré-hospitalier Tazarourte Acta Anaesthesiol Scand 2011
Nous proposons : Trauma DTC intégré à la FAST Vd ≤ 20 cm/s IP > 1. 4 Augmenter PAM Mannitol / SSH Scanner / Neurochirurgiens Vd > 20 cm/s PI < 1. 4 Vd > 20 cm/s PI > 1. 4 Augmenter PAM, Hb, Pa. CO 2 Patient à suivre +++
Conclusion DTC précoce • Rapide, simple et non-invasif • Diagnostic d'un bas débit sanguin cérébral • Permet d’identifier et traiter immédiatement des atteintes ischémiques • Suivi du traitement • Préhospitalier …
En réa • Suivi du patient (PPC minimale efficace) • Toute situation d'un bas débit sanguin cérébral +++ • Aide à la décision chirurgicale (DVE, Volet, etc…) • Aide au diagnostic de spasme
Quelle volémie ?


