e616e102abe0f823fb57758528d1b809.ppt
- Количество слайдов: 51
Квадратный трёхчлен Выполнила: Чернецкая Яна, ученица 8 класса, МКОУ «Сосновская СОШ» Проверила: Рудь С. Н. , учитель математики
Квадратный трехчлен. l Квадратным трехчленом называется многочлен вида ax² + bx + c = 0, где х — переменная, a, b и c —заданные числа, причем а≠ 0 Пр. 3 x²– 2 x– 5 l 6 x²– 3 x– 1
Применение квадратного трехчлена. l Квадратный трехчлен применяется в решении 1. квадратных уравнений, 2. квадратичной функции, 3. квадратных неравенствах.
Квадратные уравнения. 1. Квадратное уравнение-это уравнение вида ax² + bx + c = 0, где а, b , с – заданные числа, а≠ 0, х - неизвестное. l а- является старшим членом, bвторым, с- свободным членом. l Пр. 5 x²– 3 x– 3=0 6 x²– 2 x– 1=0 x²– 3 x– 1=0 l
Виды квадратных уравнений. l Квадратные уравнения бывают 1. полными, 2. неполными, 3. приведенными.
Неполные квадратные уравнения. l Неполным квадратным уравнением называют уравнение вида: ax² + bx + c = 0, если хотя бы один из коэффициентов равен нулю, но а≠ 0 Неполные квадратные уравнения: ax² =0, где b и с=0 a x²+bx=0, где с=0 a x²+c=0, где b=0 x²+bx+c=0, где а=1 x² =0, где а=1, b=0, с=0 Пр. 3 x²– 27=0 7 x²– 3 x=0 5 x²–x– 1=0 l
Полные квадратные уравнения. l Полным квадратным уравнением называют уравнение вида: ax² + bx + c = 0, если ни один из коэффициентов не равен нулю. l Пр. 4 x²–x– 3=0
Приведенные квадратные уравнения. l Приведенным квадратным уравнением называют уравнение если коэффициент a равен единице, а b и с не равны нулю l Пр. x²–x– 2=0
Уравнение x²=d, где d≠ 0, имеет 2 корня: Х 1= d; Х 2=- d; l 1. Если d=0, x²=0, то Х 1, 2=0 - уравнение имеет один корень(совпадающий). ± l 2. Если d>0, x² = d, то Х 1, 2= √d - уравнение = имеет два корня. l 3. Если d<0, то уравнение не имеет корней, т. к. d не может быть меньше нуля. l
Решение квадратных уравнений. l Квадратные уравнения можно решать 1. методом выделения полного квадрата; 2. по формуле; 3. по теореме обратной теореме Виета;
Метод выделения полного квадрата. Чтобы решить квадратное уравнение методом выделения полного квадрата нужно: 1)Свободный член перенести в правую часть уравнения; 2)Преобразовать часть, содержащую неизвестное так, чтобы в ней получился квадрат двучлена; 3)Решить полученное уравнение методом извлечения из обеих частей квадратного корня; l
Пример:
Формула. l Чтобы решать квадратные уравнения с помощью формулы ее нужно вывести:
l Значит для решения квадратных уравнений потребуется формула:
Пример:
Пример:
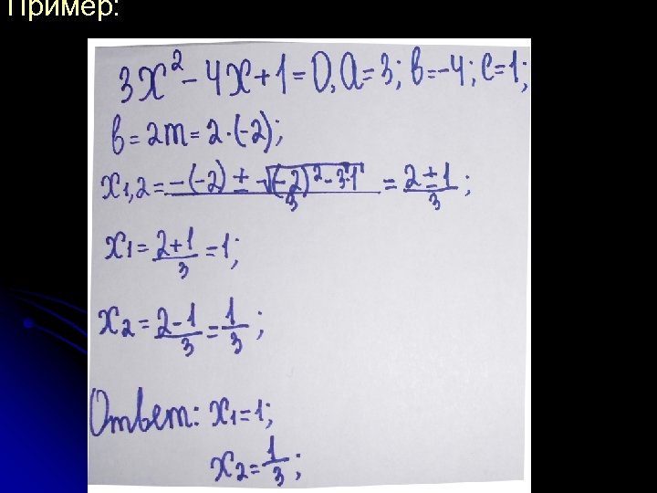
Если в квадратном уравнении коэффициент b-четное число, то корни квадратного уравнения можно найти следующим образом: b=2 m, где m-заданное число, то l
Пример:
решение приведенного квадратного уравнения. Квадратное уравнение вида: ax²+bx+c=0 , где а=1 называется приведенным . квадратным уравнением. l Если в приведенном квадратном уравнении ax² + bx + c = 0 коэффициент b=p, а c=q, то это уравнение можно переписать следующим образом: l x² + px + q = 0, где а=1, но а≠ 0
l Приведенное квадратное уравнение решается по формуле:
Пример:
l Теорема Виета: Если Х 1, 2 - корни квадратного уравнения x² + px + q=0 справедливы формулы: l т. е. сумма корней приведенного квадратного уравнения равна противоположному числу p, а произведение корней равно числу q.
Если числа Х 1, Х 2, p, q таковы, что: l то Х 1, Х 2 -корни уравнения x² + px + q=0 Если Х 1, Х 2 -корни квадратного уравнения аx² + bx + c = 0 , то при всех х справедливо равенство: аx² + bx + c = а (x-x 1)(x-x 2)
Пример: Т. к. х1=1 и х2=-15 -корни уравнения x²-14 x-15=0, то x²-14 x-15=(x-1)(x+15)
Уравнения, сводящиеся к квадратным. Уравнение вида: где а≠ 0 называется биквадратным уравнением. Это уравнение решается способом замены переменной, т. е. x² заменить на t или любую другую букву. l
Пример:
l При умножении уравнения на выражение, содержащее неизвестное, могут появиться посторонние корни. Поэтому при решении уравнения, содержащего неизвестное в знаменателе дроби, необходима проверка.
Квадратичная функция. Функция вида y(х)= ax² + bx + c, где a, b и cзаданные действительные числа, x- действительная переменная, а≠ 0 называется квадратичной функцией l Значения x, при которых квадратичная функция обращается в нуль, называются нулями квадратичной функции. l Графиком квадратичной функции является парабола, получаемая сдвигом параболы вдоль координатных осей. l
Виды квадратичной функции. Квадратичная функция бывает вида: 1. у(х)= x² 2. у(х)= ax² 3. у(х)= ax² + bx + c l
Функция у(х)= x²- это квадратичная функция ax² + bx + c=0, где а=1, b=0, c=0, x- действительная переменная. l
свойства функции у(х)= x² 1) x-действительное число, т. е. x ∈ R. 2)При х ≥ 0 большему значению х соответствует большее значение у. 3)При х ≤ 0 большему значению х соответствует меньшее значение у. 4)Значение функции у(х)= x² положительно если х не равен нулю и равно нулю если х равен нулю. 5)Парабола проходит через начало координат и касается ось Оу в точке О(0; 0) 6)График функции симметричен относительно Оу и Оу является осью симметрии параболы. А точку пересечения параболы с ее осью симметрии называют вершиной параболы. 7)Точка параболы с координатами (0; ¼) называется фокусом параболы.
Пример: у(х)= x², где а=1, b=0, с=0; графиком является парабола; вершина лежит в О(0; 0); график симметричен относительно Оу; x ∈ R
Функция у(х)= ax² l Функция у(х)= ax²- это квадратичная функция ax² + bx + c=0, где а- любое число, но а≠ 0, b=0, c=0, x- действительная переменная.
Свойства функции у(х)= ax² 1)Если а>0, то ветви параболы направлены вверх и функция у(х)= ax² принимает положительные значения; если а<0, то ветви параболы направлены вниз и функция у(х)= ax² принимает отрицательные значения; если а=0, то у(х)=0. 2)Парабола у(х)= ax² симметрична относительно Оу. 3)Если а>0 , то у = ax² возрастает при х≥ 0 и убывает при х≤ 0; Если а<0, то функция убывает при х≥ 0 и возрастает при х≤ 0. 4)Фокус параболы у = ax² будет находиться в точке О(о; ¼а). 5)Графиком функции у = а(х-х0)+у0 является парабола, получаемая сдвигом параболы у = ax² вдоль Ох вправо на х0, если х0 >0, влево на х0 , если х0<0, вдоль Оу вверх на у0, если у0 >0, вниз на у0 , если у0<0 6)Область определения: D(у): х∈R; E(у): если а>0, то у>0; если а<0, то у<0;
Пример: У= 2 x², где а=2, b =0, с=0; графиком является парабола; а>0 значит ветви параболы направлены вверх. D(у): x ∈ R; E(у): у>0; х у 0 0 1 2 -1 2 2 8
Свойства функции у(х)= ax² + bx + c 1)Равенство у = ax² + bx + c называют уравнением параболы. 2)Для построения графика этой функции нужно найти вершины параболы. Это можно сделать по формулам: х0= b - –—— 2 а У 0=- b²-4 ас ИЛИ У 0= ax² 0 + bx 0 + c ———— 4 a
3)Функция может быть задана по другому: у(х)= а (x-x 0)²+у0. 4)Ось симметрии параболы - прямая, которая параллельна оси ординат и проходит через вершины параболы. 5)Ветви параболы направлены вверх, если а>0; направлены вниз, если а<0. 6)Функция у(х)= ax² + bx + c принимает наибольшее и наименьшее значение в точке х0, которая является абсциссой вершины параболы. 7)Если а>0, то функция принимает наименьшее значение, а если а<0, то функция принимает наибольшее значение.
ПОСТРОЕНИЕ ГРАФИКА КВАДРАТИЧНОЙ ФУНКЦИИ. График функции у(х)= ax² + bx + c можно построить по алгоритму: 1)Построить вершины параболы. 2)Провести через полученную вершину ось симметрии параболы параллельную оси ординат. 3)Найти нули функции, если они есть. 4)Относительно оси ординат построить несколько симметричных точек и провести через них ветви параболы. 5)Если полученная парабола выглядит не очень красиво, то нужно достроить еще несколько точек параболы.
Пример:
Исследование квадратичной функции. Теорема 1: Если D<0, то при всех действительных значения х знак квадратичной функции у=ax² + bx + c совпадает со знаком числа а. Теорема 2: Если D=0, то при всех действительных значениях х, кроме х =- –—— b , знак квадратичной 2 а функции у=ax² + bx + c совпадает со знаком числа а; при х = b - –—— 2 а значение квадратичной функции равно нулю. Теорема 3: Если D>0, то знак квадратичной функции у=ax² + bx + c совпадает со знаком числа а для всех х, лежащих вне отрезка[х1; х2] , т. е. при х<х1 и при х>х2, где х1<х2 - нули функции; знак квадратичной функции
Квадратные неравенства. Квадратное неравенство-это неравенство в левой части которого стоит квадратный трехчлен, а в правой - нуль. l Решением неравенства называют то значение неизвестного, при котором это неравенство обращается в верное числовое неравенство. l Решить неравенство-это значит найти все его решения или установить, что их нет l
Способы решения квадратных неравенств. Квадратные неравенства можно решать 1. по алгоритму, 2. с помощью графика квадратичной функции, 3. методом интервалов. Пример: x²-3 х+5≥ 0 3 x²+4 х-2≤ 0 l x² - х>0 32 x²+76<0
Алгоритм. Чтобы решить квадратное неравенство, нужно: 1)Решить квадратное уравнение и найти его корни. 2)Разложить квадратный трехчлен на множители. 3)Определить знаки скобок. 4)Исходя из знаков скобок и знака неравенства(>; <; ≤; ≥) составить совокупность двух систем. 5)В каждой системе привести подобные члены. 6)Для каждой системы начертить числовой луч, с указанными на нем интервалами. 7)Записать полученные значения в ответ в виде двойного неравенства или числовых промежутков. l
Пример:
Графический способ решения неравенства. Чтобы решить неравенство графическим способом, нужно: 1)Определить направление ветвей параболы по знаку первого коэффициента квадратичной функции. 2)Прировняв неравенство к нулю решить квадратное уравнение и найти его корни. 3)Найти нули функции (т. е. х1; х2, при у=0) 4)Построить эскиз графика квадратичной функции. 5)По графику определить промежутки, на которых функция принимает нужные значения. l
Пример:
Пример:
Метод интервалов. Алгоритм решения методом интервалов: 1)Квадратное неравенство представить в разложенном виде(для этого нужно прировнять неравенство к нулю и найти х1, х2). 2)На числовом луче отметить нули функции(х1, х2) 3)Провести кривую линию через нули функции: 1. Она пройдет сверху вниз, начиная с правого крайнего интервала, если в разложении все х(фундаменты) положительные. 2. Если в разложении хотя бы один х отрицательный, то линия пройдет снизу вверх, начиная с правого крайнего интервала. 3. Если в разложении есть повторяющийся нуль функции(квадратный), то на луче его обводим квадратиком, а когда ведем линию, помним, что при переходе через него знак не изменяется. 4. Если в разложении есть нуль, повторяющийся 3 раза, то когда ведем линию, помним, что при переходе через него знак изменяется. l
Пример:
Пример:
Пример:


