Лекция 1.ppt
- Количество слайдов: 25
Курс биохимии 1. Биополимеры. Химическое строение белков, углеводов, нуклеиновых кислот и липидов 2. Ферменты 3. Биоэнергетические процессы. Генерирование и хранение метаболической энергии 4. Биосинтез полисахаридов и предшественников макромолекул 5. Интеграция и принципы контроля метаболизма
Основные сложные органические биомолекулы, присутствующие в клетках и тканях Биомолекулы Мономеры Главные функции ДНК Дезоксирибонуклеотиды Генетический материал РНК Рибонуклеотиды Матрица для синтеза белков; компоненты рибосом; транспортные Белки Аминокислоты Структурообразующие, запасные, транспортные, двигательные, защитные, регуляторные, ферментативные Полисахариды (гликоген) Глюкоза Кратковрем. энергии Липиды Жирные кислоты Компоненты мембран; длит. запас. энергии (триацилглицеролы) запасание Нормальный химический состав организма человека (весом 65 кг) Компоненты Масса, кг Содержание, % Белки 11 17, 0 Жиры 9 13, 8 Углеводы 1 1, 5 Вода 40 61, 6
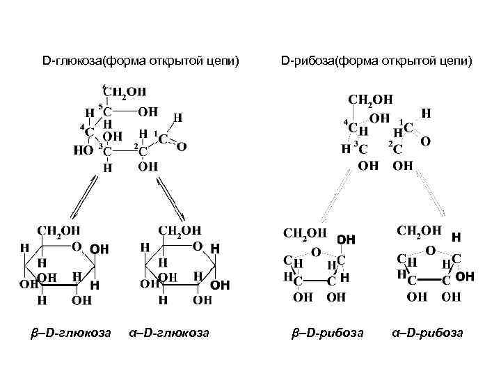
D-глюкоза(форма открытой цепи) β–D-глюкоза α–D-глюкоза D-рибоза(форма открытой цепи) β–D-рибоза α–D-рибоза
Хондроитин сульфат
Лекция 1.ppt