Krivye_vtorogo_poryadka.pptx
- Количество слайдов: 43
Кривые второго порядка
Окружностью называется геометрическое место точек равноудаленные от точки называемой центром, расстояние на которое удалены точки окружности от центра называется радиусом окружности. Уравнение окружности с центром в начале координат Общее уравнение окружности Очевидно, точка имеет нулевой радиус, а прямая радиус равный бесконечности, т. е. прямую можно интерпретировать как окружность, центр 15. 01. 2010 2 которой находится в бесконечности. Р. Мунипов
Замечание. Через три точки всегда можно провести окружность. 15. 01. 2010 Уравнение окружности проходящей через три заданные точки Р. Мунипов 3
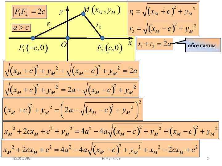
Эллипсом называется геометрическое место точек сумма расстояний, которых до двух точек, называемых фокусами, есть величина постоянная, большая чем расстояние между фокусами. Система координат: а) ось абсцисс проходит через фокусные точки; б) ось ординат на равном удалении от фокусных точек. 15. 01. 2010 Р. Мунипов 4
обозначим 15. 01. 2010 Р. Мунипов 5
обозначим Каноническое уравнение эллипса 15. 01. 2010 Р. Мунипов 6
Абсцисса точек эллипса изменяется в пределах Эллипс есть линия симметричная относительно координатных осей. Ордината точек эллипса изменяется в пределах большая полуось малая полуось левый и правый фокусы фокальные радиусы фокусное расстояние 15. 01. 2010 Р. Мунипов центр эллипса 7
Вершины эллипса Эксцентриситет эллипса 15. 01. 2010 Если эксцентриситет эллипса равен нулю, то , эллипс представляет собой окружность, фокусы эллипса, левый и правый совпадают и находятся в центре окружности. Значит, величина эксцентриситета представляет собой меру отклонения формы эллипса от окружности. Чем больше величина эксцентриситета отличается от единицы, тем больше расстояние между фокусами, или, тем явнее форма эллипса отличается от Р. Мунипов 8 окружности.
Фокальные радиусы 15. 01. 2010 Р. Мунипов 9
Фокальный параметр 15. 01. 2010 Р. Мунипов 10
Параметрическое уравнение эллипса 15. 01. 2010 Р. Мунипов 11
Уравнение касательной прямой Касательная прямая Треугольники подобные Фокальные прямые к точке эллипса пересекают касательную прямую к этой точке под одним углом 15. 01. 2010 Отношение расстояний фокусов эллипса до касательной кривой равно отношению соответствующих фокальных радиусов Р. Мунипов 12
Оптическое свойство эллипса: лучи света от источника помещённого в одном фокусе, отражаясь от внутренней стороны линии эллипса, собираются в другом фокусе. 15. 01. 2010 Р. Мунипов 13
Эллиптический циркуль Стержень конечной длины, две точки которого А и В скользят по двум взаимно перпендикулярным отрезкам прямых. Тогда внешняя точка для точек А и В будет очерчивать эллипс 15. 01. 2010 Р. Мунипов 14
Эллипс есть кривая линий, образуемая в сечении кругового цилиндра плоскостью не параллельной оси цилиндра. 15. 01. 2010 Р. Мунипов 15
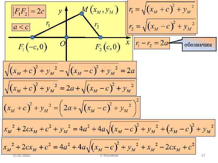
Гиперболой называется геометрическое место точек модуль разности расстояний, которых до двух точек, называемых фокусами, есть величина постоянная, меньшая чем расстояние между фокусами. Система координат: а) ось абсцисс проходит через фокусные точки; б) ось ординат на равном удалении от фокусных точек. 15. 01. 2010 Р. Мунипов 16
обозначим 15. 01. 2010 Р. Мунипов 17
обозначим Каноническое уравнение гиперболы 15. 01. 2010 Р. Мунипов 18
Гипербола есть линия симметричная относительно координатных осей. Абсцисса точек гиперболы изменяется в пределах 15. 01. 2010 Ордината точек гиперболы изменяется в пределах Р. Мунипов 19
Асимптоты гиперболы Уравнение асимптот гиперболы действительная полуось Эксцентриситет гиперболы мнимая полуось левый и правый фокусы фокальные радиусы фокусное расстояние 15. 01. 2010 центр гиперболы Р. Мунипов 20
Вершины гиперболы Фокальные радиусы для правой ветви гиперболы 15. 01. 2010 Фокальные радиусы для левой ветви Р. Мунипов гиперболы 21
Равносторонняя гипербола Сопряженные гиперболы 15. 01. 2010 Р. Мунипов 22
Фокальный параметр 15. 01. 2010 Р. Мунипов 23
Параметрическое уравнение гиперболы Линии гиперболы представляют собой графики функций гиперболического косинуса и синуса 15. 01. 2010 Р. Мунипов 24
Уравнение касательной прямой Касательная прямая Треугольники подобные Фокальные прямые к точке гиперболы пересекают касательную прямую к этой 15. 01. 2010 Р. Мунипов точке под одним углом Отношение расстояний фокусов гиперболы до касательной кривой равно отношению соответствующих фокальных радиусов 25
Оптическое свойство гиперболы: лучи света от источника помещённого в одном фокусе, отражаясь от внешней стороны линии гиперболы, собираются в другом фокусе. 15. 01. 2010 Р. Мунипов 26
Прямые Гипербола называются директрисами. Эллипс Левая директриса 15. 01. 2010 Правая директриса Р. Мунипов 27
Для точек эллипса (гиперболы) отношение фокусного расстояния до соответствующей директрисы равно эксцентриситету кривой линии. Эллипс Правый фокус Правая директриса 15. 01. 2010 Р. Мунипов 28
Для точек эллипса (гиперболы) отношение фокусного расстояния до соответствующей директрисы равно эксцентриситету кривой линии. Гипербола Правая директриса 15. 01. 2010 Правая фокус Р. Мунипов 29
Эллипс есть геометрическое место точек, отношение расстояния которых от фокусной точки до прямой директрисы есть величина постоянная меньшая единицы Эллипс 15. 01. 2010 Р. Мунипов 30
Гипербола есть геометрическое место точек, отношение расстояния которых от фокусной точки до прямой директрисы есть величина постоянная большая единицы Гипербола 15. 01. 2010 Р. Мунипов 31
Эллипс Гипербола Общее уравнение для эллипса и гиперболы 15. 01. 2010 эллипс гипербола Р. Мунипов 32
Параболой называется геометрическое место точек равноудаленных от прямой и точки, прямую называют директрисой а точку фокусом. директриса фокус Система координат: а) ось абсцисс проходит через фокусную точку и перпендикулярна директрисе; 15. 01. 2010 Р. фокуса б) ось ординат на равном удалении от. Мунипов и директрисы. 33
Каноническое уравнение параболы 15. 01. 2010 Р. Мунипов 34
Парабола есть линия симметричная относительно оси абсцисс (фокальная ось). Фокальный радиус Фокальный параметр 15. 01. 2010 Р. Мунипов 35
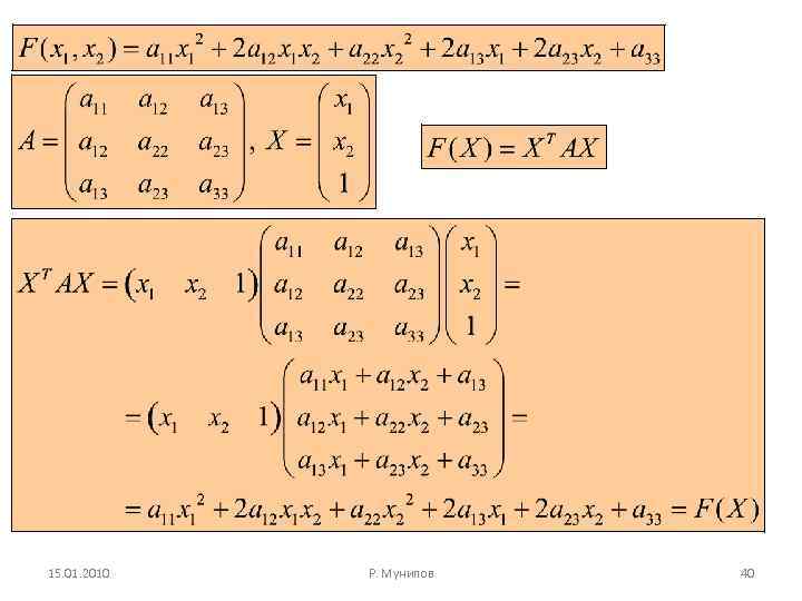
Линиями второго порядка называют геометрическое место точек на координатной плоскости, координаты которых удовлетворяют уравнению, Общее уравнение кривых второго порядка Линии второго порядка Квадратичная форма 15. 01. 2010 Представление общего уравнения кривых второго Р. Мунипов порядка через квадратичную форму 36
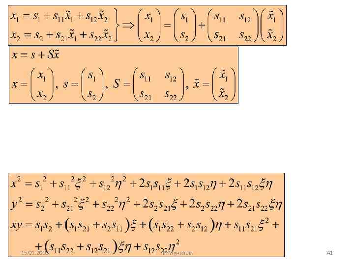
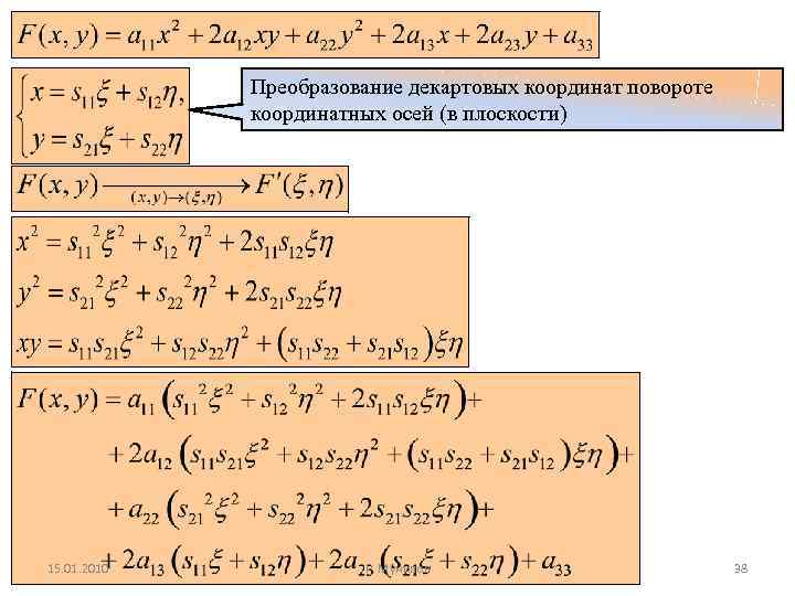
Преобразование декартовых координат при параллельном переносе и повороте координатных осей (в плоскости) Очевидно, кривая инвариантна относительно системы координат, т. е. её вид и характер неизменен при переходе от одной системы координат к другой 15. 01. 2010 Р. Мунипов 37
Преобразование декартовых координат повороте координатных осей (в плоскости) 15. 01. 2010 Р. Мунипов 38
15. 01. 2010 Р. Мунипов 39
15. 01. 2010 Р. Мунипов 40
15. 01. 2010 Р. Мунипов 41
15. 01. 2010 Р. Мунипов 42
Эллиптический тип Гипербола Эллипс мнимый Пара мнимых пересекающихся прямых Парабола Параболический тип Центральные линии Нецентральные линии Эллипс 15. 01. 2010 Р. Мунипов Пара параллельных прямых Пара мнимых параллельных прямых Пара совпадающих прямых 43


