Скачать презентацию Концентрация носителей тока в полупроводниках Число состояний в Скачать презентацию Концентрация носителей тока в полупроводниках Число состояний в

пн переход.ppt

  • Количество слайдов: 15

Концентрация носителей тока в полупроводниках Число состояний в расчете на единичный интервал энергии Концентрация Концентрация носителей тока в полупроводниках Число состояний в расчете на единичный интервал энергии Концентрация свободных носителей заряда При комнатных температурах можно пользоваться распределением Больцмана, тогда: Аналогичные рассуждения применимы и для дырок. , тогда Nc, Nv – эффективная плотность состояний

Выражение справедливо для прямозонных полупроводников Ga. As, In. P. Для кремния должен быть введен Выражение справедливо для прямозонных полупроводников Ga. As, In. P. Для кремния должен быть введен сомножитель 6^1/2, поскольку здесь в зоне проводимости имеется 6 эквивалентных непрямых минимумов. Поскольку концентрация вводимых примесей существенно больше собственной, положение уровня Ферми меняется. (n<0. 1 Nc, p

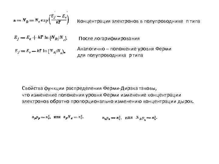
Концентрация электронов в полупроводнике n типа После логарифмирования Аналогично – положение уровня Ферми для Концентрация электронов в полупроводнике n типа После логарифмирования Аналогично – положение уровня Ферми для полупроводника p типа Свойства функции распределения Ферми-Дирака таковы, что изменение положения уровня Ферми изменение концентрации электронов обратно пропорционально изменению концентрации дырок.

В состоянии термодинамического равновесия носитель могут двигаться под действием электрического поля области объемного заряда– В состоянии термодинамического равновесия носитель могут двигаться под действием электрического поля области объемного заряда– дрейфовый ток, а так же из-за градиента концентрации – диффузионный ток. Плотность дрейфового тока Диффузионный ток D – коэффициент диффузии, µ – подвижность В равновесном состоянии суммарная плотность тока равна нулю: тогда Соотношение Эйнштейна Наклон энергетич. уровня зоны проводимости создает электрическое поле

Электронный ток через переход: Электронный ток через переход:

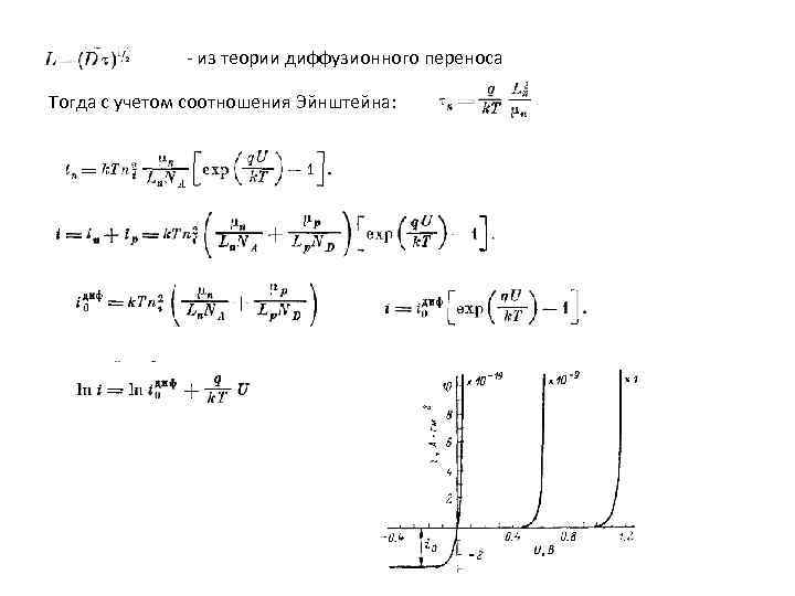
- из теории диффузионного переноса Тогда с учетом соотношения Эйнштейна: - из теории диффузионного переноса Тогда с учетом соотношения Эйнштейна:

Реальные ВАХ заметно отличаются от рассмотренных характеристик идеализированного диода. В диапазоне малых напряжений, помимо Реальные ВАХ заметно отличаются от рассмотренных характеристик идеализированного диода. В диапазоне малых напряжений, помимо рассмотренного нами диффузионного механизма играют роль так же туннельный эффект и рекомбинация. Существует еще одна причина появления избыточного тока в диапазоне малых напряжений. Это каналы объемных и поверхностных утечек, которые можно рассматривать как омическое сопротивление, шунтирующее диод. Эти каналы создаются инородными микро- и макровключениями.

Уравнение непрерывности Выражает закон сохранения материи по отношению к потоку частиц, число которых в Уравнение непрерывности Выражает закон сохранения материи по отношению к потоку частиц, число которых в некотором объеме может меняться за счет входящего- выходящего потоков и за счет каких-либо реакций происходящих в объеме.

Уравнение Пуассона Граничные условия Уравнение Пуассона Граничные условия

Условие непрерывности потенциала, откуда следует Условие непрерывности потенциала, откуда следует

Квазиуровни Ферми Концентрация электронов приложенном внешнем напряжении Электроны, диффундирующие в р область Таким образом, Квазиуровни Ферми Концентрация электронов приложенном внешнем напряжении Электроны, диффундирующие в р область Таким образом, не выполняется

Данное выражение и является определением квазиуровня Ферми Данное выражение и является определением квазиуровня Ферми