9c85cc4787a233917e1435c8ed0e177a.ppt
- Количество слайдов: 32
Java Object Oriented Programming Boolean Algebra
Objectives: § Learn about the orgin of Boolean Algebra. § Learn about the identity laws associated with Boolean Algebra. § Learn how to simplify Boolean expressions. Boolean Algebra-2
Boolean Algebra Boolean algebra was introduced by George Boole in his first book The Mathematical Analysis of Logic (1847), and set forth more fully in his An Investigation of the Laws of Thought (1854). Boolean Algebra-3
Boolean Algebra • Boolean algebra is the branch of algebra in which the values of the variables are the truth values true and false, usually denoted 1 and 0 respectively. • The operations used in Boolean algebra are the logical and, denoted *, or, denoted +, and the negation not, denoted. • Boolean algebra is used to describe logical relationships in the same way that ordinary algebra describes numeric relationships. Boolean Algebra-4
Boolean Algebra Boolean algebra has been fundamental in the development of digital electronics, and is provided for in all modern programming languages. Logical AND operator if (a > 0 && a <= 10) // then a is between // 1 and 11 Boolean Algebra-5
Boolean Algebra Truth Tables AND true = true AND false = false AND true = false AND false = false Boolean Algebra-6
Boolean Algebra Truth Tables AND if an ANDcost a quarter true item true = true you can buyfalse you have true AND it if = false 2 dimes and 1 nickel false AND true = false AND false = false Boolean Algebra-7
Boolean Algebra Truth Tables AND true = true AND false = false AND true = false AND false = false OR true = true OR false = true false OR true = true false OR false = false Boolean Algebra-8
Boolean Algebra Truth Tables AND true = true AND false = false AND true = false AND false = false OR if an item costs a dime true OR true = true you can buy it if you have true OR false = true 10 pennies or 2 nickels false OR true = true false OR false = false Boolean Algebra-9
Boolean Algebra Truth Tables AND true = true AND false = false AND true = false AND false = false OR true = true OR false = true false OR true = true false OR false = false NOT true = false NOT false = true Boolean Algebra-10
Java Object Oriented Programming Identity Laws
Indempotent Law OR A+A = A true or true = true false or false = false The result is unchanged when A is added to itself. Boolean Algebra-12
Indempotent Law AND A*A = A true and true = true false and false = false The result is unchanged when A is multiplied by itself. Boolean Algebra-13
Commutative Law A+B = B+A A*B=B*A Boolean Algebra-14
Associative Law A + (B + C) = (A + B) + C A * (B * C) = (A * B) * C Boolean Algebra-15
Distributive Law for and over or A * (B + C) = (A * B) + (A * C) Boolean Algebra-16
Law of Union A+1=1 true or true = true false or true = true Adding 1 always results in 1. Boolean Algebra-17
1 is the identity element for and A*1=A true and true = true false and true = false Multiplying by 1 has no effect on the result. Boolean Algebra-18
0 is the identity element for or A+0=A true or false = true false or false = false Adding 0 has no effect the result. Boolean Algebra-19
Law of Intersection A*0=0 true or false = false Multiplying by 0 always results in 0. Boolean Algebra-20
Law of Absorption A * (A + B) = A A + (A * B) = A A(A + B) A + AB A(1 + B) A Boolean Algebra-21
Double Negative Law Boolean Algebra-22
Law of Complement Boolean Algebra-23
De. Morgan’s Law Boolean Algebra-24
Examples? Boolean Algebra-25
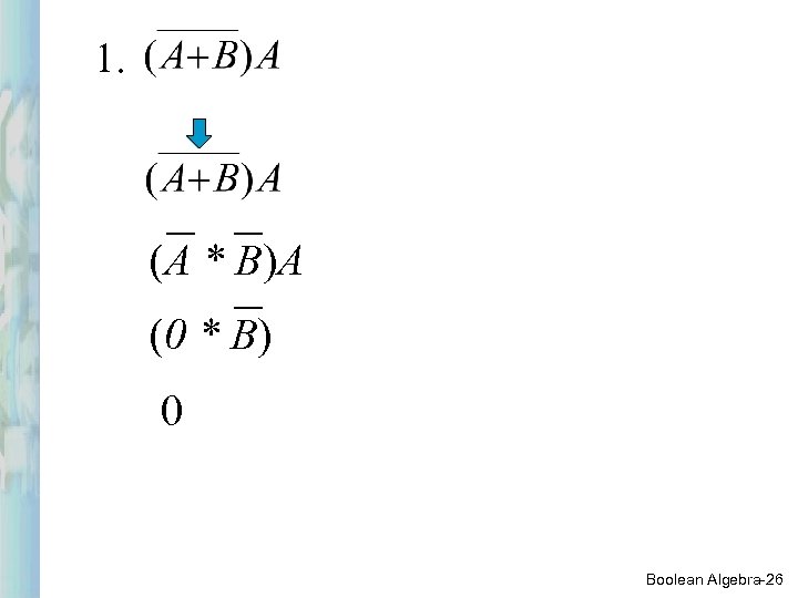
1. (A * B)A (0 * B) 0 Boolean Algebra-26
2. (A + B)(A + B) 0 + AB + B (A + 1)B B Boolean Algebra-27
3. (A + A)(A + B) A(A + B) A + AB A(1 + B) A(1) A Law of Absorption A Boolean Algebra-28
4. (AB + AB) Indempotent Law AB Boolean Algebra-29
5. (A + BC)(AB) AB + ABC AB(1 + C) AB Boolean Algebra-30
Questions? Boolean Algebra-31
Java Object Oriented Programming Begin Boolean Algebra
9c85cc4787a233917e1435c8ed0e177a.ppt