Mag_ISSLEDOVANIE_OPERATsIJ.pptx
- Количество слайдов: 169
ИССЛЕДОВАНИЕ ОПЕРАЦИЙ Курс лекций профессора Ирины Геннадьевны Галяминой 1
1. ВВОДНАЯ ЛЕКЦИЯ ПО КУРСУ ИССЛЕДОВАНИЕ ОПЕРАЦИЙ: Введение в курс «Исследование операций» . Типичные задачи исследования операций 1. Что изучается при исследовании операций? 2. Что такое «операция» ? 3. Что значит «исследовать операцию» ? 2
Исследование операций — применение математических, количественных методов для обоснования решений во всех областях целенаправленной человеческой деятельности. Исследование операций начинается тогда, когда для обоснования решений применяется тот или другой математический аппарат. Операция — всякое мероприятие (система действий), объединённое единым замыслом и направленное к достижению какой-то цели. Операция всегда является управляемым мероприятием, то есть зависит от человека, каким способом выбрать параметры, 3
Нужно принять решение Нужно сделать выбор. Как сделать выбор? ХОЧУ! МОГУ НУЖНО 4
5
Основные этапы операционного исследования 1. Постановка задачи. Первоначально задачу формулируют с точки зрения заказчика. Во время анализа системы задача постепенно уточняется. 2. Формализация задачи. Получив достаточно строгую и логически непротиворечивую, содержательную постановку задачи, нужно построить ее математическую модель. 3. Нахождение метода решения. Для нахождения оптимального решения в зависимости от структуры задачи применяют те или иные методы теории оптимальных решений, называемые также методами математического 6
Основные этапы операционного исследования 4. Проверка и корректировка модели. В сложных системах, к которым относятся системы организационного типа, модель лишь частично отражает реальный процесс. Поэтому необходима проверка степени соответствия или адекватности модели и реального процесса. Проверку производят сравнением предсказанного поведения с фактическим при изменении значений внешних неуправляемых воздействий. Корректировка может потребовать дополнительных исследований объекта, уточнения структуры математической модели, многочисленных изменений переменных. Таким образом, 4 этап многократно повторяется, пока не будут достигнуто удовлетворительное соответствие между выходами объекта и модели. 7 5. Реализация найденного решения на практике.
Классификация задач исследования операций по уровню информации о ситуации 1. Детерминированый уровень - наиболее простой уровень информации о ситуации - когда условия, в которых принимаются решения, известны полностью. 2. Стохастический уровень - уровень, при котором известно множество возможных вариантов условий и их вероятностное распределение. 3. Неопределенный уровень - уровень, когда известно множество возможных вариантов, но без какой либо информации об их вероятностях 8
Обзор типичных задач исследования операций 1. Задачи распределения ресурсов Распределительные задачи возникают в случае, когда имеющихся в наличии ресурсов не хватает для выполнения каждой из намеченных работ эффективным образом и необходимо наилучшим образом распределить ресурсы по работам в соответствии с выбранным критерием оптимальности. Методы решения задач распределения ресурсов позволяют: · распределять ресурсы между работами таким образом, чтобы максимизировать прибыль или минимизировать затраты; 9 · определять такой состав работ, который
Примером распределительной задачи является разработка плана снабжения. Имеется ряд предприятий, потребляющих известные виды сырья, и есть ряд сырьевых баз, которые могут поставлять это сырье. Базы связаны с предприятиями какими-то путями снабжения со своими тарифами. Требуется разработать такой план снабжения предприятий сырьем (с какой базы, в каком количестве и какое сырье доставлять), чтобы потребности в сырье были удовлетворены с минимальными затратами. 10
Требуется разработать такой план снабжения предприятий сырьем (с какой базы, в каком количестве и какое сырье доставлять), чтобы потребности в сырье были удовлетворены с 11
Предприя тие А ? База 1 Предприятие Б База 2 Предприятие В База 3 Требуется определить с какой базы, в каком количестве и какое сырье доставлять, чтобы потребности в сырье были удовлетворены с минимальными затратами. 12
2. Задачи ремонта и замены оборудования Любое оборудование со временем изнашивается и стареет, и поэтому требует своевременного предупредительного или восстановительного ремонта либо полной замены на новое оборудование. Типичная кривая старения оборудования и ухудшения его эффективности (например, производительности). E = f (t) Здесь Е - эффективность, t – время. Когда нужно заменить оборудование? 13
2. Задачи ремонта и замены оборудования 14
2. Задачи ремонта и замены оборудования позволяют определить: такие сроки восстановительного ремонта и моменты замены оборудования, при которых минимизируются затраты З на ремонт, замену за все время его эксплуатации; такие сроки профилактического контроля по обнаружению неисправностей, при которых минимизируется сумма затрат на проведение контроля и ожидаемых потерь от простоя оборудования вследствие выхода из строя некоторых деталей оборудования. 15
2. Задачи ремонта и замены оборудования такие сроки восстановительного ремонта и моменты замены оборудования, при которых минимизируются затраты З на ремонт, простоя во время ремонта, снижения производительности из-за изношенности. Какой выбрать критерий? Как выбрать время ремонта? З Затраты на ремонт Затраты из-за снижения производительности Затраты из-за простоя оборудования во время ремонта 16
2. Задачи ремонта и замены оборудования КОГДА ремонтировать? КОГДА контролировать? СКОЛЬКО стоит? 17
3. Задачи управления запасами возникают, когда экономический объект не может работать без производственных или товарных запасов, поскольку их отсутствие приводит к простоям, штрафам, потере клиентов, потере репутации, катастрофам и т. д. 18
3. Задачи управления запасами позволяют ответить на следующие вопросы: · каковы оптимальные величины объема заказа на закупку или производство товара, сроки поставок заказов, величины запаса, моменты подачи заказа на товар, позволяющие минимизировать общие затраты на покупку, производство, доставку, хранение товара Когда нужно пополнить запас? · Z запас материалов 19
3. Задачи управления запасами Нужно минимизировать общие затраты Когда нужно пополнить запас? Сколько должно остаться запаса на складе? З Затраты на хранение запаса Затраты из-за отсутствия запаса · 20
3. Задачи управления запасами позволяют ответить на следующие вопросы: · каковы оптимальные величины объема заказа на закупку или производство товара, сроки поставок заказов, величины запаса, моменты подачи заказа на товар, позволяющие минимизировать общие затраты на покупку, производство, доставку, хранение товара · 21
4. Задачи выбора маршрута Типичной задачей выбора маршрута является нахождение некоторого маршрута проезда из одного пункта в другой, при наличии множества путей через различные промежуточные пункты. Задача состоит в определении маршрута по критерию времени или стоимости проезда. 22
4. Задачи выбора маршрута На существующие маршруты могут быть наложены ограничения, например, запрет на возврат к уже пройденному пути, требование обхода всех пунктов, причем в каждом из них можно побывать только один раз (задача коммивояжера). 23
5. Задачи массового обслуживания посвящены изучению систем обслуживания очередей требований. Причина очередей в том, что поток требований клиентов случаен и неуправляем. Типичные примеры таких ситуаций – очереди пассажиров к билетным кассам, очереди абонентов, ожидающих вызова на междугородной АТС, очереди самолетов, ожидающих взлета или посадки. 24
5. Задачи массового обслуживания посвящены изучению систем обслуживания очередей требований. 25
5. Задачи массового обслуживания позволяют определить, какое количество приборов обслуживания необходимо, чтобы минимизировать суммарные ожидаемые потери от несвоевременного обслуживания и простоев обслуживающего оборудования 26
6. Задачи упорядочения Стандартная постановка задачи упорядочения (календарного планирования): имеется множество деталей с определенными технологическими маршрутами, а также несколько станков, на которых детали обрабатываются. Тогда упорядочение заключается в определении такой очередности обработки каждой детали на каждом станке, при которой минимизируется суммарная продолжительность всех работ, или общее запаздывание обработки деталей, или потери от запаздывания и т. п. 27
7. Задачи сетевого планирования сложных проектов Примеры сложных комплексных проектов: строительство и реконструкция каких-либо крупных объектов; выполнение научно-исследовательских и конструкторских работ; подготовка производства к выпуску продукции. Использование теории исследования операций позволяет: · построить календарный график, который определяет моменты начала и окончания каждой работы, минимально возможное время выполнения проекта, критические работы; позволяет оптимизировать параметры проекта: выявить и устранить проблемы в обеспечении работ 28 исполнителями, снизить количество одновременно
29
Раздел 2 ОСНОВНЫЕ ЭТАПЫ ИССЛЕДОВАНИЯ ОПЕРАЦИЙ ОБЗОР МАТЕМАТИЧЕСКОГО ИНСТРУМЕНТАРИЯ ИССЛЕДОВАНИЯ ОПЕРАЦИЙ 30
ОСНОВНЫЕ ЭТАПЫ ИССЛЕДОВАНИЯ ОПЕРАЦИЙ При всем многообразии содержания конкретных работ в области исследования операций каждое операционное исследование проходит последовательно через несколько этапов, основными из которых есть: ü постановка задачи и разработка концептуальной модели; ü разработка математической модели; ü выбор (разработка) метода и алгоритма; ü проверка адекватности и корректировка модели; ü поиск решения на модели; ü реализация найденного решения на практике. 31
ОСНОВНЫЕ ЭТАПЫ ИССЛЕДОВАНИЯ ОПЕРАЦИЙ 1. Постановка задачи и разработка концептуальной модели. Это чрезвычайно важный и ответственный этап операционного исследования. Недаром говорят, что правильно поставить задачу – это наполовину ее решить. Первоначально цель и задачу операционного исследования формулирует заказчик (руководство фирмы, концерна, организации и т. п. ). Как правило, эта цель и постановка задачи имеет довольно общий характер, например: исследовать организацию системы снабжения или основного производства, поставить диагноз и разработать конкретные рекомендации относительно ее 32
1. Постановка задачи. На этом этапе создается операционная группа из системных аналитиков, специалистов в области организации производства, социологов и психологов и т. п. . Операционная группа детально обследует соответствующую систему (объект), изучает информационные и материальные потоки как в середине самой системы, так и ее связи с внешней средой. Одновременно изучаются организация подсистемы управления данной системой (объектом), а также функционирование системы (показатели качества или критерии эффективности) и внешние факторы, которые влияют на эти характеристики. После сбора результатов обследования проводится их подробный анализ, в результате которого обнаруживаются существенные факторы и переменные, обосновывается выбор тех или иных показателей качества функционирования системы, 33 а также существенных внешних факторов, структура
1. Постановка задачи. ОБЪЕКТЫ ИЗУЧЕНИЯ ОПЕРАЦИОННОЙ ГРУППОЙ Структура исследуемой системы Подсистема управления Информационн ые потоки Показатели функционирован ия системы Материальные потоки Влияние внешней среды 34
1. Постановка задачи. В Концептуальной модели описываются Подсистема управления Структура исследуемой системы (элементы, их взаимосвязи) Показатели функционирован ия системы Информационн ые потоки Влияние внешней среды Материальные потоки 35
Результатом этого этапа есть концептуальная модель исследуемой системы (задачи), в которой в содержательной форме описывается ü компоненты системы и их взаимосвязи, ü перечень основных показателей качества, ü перечень внешних факторов, а также их взаимосвязей с показателями качества системы, ü перечень стратегий управления (или решений), которые надо определить в результате решения поставленной задачи 36
ЗАДАНИЕ Выбрать систему и описать ее концептуальную модель 37
2. Математический инструментарий исследования операций Разработка математической модели. После получения концептуальной модели системы (содержательной постановки задачи) нужно построить ее математическую модель. Этот процесс называется формализацией задачи. Любая задача принятия решений характеризуется такими элементами: 1) множество переменных, значения которых выбирает лицо, принимающее решение (ЛПР), называемые стратегиями или управляющими 38
Разработка математической модели. 2) множество переменных, которые зависят от выбора стратегий, они называются выходными переменными задачи принятия решений или решениями 3) множество переменных, значения которых не регулируются ЛПР, эти переменные могут быть внутренними переменными и тогда их называют параметрами системы 4) эти переменные могут быть внешними, которые изменяются независимо от ЛПР, и тогда их называют возмущениями или внешней средой 5) ограничения на управляющие и выходные переменные, а также ресурсы системы, которые задаются в виде ресурсных функций 39
Разработка математической модели. Целевая функция – критерий эффективности , который зависит от принятых стратегий, параметров системы и возмущений В общем случае математическая модель задачи принятия решений имеет такой вид: при ограничениях а) функция затрат ресурса имеющаяся величина і-го ресурса в системе б) Ограничения на Х и Y Х≤Х≥Х У≥У ≥ У 40
2. Математический инструментарий исследования операций Рассмотрим некоторые математические дисциплины, наиболее часто используемые при решении задач исследования операций. 1. Математическое программирование ("планирование") – это раздел математики, занимающийся разработкой методов отыскания экстремальных значений функции, на аргументы которой наложены ограничения. Методы математического программирования широко используются для решения распределительных задач. 41
Математический инструментарий исследования операций. 42
1. Математическое программирование Линейное программирование (ЛП) – является наиболее простым и лучше всего изученным разделом математического программирования. В нем рассматриваются задачи, у которых показатель оптимальности представляет собой линейную функцию от переменных задачи, а ограничительные условия, налагаемые на возможные решения, имеют вид линейных равенств или неравенств. Соответственно нелинейное программирование рассматривает задачи с нелинейными целевыми функциями и ограничениями. Целочисленное линейное программирование используется для решения задач, у которых все или некоторые переменные должны принимать целочисленные значения. 43
1. Математическое программирование Линейное программирование (ЛП) – является наиболее простым и лучше всего изученным разделом математического программирования. В нем рассматриваются задачи, у которых показатель оптимальности представляет собой линейную функцию от переменных задачи, а ограничительные условия, налагаемые на возможные решения, имеют вид линейных равенств или неравенств. Соответственно нелинейное программирование рассматривает задачи с нелинейными целевыми функциями и ограничениями. Целочисленное линейное программирование используется для решения задач, у которых все или некоторые переменные должны принимать целочисленные значения. 44
Целевое программирование представляет собой методы решения задач линейного программирования с несколькими целевыми функциями, которые могут конфликтовать друг с другом. Задачи, решаемые с помощью сетевого моделирования (теория графов), могут быть сформулированы и решены методами линейного программирования, но специальные сетевые алгоритмы позволяют решать их более эффективно. Примеры: задачи нахождения кратчайшего пути, критического пути, максимального потока, минимизации стоимости потока в сети с ограниченной пропускной способностью и др. 45
2. Аппарат теории вероятностей используется во многих задачах исследования операций, например, для прогнозирования (регрессионный и корреляционный анализ), вероятностного управления запасами, моделирования систем массового обслуживания, имитационного моделирования и др. 3. Методы моделирования и прогнозирования временных рядов позволяют выявить тенденции изменения фактических значений параметра Y во времени и прогнозировать будущие значения Y. 4. Теория игр и принятия решений рассматривает процессы выбора наилучшей из нескольких альтернатив в ситуациях определенности, риска, неопределенности (вероятностное распределение либо неизвестно, либо не может быть определено). 5. Методы и модели теории нечетких множеств 46
Раздел 3 ЛИНЕЙНОЕ ПРОГРАММИРОВАНИЕ 47
ЛИНЕЙНОЕ ПРОГРАММИРОВАНИЕ Термин линейное программирование появился в Америке в середине 40 -х. В Советском Союзе исследования в этой области начались ранее. В конце 30 -х годов целый ряд существенных результатов по линейному программированию был установлен Л. В. Канторовичем. Задача линейного программирования (ЗЛП) – это задача нахождения значений параметров, обеспечивающих экстремум функции при наличии ограничений на аргументы. Задачи линейного программирования являются самыми простыми и лучше изученными задачами. Для них характерно: показатель эффективности (целевая функция) выражается линейной зависимостью; ограничения на решения – линейные равенства или неравенства 48
Трудности решения ЗЛП Трудности решения задач линейного программирования зависят от: Ø вида зависимости, связывающей целевую функцию с элементами решения; Ø размерности задачи, то есть от количества элементов решения х1, х2, . , xn; Ø вида и количества ограничений на элементы решений. 49
Задача о рациональном питании (задача о пищевом рационе). Ферма производит откорм скота с коммерческой целью. Для простоты допустим, что имеется всего четыре вида продуктов: П 1, П 2, П 3, П 4; стоимость единицы каждого продукта равна соответственно С 1, С 2, С 3, С 4. Из этих продуктов требуется составить пищевой рацион, который должен содержать: белков – не менее b 1 единиц; углеводов – не менее b 2 единиц; жиров – не менее b 3 единиц. Для продуктов П 1, П 2, П 3, П 4 содержание белков, углеводов и жиров (в единицах на единицу продукта) известно и задано в таблице, где aij (i=1, 2, 3, 4; j=1, 2, 3) – какие – то определённые числа; первый индекс указывает номер продукта, второй – номер элемента (белки, углеводы, жиры). 50
Элементы П 1 П 2 П 3 П 4 белки а 11 а 21 а 31 а 41 жиры а 12 а 22 а 32 а 42 углеводы а 13 а 23 а 33 а 43 Требуется составить такой пищевой рацион (т. е. назначить количества продуктов, входящих в него П 1 , П 2 , П 3, П 4 ), чтобы условия по белкам, углеводам и жирам были выполнены и при этом стоимость рациона была минимальна. Математическая модель. Обозначим x 1, x 2, x 3, x 4 количества продуктов П 1 , П 2 , П 3, П 4 , входящих в рацион. 51
Показатель эффективности, который требуется минимизировать, - стоимость рациона (обозначим её F): она линейно зависит от элементов решения x 1, x 2, x 3, x 4. F=c 1 x 1+c 2 x 2+c 3 x 3+c 4 x 4→min F= ∑(ci·xi) →min Здесь x 1, x 2, x 3, x 4 – количество продуктов каждого вида, с1, с2, с3, с4– стоимость продуктов каждого вида. Суммарное количество белков во всех продуктах a 11·x 1+a 21·x 2+a 31·x 3+ a 41·x 4 Здесь x 1, x 2, x 3, x 4 – количество продуктов каждого вида, a 11, a 21, a 31, a 41 – количество белков на единицу продукта 52 Суммарное количество жиров во всех продуктах
Таким образом математическая модель F=c 1 x 1+c 2 x 2+…+cnxn→min F= ∑(ci·xi) →min Ограничения: a 11·x 1+a 21·x 2+a 31·x 3+ a 41·x 4≥b 1 (белки) a 12·x 1+a 22·x 2+a 32·x 3+a 42·x 4≥b 2 (жиры) a 13·x 1+a 23·x 2+a 33·x 3+a 43·x 4≥b 3 (углеводы) Это все математическая модель. 53
Задача "о планировании производства" Пусть предприятие производит 3 вида изделий, по каждому из которых спущен план, по которому выпуск изделий по видам не может быть менее, соответственно b 1, b 2 и b 3. На изготовление изделий идет 4 вида сырья, запасы которого составляют, соответственно, s 1, s 2, s 3 и s 4. Одно изделие каждого вида приносит прибыль (по видам изделий): с1, с2, с3. Потребный расход сырья a 1, a 2, a 3 a 4 на каждый вид изделия представлен в таблице. Требуется так спланировать производство (сколько и каких изделий выпустить), чтобы план был выполнен, а суммарная прибыль была бы максимальной. Попробуйте написать таблицу и 54
• П 1 • а 11 Вид Сырье • П 1 1 2 3 4 • Видизделия ия • Сырье 1 • Сырье 2 а а П 1 11 12 13 14 • Сырье 3 П 2 а 21 а 22 а 23 а 24 П 3 а 31 а 32 а 33 а 34 55
Показатель эффективности, который требуется максимизировать , - суммарная прибыль (обозначим её F): она линейно зависит от элементов решения x 1, x 2, x 3. F=c 1 x 1+c 2 x 2+c 3 x 3→mах F= ∑(ci·xi) →mах Здесь x 1, x 2, x 3 – количество изделий каждого вида, с1, с2, с3, – прибыль изделий каждого вида. Суммарное количество (потребность) сырья 1 вида a 11·x 1+a 21·x 2+a 31 x 3· Здесь x 1, x 2, x 3 – количество изделий каждого вида, а 11, а 21, а 31, – потребный расход сырья на изделие 1 вида 56
Суммарное количество сырья 2 вида a 12·x 1+a 22·x 2+a 32·x 3 Здесь x 1, x 2, x 3 – количество изделий каждого вида, а 12, а 22, а 32, – потребный расход сырья на изделие 2 вида Суммарное количество (потребность) сырья 3 вида a 13·x 1+a 23·x 2+a 33·x 3; Здесь x 1, x 2, x 3 – количество изделий каждого вида, а 13, а 23, а 33, – потребный расход сырья на изделие 3 вида Запишите суммарную потребность в сырье 4 вида и ограничения 57
Показатель эффективности, который требуется максимизировать , - суммарная прибыль: она линейно зависит от элементов решения x 1, x 2, x 3. F=c 1 x 1+c 2 x 2+c 3 x 3→mах F= ∑(ci·xi) →mах Ограничения: a 11·x 1+a 21·x 2+a 31·x 3≤s 1; a 12·x 1+a 22·x 2+a 32·x 3≤s 2; a 13·x 1+a 23·x 2+a 33·x 3≤s 3; a 14·x 1+a 24·x 2+a 34·x 3≤s 4 x 1≥b 1, x 2≥b 2, x 3 ≥b 3 Это все математическая модель. 58
Задача о загрузке оборудования Ткацкая фабрика располагает двумя видами станков, из них n 1 станков типа 1 и n 2 станков типа 2. Станки могут производить три вида тканей: Т 1, Т 2 и Т 3, но с разной производительностью. Данные aij производительности станков даны в таблице. (первый индекс -- тип станка, Виды тканей второй -- вид ткани). Станки Т 1 Т 2 Т 3 n 1 а 12 а 13 n 2 а 21 а 22 а 23 59
Каждый метр ткани вида T 1 приносит фабрике доход с1, вида Т 2 – доход с2 , T 3 - доход с3. Фабрике предписан план, согласно которому она должна производить в месяц не менее b 1 метров ткани T 1, b 2 метров ткани T 2, b 3 метров ткани T 3. Количество метров каждого вида ткани не должно превышать соответственно 1 метр, 2 метра, 3 метра. Кроме того, все без исключения станки должны быть загружены. Требуется так распределить загрузку станков 60
В этой задаче элементы решения - не количества тканей каждого вида, а количества станков типов 1 и 2, занятых производством тканей каждого вида. Здесь удобно обозначить элементы решения буквами х с двумя индексами (первый - тип станка, второй - вид ткани). Всего будет шесть элементов решения: x 11 x 12 x 13 x 21 x 22 x 23 Здесь x 11 - количество станков типа 1, 61
Количество изготовленной ткани вида T 1 a 11 x 11 + a 21 x 21 Здесь x 11 -количество ткани 1 вида , изготовленное на станке 1 вида a 11 - производительность станка 1 вида при изготовлении ткани 1 вида x 21 -количество ткани 2 вида , изготовленное на станке 1 вида a 21 - производительность станка 2 вида при изготовлении ткани 1 вида 62
Количество изготовленной ткани вида T 2 a 12 x 12 + a 22 x 22 Здесь x 12 -количество ткани 2 вида , изготовленное на станке 1 вида a 12 - производительность станка 1 вида при изготовлении ткани 2 вида x 22 -количество ткани 2 вида , изготовленное на станке 2 вида a 22 - производительность станка 2 вида при изготовлении ткани 2 вида Запишите количество изготовленной ткани вида T 3 и 63
Запишем условия-ограничения, наложенные на элементы решения хij. Прежде всего, обеспечим выполнение плана. Это даст нам три неравенстваограничения: a 11 x 11 + a 21 x 21 ≥ b 1 a 12 x 12 + a 22 x 22 ≥ b 2 a 13 x 13 + a 23 x 23 ≥ b 3 После этого ограничим перевыполнение плана; это даст нам еще три неравенства-ограничения: a 11 x 11 + a 21 x 21 ≤ 1 м a 12 x 12 + a 22 x 22 ≤ 2 м a 13 x 13 + a 23 x 23 ≤ 3 м 64
Суммарное количество станков типа 1, занятых изготовлением всех тканей, должно быть равно n 1; типа 2 - n 2. Отсюда еще два условия - на этот раз равенства: x 11 + x 12 +x 13 = n 1 x 21 + x 22 + x 23 = n 2 Здесь x 11 -количество ткани 1 вида , изготовленное на станке 1 вида x 12 -количество ткани 2 вида , изготовленное на станке 1 вида x 13 количество ткани 3 вида , изготовленное на станке 1 вида Расшифруйте значения x 21. x 22 . x 23 65
Суммарное количество станков типа 1, занятых изготовлением всех тканей, должно быть равно n 1; типа 2 - n 2. Отсюда еще два условия - на этот раз равенства: x 11 + x 12 +x 13 = n 1 x 21 + x 22 + x 23 = n 2 Здесь x 11 -количество ткани 1 вида , изготовленное на станке 1 вида x 12 -количество ткани 2 вида , изготовленное на станке 1 вида x 13 количество ткани 3 вида , изготовленное на станке 1 вида x 21 -количество ткани 1 вида , изготовленное на станке 2 вида 66
Запишем суммарный доход от производства всех видов тканей. Суммарное количество метров ткани T 1, произведенное всеми станками, будет равно а 11 x 11 + а 21 x 21 и принесет доход c 1(а 11 x 11 + а 21 x 21 ). Здесь x 11 -количество ткани 1 вида , изготовленное на станке 1 вида x 21 -количество ткани 1 вида , изготовленное на станке 2 вида Запишите доход от изготовления ткани 2 и 3 видов И суммарный доход от изготовления ткани 67
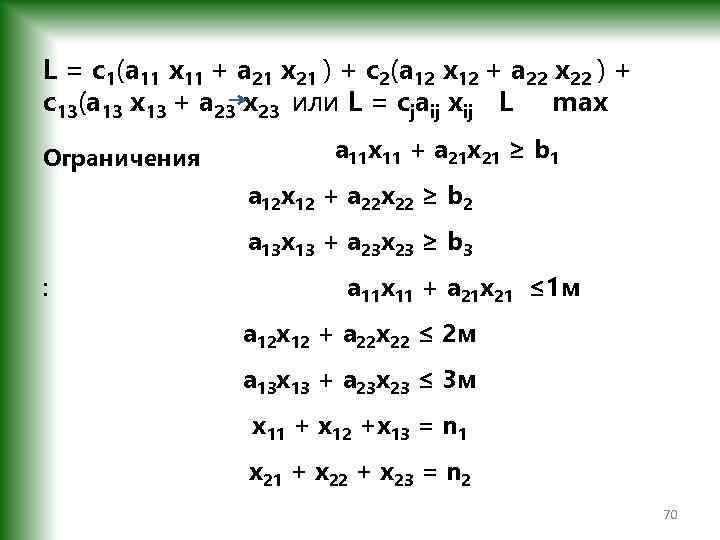
Запишем суммарный доход от производства всех видов тканей. Суммарное количество метров ткани T 1, произведенное всеми станками, будет равно а 11 x 11 + а 21 x 21 и принесет доход c 1(а 11 x 11 + а 21 x 21 ). Рассуждая аналогично, найдем суммарный доход фабрики за месяц при плане: L = c 1(а 11 x 11 + а 21 x 21 ) + c 2(а 12 x 12 + а 22 x 22 ) + c 13(а 13 x 13 + а 23 x 23 ) или L = cjаij xij Эта линейная функция шести аргументов стремится к максимуму: L max Запишите математическую модель 68
В этой задаче линейного программирования требуется найти такие неотрицательные значения переменных x 11, x 12, . . . , x 23, которые, во -первых, удовлетворяли бы ограничениям-неравенствам, вовторых - ограничениям-равенствам и, наконец, обращали бы в максимум линейную функцию этих переменных L. В этой задаче линейного программирования шесть 69
L = c 1(а 11 x 11 + а 21 x 21 ) + c 2(а 12 x 12 + а 22 x 22 ) + c 13(а 13 x 13 + а 23 x 23 или L = cjаij xij L max Ограничения a 11 x 11 + a 21 x 21 ≥ b 1 a 12 x 12 + a 22 x 22 ≥ b 2 a 13 x 13 + a 23 x 23 ≥ b 3 : a 11 x 11 + a 21 x 21 ≤ 1 м a 12 x 12 + a 22 x 22 ≤ 2 м a 13 x 13 + a 23 x 23 ≤ 3 м x 11 + x 12 +x 13 = n 1 x 21 + x 22 + x 23 = n 2 70
Задание Написать ограничения для следующей задачи. Имеются три промышленных предприятия: П 1, П 2, П 3 , требующих снабжения определенным видом сырья. Потребности в сырье каждого предприятия равны соответственно a 1, a 2, a 3 единиц. Имеются пять сырьевых баз, расположенных от предприятий на каких -то расстояниях и связанных с ними путями сообщения с разными тарифами. Единица сырья, получаемая 71
Предприя тие База Б 1 Б 2 Б 3 Б 4 Б 5 П 1 а 12 а 13 а 14 а 15 П 2 а 21 а 22 а 23 а 24 а 25 П 3 а 31 а 32 а 33 а 34 а 35 Возможности снабжения сырьем с каждой базы ограничены ее производственной мощностью: базы Б 1, Б 2, Б 3, Б 4, Б 5 могут дать не более b 1, b 2, b 3, b 4, b 5 единиц сырья. Требуется составить такой план снабжения предприятий сырьем (с какой базы, куда и какое количество сырья везти), 72 чтобы потребности предприятий были обеспечены при
Обозначим xij количество сырья, получаемое i-м предприятием с j-й базы. Всего план будет состоять из 15 элементов решения: x 11 x 12 x 13 x 14 x 15 x 21 x 22 x 23 x 24 x 25 x 31 x 32 x 33 x 34 x 35 Целевая функция L = cijxij min Необходимо написать ограничения и развернуть целевую функцию. 73
Введем ограничения по потребностям. Они состоят в том, что каждое предприятие получит нужное ему количество сырья (ровно столько, сколько ему требуется): x 11 + x 12 + x 13 + x 14 + x 15 = a 1 x 21 + x 22 + x 23 + x 24 + x 25 = a 2 x 31 + x 32 + x 33 + x 34 + x 35 = a 3 Далее напишем ограничения-неравенства, вытекающие из производственных мощностей баз: x 11 + x 21 + x 31 ≤ b 1 x 12 + x 22 + x 32 ≤ b 2 x 13 + x 23 + x 33 ≤ b 13 x 14 + x 24 + x 34 ≤ b 4 x 15 + x 25 + x 35 ≤ b 5 74
ОСНОВНАЯ ЗАДАЧА ЛИНЕЙНОГО ПРОГРАММИРОВАНИЯ (ОЗЛП) Любую задачу линейного программирования можно свести к стандартной форме, так называемой «основной задаче линейного программирования» (ОЗЛП), которая формулируется так: найти неотрицательные значения переменных x 1, x 2, . . . , xn , которые удовлетворяли бы условиям-равенствам a 11 x 1 + a 21 x 2 + … + an 1 xn = b 1 a 21 x 1 + a 22 x 2 + … + an 2 xn = b 2 ………………… am 1 x 1 + am 2 x 2 + … + amn xn = bm и обращали бы в максимум линейную функцию этих переменных: 75
Пусть требуется найти неотрицательные значения переменных х1, х2, х3, удовлетворяющие ограничениям -неравенствам 3 х1 + 2 х2 - х3 ≤ 4 х1 -2 х2 + 3 х3 ≤ 10 и обращающие в максимум линейную функцию от этих переменных: L = 4 х1 - х2 + 2 х3 max Приведем неравенства к стандартной форме, так, чтобы знак неравенства был , а справа стоял нуль. Получим: 3 х1 + 2 х2 - х3 – 4 =0 х1 -2 х2 + 3 х3 +10 =0 76
Обозначим левые части неравенств соответственно через y 1 и y 2: 3 х1 + 2 х2 - х3 – 4 = y 1 х1 -2 х2 + 3 х3 +10 = y 2 Требуется найти неотрицательные значения переменных х1, х2, х3, y 1 , y 2 такие, чтобы они удовлетворяли условиямравенствам и обращали в максимум линейную функцию этих переменных. Перед нами -- основная задача линейного программирования (ОЗЛП). Переход к ней от первоначальной задачи с ограниченияминеравенствами «куплен» ценой увеличения числа переменных на два (число неравенств). Всякая задача линейного программирования может 77
РЕШИТЬ ЗАДАЧУ (написать целевую функцию и ограничения), привести к ОЗЛП) Задача о планировании производства. Предприятие производит изделия трех видов: U 1, U 2, U 3. По каждому виду изделия предприятию спущен план, по которому оно обязано выпустить не менее b 1 единиц изделия U 1 , не менее b 2 единиц изделия U 2 и не менее b 3 единиц изделия U 3. План может быть перевыполнен, но в определенных границах; условия спроса ограничивают количества произведенных единиц каждого типа: не более соответственно 1, 2, 3, единиц. На изготовление изделий идет какое-то сырье; всего имеется четыре вида сырья: S 1, S 2, S 3, S 4, причем запасы ограничены числами 1, 2, 3, 4 единиц каждого вида сырья. Укажем, какое количество сырья каждого вида идет на изготовление каждого вида изделий. Обозначим аij количество единиц сырья вида Si (i=l, 2, 3, 4), 78 потребное на изготовление одной единицы изделия Uj (j
Изделие Сырье U 1 U 2 U 3 S 1 a 12 a 13 S 2 a 21 a 22 a 23 S 3 a 31 a 32 a 33 S 4 a 41 a 42 a 43 79
При реализации одно изделие U 1 приносит предприятию прибыль c 1, U 2 приносит предприятию прибыль c 2, U 3 приносит предприятию прибыль c 3. Требуется так спланировать производство (сколько каких изделий производить), чтобы план был выполнен или перевыполнен (но при отсутствии «затоваривания» ), а суммарная прибыль обращалась в максимум. 80
Запишем задачу в форме задачи линейного программирования. Элементами решения будут х1, х2, х3 - количества единиц изделий U 1, U 2, U 3, которые мы произведем. Обязательность выполнения планового задания запишется в виде трех ограниченийнеравенств: х1 ≥ b 1 , х2 ≥ b 2, х3 ≥ b 3 Отсутствие излишней продукции (затоваривания) даст нам еще три 81
Кроме того, нам должно хватить сырья. Соответственно четырем видам сырья будем иметь четыре ограничениянеравенства: a 11 x 1 + a 21 x 2 + a 31 x 3 ≤ 1 a 12 x 1 + a 22 x 2 + a 32 x 3 ≤ 2 a 13 x 1 + a 23 x 2 + a 33 x 3 ≤ 3 a 14 x 1 + a 24 x 2 + a 34 x 3 ≤ 4 Прибыль, приносимая планом (х1, х2, х3), будет равна L = c 1 x 1 + c 2 x 2 + c 3 x 3 max 82
Раздел 4 ДИНАМИЧЕСКОЕ ПРОГРАММИРОВАНИЕ. МНОГОШАГОВЫЕ ПРОЦЕССЫ ПРИНЯТИЯ РЕШЕНИЙ 83
Динамическое программирование — способ решения сложных задач путём разбиения их на более простые подзадачи. Ключевая идея в динамическом программировании достаточно проста. Как правило, чтобы решить поставленную задачу, требуется решить отдельные части задачи (подзадачи), после чего объединить решения подзадач в одно общее решение. Часто многие из этих подзадач одинаковы. Подход динамического программирования состоит в том, чтобы решить каждую подзадачу только один раз, сократив тем самым количество вычислений. Это особенно полезно в случаях, когда число повторяющихся подзадач экспоненциально велико. 84
Словосочетание «динамическое программирование» впервые было использовано в 1940 -х годах Р. Беллманом для описания процесса нахождения решения задачи, где ответ на одну задачу может быть получен только после решения задачи, «предшествующей» ей. В 1953 г. он уточнил это определение до современного. Вклад Беллмана в динамическое программирование был увековечен в названии уравнения Беллмана, центрального результата теории динамического программирования. Динамическое программирование – один из наиболее мощных методов оптимизации. С задачами принятия рациональных решений, выбора наилучших вариантов, оптимального управления имеют дело специалисты разного профиля. Среди методов 85
Сфера приложения принципа оптимальности чрезвычайно широка, круг задач, к которым он может быть применен, до настоящего времени еще полностью не очерчен. Динамическое программирование с самого начала выступает как средство практического решения задач оптимизации. Динамическое программирование представляет собой математический аппарат, который подходит к решению некоторого класса задач путем их разложения на части, небольшие и менее сложные задачи. При этом отличительной особенностью является решение задач по этапам, через фиксированные интервалы, промежутки времени, что и определило появление термина динамическое программирование. В целом математический аппарат можно представить как 86
Решение задач методами динамического программирования проводится на основе сформулированного Р. Э. Беллманом принципа оптимальности: оптимальное поведение обладает тем свойством, что каким бы ни было первоначальное состояние системы и первоначальное решение, последующее решение должно определять оптимальное поведение относительно состояния, полученного в результате первоначального решения. Из этого следует, что планирование каждого шага должно проводиться с учетом общей выгоды, получаемой по завершении всего процесса, что и позволяет оптимизировать конечный результат по выбранному критерию. Таким образом, динамическое программирование 87 в широком смысле представляет собой
88
Оптимальная подструктура в динамическом программировании означает, что оптимальное решение подзадач меньшего размера может быть использовано для решения исходной задачи. В общем случае мы можем решить задачу, в которой присутствует оптимальная подструктура, проделывая следующие три шага. 1) Разбиение задачи на подзадачи меньшего размера. 2) Нахождение оптимального решения подзадач рекурсивно, проделывая такой же трехшаговый алгоритм. 3) Использование полученного решения подзадач для конструирования решения исходной задачи. Подзадачи решаются делением их на подзадачи ещё меньшего размера и т. д. , пока не приходят к тривиальному случаю задачи, решаемой за константное время (ответ можно сказать сразу). 89
Задача об одномерной оптимальной упаковке, или задача о рюкзаке, формулируется так: пусть имеется рюкзак заданной грузоподъемности; также имеется некоторое множество предметов различного веса и различной стоимости (ценности); требуется упаковать рюкзак так, чтобы он закрывался и сумма стоимостей упакованных предметов была бы максимальной. Существует множество разновидностей этой задачи, широко используемых в практике: оптимальное заполнение контейнеров; загрузка грузовиков с 90
Математическая постановка задачи Пусть задано конечное множество предметов, для каждого известна ценность (стоимость) ci и определен обьем ai. Имеется рюкзак объема B. Требуется упаковать рюкзак так, чтобы общая ценность упакованных предметов была наибольшей и их общий объем не превосходил B. Традиционно полагают, что х - целые не отрицательные числа. Идея решения задачи. Идея заключается в поэтапном увеличении числа предметов, между которыми распределяется объем рюкзака, начиная от 1. 91
Тогда задача о рюкзаке сводится к следующей задаче : найти такие значения переменных Х, при которых достигается максимум суммы W = ∑ciхi где ci - ценность (стоимость) и выполняется ограничение ∑аiхi≤В где аi – объем i-той вещи; В – общий объем рюкзака. Если имеется только одно ограничение , то задачу о рюкзаке называют одномерной, в противном случае – многомерной. 92
Динамическое программирование используется при решении задачи по определению объемов воды, выделяемых каждому из участников водохозяйственного комплекса при числе участников больше двух. Критерием оптимизации служит максимум суммарного дохода. Идея решения задачи. Идея заключается в поэтапном увеличении числа участников, между которыми распределяется объем водных 93
94
Порядок решения задачи 1. Принимается число участников к = 1. На этом этапе зависимость условнооптимального суммарного дохода Д*1 от объема распределяемых ресурсов V Д*1 = f(V) (1) совпадает с функцией зависимости дохода первого из участников d 1 от объема используемых водных ресурсов Х. d 1 = f(Х), (2) заданной в перечне исходных данных. 95
2. Принимается число участников к = 2. На этом этапе зависимость суммарного дохода Д 2 от объема распределяемых ресурсов V подсчитывается по формуле Д 2 = d 2(Х) + Д*1(V- Х 2), (3) где d 2(Х) - функция зависимости дохода второго из участников d 2 от объема используемых водных ресурсов Х, то есть d 2 = f(Х), заданная в перечне исходных данных, а Д*1(V- Х 2), определена на предыдущем этапе. 96
Задавая несколько значений Х 2 и V, можно получить зависимости Д*2 = f(V), (4) Х*2 = f(V), (5) где Д*2 - условно-оптимальный суммарный доход при двух участниках, Х*2 - условно-оптимальный объем водных ресурсов, выделяемых второму участнику. 97
3. Принимается количество участников n = 3. На этом этапе зависимость суммарного дохода Д 3 от объема распределяемых ресурсов V подсчитывается по формуле Д 3 = d 3(Х) + Д*2(V- Х 3), (6) где d 3(Х) - функция зависимости дохода третьего из участников d 3 от объема используемых водных ресурсов Х, то есть d 3 = f(Х), заданная в перечне исходных данных, а Д*2(V- Х 3), определена на 98
Задавая несколько значений Х 3 и V, можно получить зависимости Д*3 = f(V), (7) Х*3 = f(V), (8) где Д*3 - условно-оптимальный суммарный доход при трех участниках, Х*3 - условно-оптимальный объем водных ресурсов, выделяемых третьему участнику. 99
4. При количестве участников к = m. На этом этапе зависимость суммарного дохода Дm от объема распределяемых ресурсов V подсчитывается по формуле Дm = dm (Х) + Д*m-1(V- Хm), (9) где dm(Х) - функция зависимости дохода mего из участников dm от объема используемых водных ресурсов Х, то есть dm = f(Х), заданная в перечне исходных данных, а Д*m-1 (V- Хm), определена на предыдущем этапе. 100
Задавая несколько значений Хm и V, можно получить зависимости Д*m = f(V), (10) Х*m = f(V), (11) где Д*m - условно-оптимальный суммарный доход при количестве участников, равных m; Х*m - условно-оптимальный объем водных ресурсов, выделяемых m-му участнику. 101
5. На последнем этапе принимается количество участников к = п. На этом этапе зависимость суммарного дохода Дn от объема распределяемых ресурсов V подсчитывается по формуле Дn = dn (Х) + Д*n-1(V- Хn), (12) где dn(Х) - функция зависимости дохода последнего из участников dn от объема используемых водных ресурсов Х, то есть dn = f(Х), заданная в перечне исходных данных, а Д*n-1 (V- Хn), определена на предыдущем этапе. 102
Задавая несколько значений Хn и приняв V = W, можно определить Хnопт, при котором Дn имеет максимальное значение, причем не условное, поскольку в рассмотрение вовлечены все участники. 6. Для к = n-1 по зависимости, полученной ранее Х*n-1= f(V), для координаты V =W -Хnопт определяется Хn-1 опт. 7. Для к = n-2 по зависимости, полученной ранее Х*n-2 = f(V), для координаты V =W – Хn-1 опт определяется Хn-2 опт и т. д. 8. На последнем этапе для к=1 Х 1 опт = W – Х 2 опт- Х 3 опт -…. - Хn-1 опт - Хnопт 103
Пример решения задачи Исходные данные: W=5 Σx. I =W m=3 Х, МЛН. М 3 0 1 2 3 4 5 D 1, d 2, d 3, тыс. руб 0 1, 8 3, 0 4, 0 5, 0 6, 1 0 2, 0 4, 0 5, 5 6, 8 7, 8 0 1, 6 3, 2 4, 7 5, 8 7, 0 104
к =2 Х 2 d 2, D*1, (V- Х 2 ), тыс. (Из исход руб данных) при 0 1 2 3 4 5 V= 1 0 1, 8 2, 0 0 4, 0 5, 5 6, 8 7, 8 V= 3 4, 0 3, 0 1, 8 0 - V= 5 6, 1 5, 0 4, 0 3, 0 1, 8 0 D*2 = d 2 + D*1, (V- Х 2 ), V= 1 1, 8 2, 0 - V= 3 4, 0 5, 8 5, 5 V= 5 6, 1 7, 0 8, 5 8, 6 7, 8 105
D*2=f(V) Х*2 =f(V) V 1 3 5 D*2 2 5, 8 8, 6 х*2 1 2 4 х *2 D*2 V V 106
К=3 W=5 Х 3 d 3 D*2(W-Х 3) D 3 Из исходных данных снимается с кривой D*2=f(V) 0 0 8, 6 1 1, 6 7, 2 8, 8 2 3, 2 5, 8 9, 0 3 4, 7 3, 0 7, 7 4 5, 8 2, 0 7, 8 107
Х 3 опт = 2, 0 при D 3 – мах Для 2 -х оставшихся участников W- Х 3 опт Или 5 -2 =3 следовательно, в соответствии с кривой Х*2 =f(V) Х 2 опт = 2, Х 1 опт =1 108
Раздел 5 МНОГОКРИТЕРИАЛЬНЫЕ ЗАДАЧИ ВЫБОРА И ПРИНЯТИЯ РЕШЕНИЙ 109
Термином «оптимизация» обозначают процесс или последовательность операций, позволяющих получить оптимальное решение. Хотя конечной целью оптимизации является отыскание наилучшего или «оптимального» решения, обычно приходится довольствоваться улучшением известных решений, а не доведением их до совершенства. Поэтому под оптимизацией понимают скорее стремление к совершенству, которое, возможно, и не будет дос-тигнуто. Задача принятия решения состоит в выборе среди множества возможных решений (их называют также вариантами, планами и т. п. ) такого решения, которое являлось бы в определенном смысле лучшим или, как 110 говорят, оптимальным.
Каждое возможное решение характеризуется определенной степенью достижения цели. В соответствии с этим у лица, принимающего решение, имеется свое представление о достоинствах и недостатках решений, на основании которого одно решение, предпочитается другому. Оптимальное решение - это решение, которое с точки зрения лица, принимающего решение, предпочтительнее других возможных решений. Таким образом, понятие оптимального решения связано с предпочтениями лица, принимающего решение. Эти пред-почтения на практике выражаются в различной форме, и их математическая формализация может составить сложную задачу, поскольку лицо, принимающее решение, как правило, не может ясно и четко сформулировать их. 111
Раздел 6 ТЕОРИЯ ИГР 112
Пример обоснования решений с использованием игровых методов Игровые методы обоснования решений применяются, когда не известна вероятность события (дурная неопределенность). Выводы – неточные и неоднозначные, однако приносят пользу при выборе решения, так как позволяют глубже разобраться в ситуации, оценить решение с разных точек зрения, взвесить преимущества и недостатки и принять решение, если не оптимальное, но хотя бы продуманное, то есть сделать произвол выбора менее грубым, а риск – по возможности минимальным. Теория игр – математическая теория конфликтных ситуаций. Ее цель - выработка рекомендаций по разумному поведению участников конфликта. Игрой называется математическая модель. От реального конфликта игра отличается тем, что ведется по определенным правилам. Игры – парные или множественные в зависимости от количества игроков. Несколько игроков могут объединяться в коалиции. Термин «игра» применяется для обозначения совокупности правил и соглашений, которыми руководствуются субъекты, поведение которых мы 113 изучаем.
Пример обоснования решений с использованием игровых методов ПРАВИЛА ИГР Правила выбора ходов Правила обмена информацие й Исход игры выигрыш проигрыш 114
Обоснование решений с использованием игровых методов ХОД игры - выбор одно из предусмотренных правилами игры действий. СТРАТЕГИЯ - совокупность правил, определяющих выбор варианта действий при каждом личном ходе в зависимости от сложившейся ситуации. Решение принимается в ходе игры или заранее. Тогда можно передать другому лицу или машине (игра в шахматы ЭВМ). ОПТИМАЛЬНАЯ СТРАТЕГИЯ - обеспечивает игроку наилучшее положение в игре. Если игры повторяются неоднократно – то максимальный средний выигрыш. Задача теории игр - выявление оптимальных стратегий Основное предположение – противник так же разумен, как игрок и делает все для того, чтобы добиться своей цели. Однако в реалии нужно предположить, что противник 115 глуп и этим воспользоваться.
Пример обоснования решений с использованием игровых методов Игры против природы Особое место в теории игр занимают игры против природы, которые ещё носят название выбора решений при неопределённости. Природа хотя и делает случайные ходы, но не является злонамеренным игроком, так как она не стремится сделать как можно хуже своему противнику и не обладает разумом. Поэтому и выбор решения в такой ситуации имеет свои особенности. Антагонистические игры Игру с двумя участниками и нулевой суммой (если сумма выигрышей игроков равна 0) называют антагонистической. Антагонистические игры, т. е. игры, в которых выигрыш одного участника равен проигрышу другого, в силу относительно простой постановки задачи 116 являются наиболее изученным разделом теории игр.
Пример обоснования решений с использованием игровых методов Матричные игры и понятие седловой точки. Рассмотрим более подробно антагонистические игры и их основные свойства. Удобным способом задания игры двух участников с нулевой суммой является платежная матрица. Отсюда, кстати, происходит еще одно их название — матричные игры. Каждый элемент платежной матрицы аig содержит числовое значение выигрыша игрока А (проигрыша игрока В), если первый применяет стратегию i, а второй — стратегию j. Термины выигрыш и проигрыш следует понимать в широком смысле, т. к. они могут принимать отрицательные значения и с житейской точки зрения означать противоположное. Нетривиальность задачи прежде всего заключается в том, что каждый из игроков делает свой выбор, не зная о выборе другого, что существенно осложняет процесс оптимизации 117 выбираемой стратегии.
Пример обоснования решений с использованием игровых методов Максиминный (минимаксный) критерий основан на консервативном осторожном поведении лица, принимающего решение, и сводится к выбору наилучшей альтернативы из наихудших. Если величина v(аi, sj) представляет получаемую прибыль, то в соответствии с максиминным критерием в качестве оптимального выбирается решение, обеспечивающее Если величина v(аi, sj) представляет потери, используется минимаксный критерий, который определяется следующим 118
Пример обоснования решений с использованием игровых методов В 1 В 2 Вg Вn А 1 а 12 а 1 g а 1 n А 2 а 21 а 22 а 2 g а 2 n А i аi 1 аi 2 аig аin Аm аm 1 аm 2 аmg аmn Классическим примером антагонистической игры является игра с двумя участниками. Строки платежной матрицы соответствуют стратегиям игрока А, столбцы — стратегиям игрока В, а ее элементы —. Результатам игрока А. Также из определения игры следует, что элементы данной матрицы, взятые с обратным знаком, соответствуют выигрышам второго игрока. 119
Пример обоснования решений об объеме инвестиций в очистку водоема с использованием игровых методов Антогонистическая парная игра Выбор решения об объеме инвестиций с применением теории игр показано на примере 2 -х предприятий, n=2 Са - финансовый ресурс 1 -го предприятия; Св - финансовый ресурс 2 -го предприятия. При этом Са = Ха + Уа Св = Хв + Ув, Ха , Хв - инвестиции в очистку водоема, вкладываемые соответственно 1 -м , 2 -м предприятием; Уа , Ув - инвестиции в развитие соответственно 1 -го и 2 -го предприятия для получения дополнительного дохода Да , Дв 120
Выбор решения о величине инвестиций в очистку водоема с использованием теории игр Чистота воды в водоеме Р = f (Ха + Хв), Если известно значение Хв, то решая задачу «Путешественники в одной лодке» можно определить величины Ха и Уа , при которых величина Р - максимальна при том, что С = соnst Если величина Хв неизвестна, то возникает задача, которая называется “Антогонистическая парная игра” Исходные данные: Р = соnst Необходимо определить величину инвестиций 1 -го предприятия при условии, что величина дополнительного дохода предприятия будет максимальной. 121
Выбор решения о величине инвестиций в очистку водоема с использованием теории игр Решение проводится в матричной форме где а –выигрыш (дополнительный доход) 1 -го предприятия Аi , Вg стратегия 1 го и 2 -го предприятия соответственно Стратегия – величина инвестиций а 21 - выигрыш 1 -го предприятия при условии, что оно выбирает стратегию А 2 , а 2 -ое предприятие выбирает стратегию В 1 m – количество стратегий 1 -го предприятия; n – количество стратегий 2 -го предприятия В 1 В 2 Вg Вn А 1 а 12 а 1 g а 1 n А 2 а 21 а 22 а 2 g а 2 n А i аi 1 аi 2 аig аin Аm аm 1 аm 2 аmg аmn 122
Выбор решения о величине инвестиций в очистку водоема с использованием теории игр Какую же стратегию выбрать 1 -му предприятию? Ответ, кажется, очевиден - ту, которая дает максимум выигрыша. Но ведь 1 -му предприятию неизвестна стратегия 2 -го предприятия. Тогда оптимальным решением будет такое - ту стратегию, которая дает максимальный выигрыш из минимальных. Это принцип осторожности – основной в теории игр – выбирать такую стратегию, чтобы при наихудшем поведении противника получить максимальный выигрыш. 123
Пример выбора решения о величине инвестиций в очистку водоема с использованием теории игр Пусть в матрице указаны доходы 1 предприятия при различных стратегиях предприятия 1(А) и 2 (В). Вопрос: какую стратегию принять 1 предприятию? В 5 В 1 В 2 В 3 В 4 Min аi А 1 3 5 6 3 4 3 А 2 2 4 7 5 3 2 А 3 4 6 6 3 А 4 5 5 8 5 6 5 Применение минимаксного критерия стратегия 1 -го предприятия позволяет принять 4 стратегию, при которой минимальный выигрыш будет максимальным. 124
Обоснования решений с использованием игровых методов 1). Максиминный критерий Этот критерий поведения рассчитан на достаточно пессимистичного человека; ему предлагается выбирать своё действие так, чтобы в наихудшем для себя случае получить максимум. Он рассмотрен выше. НАПИСАТЬ ЗНАЧЕНИЕ F 2) Критерий максимального оптимизма. Наиболее простой критерий, основывающийся на идее, что ЛПР, имея возможность в некоторой степени управлять ситуацией, рассчитывает, что произойдет такое развитие ситуации, которое для него является наиболее выгодным. В соответствии с критерием принимается альтернатива, соответствующая максимальному элементу матрицы выигрышей. F = max{aij} 3) Критерий максимального пессимизма НАПИСАТЬ ЗНАЧЕНИЕ F B ыбрать стратегию игрока А по критериям максимального оптимизама и пессимизма 125
Обоснования решений с использованием игровых методов 1) Максиминный критерий Вальда Этот критерий поведения рассчитан на достаточно пессимистичного человека; ему предлагается выбирать своё действие так, чтобы в наихудшем для себя случае получить максимум. F = max min{aij} 2) Критерий максимального оптимизма. Наиболее простой критерий, основывающийся на идее, что ЛПР, имея возможность в некоторой степени управлять ситуацией, рассчитывает, что произойдет такое развитие ситуации, которое для него является наиболее выгодным. В соответствии с критерием принимается альтернатива, соответствующая максимальному элементу матрицы выигрышей. F = max{aij} 3) Критерий максимального пессимизма 126
4) Критерий Сэвиджа Он основан на принципе минимизации потерь, связанных с тем, что игрок А принял не оптимальное решение. Для решения задачи составляется матрица потерь, называемой матрицей рисков, которая получается из матрицы выигрышей путем вычитания из максимального элемента каждого столбца всех остальных элементов. Далее, для каждой альтернативы определяются величины, равные максимальному риску (наибольшее число в каждой строке матрицы рисков) и выбирается ту альтернатива, для которой максимальный риск минимален. F = min max {rij} rij – величина риска для каждой альтернативы 127
В 1 В 2 В 3 В 4 В 5 Min аi А 1 3 5 6 3 4 3 А 2 2 4 7 5 3 2 А 3 4 6 6 2 6 4 А 4 5 5 8 5 6 5 В 1 В 2 В 3 В 4 В 5 Mах ri А 1 2 2 2 2 А 2 3 2 1 0 3 3 А 3 1 0 2 2 0 2 А 4 0 1 0 0 0 1 128
Обоснования решений с использованием игровых методов 5) Критерий Гурвица Это самый универсальный критерий, который позволяет управлять степенью «оптимизма - пессимизма» игрока А. Вводится т коэффициент доверия α, который иногда называется коэффициентом оптимизма. Этот коэффициент показывает вероятность наилучшего для А исхода. В этом случае вероятность наихудшего варианта (1 -α). Если вероятности благоприятной и Параметр α- показатель оптимизма. неблагоприятной ситуации для А равны, то α=0, 5. Если α= 0, критерий Гурвица становится консервативным, так как его применение эквивалентно применению обычного минимаксного критерия. Если α= 1, критерий Гурвица становится слишком оптимистичным, ибо рассчитывает на наилучшие из наилучших условий. 129
Для реализации критерия определяются наилучшие a+I = мах{а. Ij } и наихудшие a-ij= мin{а. Ij } значения каждой альтернативы по следующим формулам а) если А – матрица выигрышей, то Fопт = max Fi Fi = a. I+ *α + a. I- *(1 -α), где a. I+– наибольшие значения выигрыша игрока А при iтой альтернативе, a. I- наименьшие значения выигрыша игрока А при i-той альтернативе. б) если А – матрица потерь, то Fопт = min Fi, Fi = a. I- * α + a. I+ *(1 -α) 130
В 1 В 2 В 3 В 4 В 5 Min аi Mах аi А 1 3 5 6 3 4 3 6 А 2 2 4 7 5 3 2 7 А 3 4 6 6 2 6 4 6 А 4 5 5 8 5 6 5 8 F 1 = 0, 7*6 +(1 -0, 7)*3 = 4, 2 + 0, 9 = 5, 1 для стратегии A 1 F 2 = 0, 7*7 +(1 -0, 7)*2 = 4, 9 + 0, 6 = 5, 5 для стратегии А 2, F 3 = 0, 7*6 + (1 -0, 7)* 4= 4, 2 + 1, 2 = 5, 4 для стратегии А 3, F 4 = 0, 7*8 + (1 -0, 7)*5 = 5, 6 + 1, 5 =7, 1 для стратегии А 4. Fопт =7, 1 Игроку А необходимо принять 4 стратегию 131
6) Критерий Лапласа Он основан на предположении, что каждый вариант развития ситуации (состояния «природы» ) равновероятен. Поэтому для принятия решения необходимо рассчитать функцию полезности Fi для каждой альтернативы, равную среднеарифметическому показателю привлекательности по каждому «состоянию природы» : Fi =1/m *Σ aij Выбирается та альтернатива, для которой функция полезности максимальна. Fопт = max Fi 132
Использование теории игр по критерию Лапласа Для применения критерия Лапласа необходимо в подсчитать функцию полезности Fi для каждой альтернативы. Количество альтернатив m =4 , тогда 1/ m =0, 25. F 1 = 0, 25*(3 + 5 + 6 + 3 + 4) =5, 75 для стратегии А 1, F 2 = 0, 25*(2 + 4 + 7 + 5 + 3) =5, 25 для стратегии А 2, F 3 = 0, 25*(4 + 6 + 2 + 6) =6, 00 для 133 стратегии А 3,
Обоснования решений с использованием игровых методов Чтобы показать, как критерий Сэвиджа "смягчает" минимаксный (максиминный) критерий, рассмотрим следующую матрицу платежей. Пусть в матрице указаны потери игрока А. Применение минимаксного критерия приводит к тому, что решение а 2 с фиксированными потерями в 10000 долл. является предпочтительным. Игрок А должен выбрать вторую стратегию. s 1 s 2 мах а 1 1100 0 90 1100 0 а 2 1000 0 134
Обоснования решений с использованием игровых методов Однако можно выбрать и первую стратегию, так как в этом случае существует возможность потерять лишь 90 долл. , если реализуется состояние s 2, при потенциальном выигрыше 11 000 долл. Посмотрим, какой результат получится, если в минимаксном критерии вместо матрицы платежей v(аi, sj) использовать матрицу потерь r(аi, sj). Применение критерия Севиджа приводит к тому, что решение а 1 является предпочтительным. Нужно выбрать первую s 1 s 2 мах а 1 1000 0 1000 а 2 0 9910 135
Пример обоснования решений по теории игр Директор торговой фирмы решил открыть представительство в областном центре. У него имеются альтернативы: либо создавать собственный магазин в отдельном помещении, либо организовывать сотрудничество с местными торговыми центрами. Всего можно выделить 5 альтернатив решения (Аi). Успех торговой фирмы зависит от того, как сложится ситуация на рынке предоставляемых услуг. Эксперты выделяют 4 возможных варианта развития ситуации Прибыль фирмы для каждой альтернативы при каждой В 1 В 2 В 3 В 4 А 1 А 2 8 9 12 10 14 5 11 10 А 3 2 4 9 22 А 4 12 14 10 1 А 5 15 6 7 14 136
Пример обоснования решений по теории игр 1) Критерий минимаксный. Критерий основан на консервативном осторожном поведении лица, принимающего решение, и сводится к выбору наилучшей альтернативы из наихудших. . В соответствии с критерием принимается альтернатива, соответствующая максимальному из В 1 В 2 В 3 В 4 Min выиг -рыш А 1 8 12 14 5 5 А 2 9 10 11 10 9 А 3 2 4 9 22 2 А 4 12 14 10 1 1 А 5 15 6 7 14 6 137
Пример обоснования решений по теории игр 2) Критерий Сэвиджа. Он основан на принципе минимизации потерь, связанных с тем, что игрок А принял не оптимальное решение. Для решения задачи составляется матрица потерь, которая называется матрицей рисков , которая получается из матрицы выигрышей путем вычитания из максимального элемента каждого столбца всех остальных элементов. Далее, для каждой альтернативы определяем величины максимальных рисков (наибольшее число в В 1 В 2 В В 4 Mа х рис к 3 А 1 7 2 0 17 17 А 2 6 4 3 12 12 А 3 1 10 5 0 13 3 А 4 3 0 4 21 21 А 5 0 8 7 8 8 138
Пример обоснования решений по теории игр 3) Критерий Гурвица. Предположим, что для нашего примера игрок А достаточно уверен в положительном результате и оценивает вероятность максимального успеха в α=0, 7. Тогда: В 1 В 2 В 3 В 4 Функц ия полез ности А 1 8 12 14 5 11, 3 А 2 6 4 3 10, 4 А 3 2 4 9 1 2 2 2 А 4 12 14 10 1 10, 1 А 5 15 1 4 12, 3 6 7 16, 0 139
Пример обоснования решений по теории игр 4) Критерий Лапласа. Он основан на предположении, что каждый вариант развития ситуации (состояния «природы» ) равновероятен. Поэтому, для принятия решения, необходимо рассчитать функцию полезности для каждой альтернативы, равную среднеарифметическому показателей привлекательности по каждому «состоянию природы» : . В 1 В 2 В 3 В 4 Функц ия полез ности А 1 8 12 14 5 9, 75 А 2 6 4 3 12 10, 0 А 3 2 4 9 22 9, 25 А 4 12 14 10 Выбирается та альтернатива, для которой функция полезности максимальна. 1 А 5 15 14 10, 5 6 7 9, 25 140
Пример обоснования решений по теории игр 5) Критерий Вальда В 1 В 2 В 3 В 4 Данный критерий основывается на принципе максимального пессимизма, то есть на предположении, что скорее всего произойдет наиболее худший вариант развития ситуации и риск наихудшего варианта нужно свести к минимуму. Для применения критерия нужно для каждой альтернативы выбрать наихудший показатель привлекательности (наименьшее число в каждой строке матрицы выигрышей) и выбрать ту альтернативу, для которой этот показатель максимальный. Min выигрыш А 1 8 12 14 5 5 А 2 6 4 3 12 3 А 3 2 4 9 22 2 А 4 12 14 10 1 1 А 5 15 14 6 6 7 141
Пример обоснования решений по теории игр 6) Критерий максимального оптимизма. Наиболее простой критерий, основывающийся на идее, что ЛПР, имея возможность в некоторой степени управлять ситуацией, рассчитывает, что произойдет такое развитие ситуации, которое для него является наиболее выгодным. В соответствии с критерием принимается 3 альтернатива, соответствующая В 1 В 2 В 3 В 4 Mах выиг рыш А 1 8 12 14 5 14 А 2 9 10 11 А 3 2 4 9 22 22 А 4 12 14 10 1 14 А 5 15 6 7 14 15 142
Задача на обоснование решений по теории игр Нефтяная компания собирается построить в районе крайнего севера нефтяную вышку. Имеется 4 проекта A, B, C и D. Затраты на строительство (млн. руб. ) зависят от того, какие погодные условия будут в период строительства. Возможны 5 вариантов погоды. Выбрать оптимальный проект для строительства используя критерии Лапласа, Вальда, максимального оптимизма, Сэвиджа и Гурвица при α=0, 6. П 1 П 2 П 3 П 4 П 5 А 7 12 8 10 5 В 9 10 7 8 9 С 6 8 15 9 7 Д 9 10 8 11 7 143
Задача на обоснование решений по теории игр Нефтяная компания собирается построить в районе крайнего севера нефтяную вышку. Имеется 4 проекта A, B, C и D. Затраты на строительство (млн. руб. ) зависят от того, какие погодные условия будут в период строительства. Возможны 5 вариантов погоды. Выбрать оптимальный проект для строительства используя критерии Лапласа, Вальда, максимального оптимизма, Сэвиджа и Гурвица при α=0, 6. П 1 П 2 П 3 П 4 П 5 А 7 12 8 10 5 В 9 10 7 8 9 С 6 8 15 9 7 Д 9 10 8 11 7 144
УПРАВЛЕНИЕ ЗАПАСАМИ 145
ЭЛЕМЕНТЫ ТЕОРИИ МАССОВОГО ОБСЛУЖИВАНИЯ 146
При исследовании операций часто приходится сталкиваться с системами, предназначенными для многоразового использования при решении однотипных задач. Возникающие при этом процессы получили название процессов обслуживания, а системы – систем массового обслуживания (СМО). Главная особенность процессов массового обслуживания – случайность. При этом имеются две взаимодействующие стороны – обслуживаемая и обслуживающая. ПРИВЕДИТЕ ПРИМЕРЫ СИСТЕМ 147
Примерами процессов этого типа являются: 1) обслуживание покупателей в сфере розничной торговли; 2) транспортное обслуживание; 3) медицинское обслуживание населения; 4) ремонт аппаратуры, машин, механизмов, находящихся в эксплуатации; 5) обработка документов в системе управления; 6) туристическое обслуживание. Неотъемлемой частью системы массового обслуживания является узел обслуживания, через который осуществляется взаимодействие входного и выходного потоков заявок. В случае транспортного обслуживания каналом может считаться отдельная единица транспортного средства. Вид модели зависит от числа каналов n, 148
Типы систем массового обслуживания Параметры № п/п СМО Тип СМО n m 1 1 0 2 n > 1 3 4 5 6 1 0 Одноканальная, без очереди Многоканальная, без очереди 1 < Одноканальная, с m <∞ ограниченной очередью n > 1 < Многоканальная, с 1 m <∞ ограниченной очередью 1 n > m = Одноканальная, с ∞ неограниченной очередью m = Многоканальная, с 149
Некоторые обозначения, применяемые в теории массового обслуживания, для формул: n – число каналов в СМО; λ – интенсивность входящего потока заявок Пвх; v – интенсивность выходящего потока заявок Пвых; μ – интенсивность потока обслуживания Поб; ρ – показатель нагрузки системы; m – максимальное число мест в очереди, ограничивающее длину очереди заявок; i –количество источников заявок; pк – вероятность k-го состояния системы; pо – вероятность того, что все каналы свободны; pсист – вероятность принятия заявки в систему; pотк – вероятность отказа заявке в принятии ее в систему; роб – вероятность того, что заявка будет обслужена; А – абсолютная пропускная способность системы; Q – относительная пропускная способность системы; Nоч– среднее число заявок в очереди; Nоб – среднее число заявок под обслуживанием; Nсист – среднее число заявок в системе; Tоч – среднее время ожидания заявки в очереди; T об – среднее время обслуживания заявки, относящееся только к обслуженным заявкам; Tсис – среднее время пребывания заявки в системе; T ож – среднее время, ограничивающее ожидание заявки в очереди; к – среднее число занятых каналов. 150
Абсолютная пропускная способность СМО А – среднее число заявок, которое может обслужить система за единицу времени. Относительная пропускная способность СМО Q – отношение среднего числа заявок, обслуживаемых системой в единицу времени, к среднему числу поступающих за это время заявок. При решении задач массового обслуживания необходимо придерживаться нижеприведенной последовательности: 1) определение типа СМО по таблице 2) выбор формул в соответствии с типом СМО; 3) решение задачи; 4) формулирование выводов по задаче. 151
ФОРМУЛЫ Одноканальная СМО с неограниченным ожиданием (т. е. с очередью). Среднее время обслуживания заявки Tоб = 1/ μ Показатель нагрузки системы р =λ/ μ Среднее число клиентов, ожидающих обслуживания (среднее число заявок в очереди) Nоч = р2/1 – р Вероятность того, что контора свободна p 0, рассчитывается по следующей формуле: p 0 =1 – ρ. Среднее число заявок в системе рассчитывается по следующей формуле: Nсист = Nоч + Nоб = р/1 -р Среднее время пребывания заявки в очереди Точ = Nоч /λ = р/μ (1 -р) Среднее время пребывания заявки в системе под обслуживанием в ожидании обслуживания 152 = Точ + Тоб =1/μ (1 -р)
Задача 1. На сортировочную станцию прибывают составы с интенсивностью 0, 9 состава в час. Среднее время обслуживания одного состава 0, 7 часа. Определить показатели эффективности работы сортировочной станции: интенсивность потока обслуживаний μ , среднее число заявок в очереди Nоч , интенсивность нагрузки канала (трафик), вероятность, что канал свободен, вероятность, что канал занят, среднее число заявок в системе, среднее время пребывания заявки в очереди, среднее время пребывания заявки в системе 153
Если число мест в очереди m является конечным, то в СМО могут происходить отказы в предоставлении обслуживания некоторым заявкам. В связи с этим СМО указанного типа называются системами с отказами. В многоканальных СМО количество устройств обслуживания n (количество рабочих, кассиров, бригад, моек и т. п. ) больше одного. Обычно интенсивность потока заявок λ задана явно. Интенсивность потока обслуживания μ может задаваться в виде времени обслуживания tобс. В сервисе необходимо ввести либо параметр μ, либо tобс (только одно из двух). Вероятность того, что система свободна р= μ/μ +λ Все СМО делятся на СМО с отказами (параметр m не используется), СМО с ограниченной длиной очереди и СМО с неограниченной очередью. Параметр m (длина очереди) используется для последних двух СМО. При этом в СМО с неограниченной очередью можно указывать любое значение m. Например, m = 3. Тогда будут рассчитаны вероятности нахождения в очереди 154
Отклоняются от обслуживания те заявки, в момент прихода которых все места в очереди случайно оказались занятыми, или все каналы оказались занятыми. Считается, что заявка, получившая отказ в обслуживании, навсегда теряется для СМО. Таким образом, пропускная способность СМО этого типа всегда меньше 100 %. Если m не ограничено, что иногда условно записывают как m = ∞, то соответствующая СМО называется системой с ожиданием. В СМО данного типа пришедшая заявка при отсутствии возможности немедленного обслуживания ожидает обслуживания, какой бы длинной ни были очередь и продолжительность времени ожидания. 155
Одноканальная система с отказами Задача Интенсивность потока телефонных звонков в агентство по заказу железнодорожных билетов, имеющему один телефон, составляет 16 вызовов в час. Продолжительность оформления заказа на билет равна 2, 4 = минуты. Определить относительную и абсолютную пропускную способность этой СМО и вероятность отказа (занятости телефона). Решение Имеем систему массового обслуживания (СМО) с одним каналом (один телефонный номер) с отказами. Получаем параметры λ = = 16 / 60 = 4 /15 156
Одноканальная СМО с отказами Количество каналов n=1, Интенсивность входящего потока λ Интенсивность потока обслуживания µ = 1/tобс -продолжительность оформления заявок (обслуживания одной заявки) Вероятность того, что система свободна (заявок нет, относительная пропускная способность Q) р= μ/(μ +λ) Абсолютная пропускная способность А = Q*λ (среднее число заявок, обслуживаемых в единицу времени). Среднее время обслуживания заявки Тоб = 1/μ Среднее время простоя канала Тпр = 1/λ Среднее время пребывания заявки в системе Тз = 157
µ = 1/ 2, 4 = 5/12 (интенсивность потока обслуживания, 5/12 заявок за минуту). Определим характеристики работы данной СМО в предельном режиме. Вероятность того, что система свободна (телефонная линия свободна, заявок нет). р= μ/(μ +λ) р = 5/12/(5/12 +4/15) р = 0, 42/0, 69 = 0, 61 Вероятность того, что в системе заявка(телефонная линия занята). Она же – вероятность отказа в обслуживании. р1= λ /(μ +λ) р1=0, 39 Относительная пропускная способность Q = p = 0, 61. 158
Среднее время обслуживания заявки Тоб = 1/μ Тоб = 1/5/12 = 2, 4 мин. Среднее время простоя канала (телефонной линии) Тпр = 1/λ Тпр =1/4/15 = 15/4 = 3, 75 минуты. Среднее время пребывания заявки в системе Тз = 1 /(μ +λ) Тз =1/(5/12 + 4/15) =1, 46 минуты 159
Многоканальная система с неограниченной очередью. В этом случае n > 1, m =∞, Очередь не будет возрастать до бесконечности при условии ρ /n < 1, т. е. при n > ρ. Нагрузка системы р =λ/ μ Tоб = 1/ μ р =λ Tоб Задача Интенсивность потока пассажиров в кассах железнодорожного вокзала составляет λ = 1, 35 чел. в мин. Средняя продолжительность обслуживания кассиром одного пассажира Тоб = 2 мин. Определить минимальное количество кассиров n = 160 n , при котором очередь не будет расти до
Многоканальная СМО с отказами в обслуживании, Задача В типографию с тремя множительными аппаратами поступают заказы от соседних предприятий на размножение рабочей документации. Если все аппараты заняты, то вновь поступающий заказ не принимается. Среднее время работы с одним заказом составляет 2 часа. Интенсивность потока – 0, 5 заявки в час. Найти предельные вероятности состояний и показатели эффективности работы типографии. λ = 0, 5 заявки в час, n = 3 tобс = 2 час 161
Многоканальная СМО с отказами в обслуживании, Количество каналов n Интенсивность входящего потока λ Интенсивность потока обслуживания µ = 1/Тобс -продолжительность оформления заявок (обслуживания одной заявки) Приведенная интенсивность входящего потока р =λ/µ Относительная пропускная способность Q = 1 – р р =(∑рn/n!)-1. 162
ЗАДАНИЕ Определить характеристики обслуживания Интернет-провайдер в небольшом городе имеет 5 выделенных каналов обслуживания. В среднем на обслуживание одного клиента уходит 25 минут. В систему в среднем поступает 6 заказов в час. Если свободных каналов нет, следует отказ. 163
Задача На сортировочную станцию прибывают составы с интенсивностью λ = 0, 9 состава в час. Среднее время обслуживания одного состава Тср = 0, 7 часа. Необходимо определить какое решение принять для повышения эффективности работы сортировочной горки. Для решения задачи нужно определить показатели эффективности работы сортировочной станции: 1) интенсивность потока обслуживаний, 2) среднее число заявок в очереди (ожидающих обслуживания), 3) вероятность, что канал свободен, вероятность, что канал занят, 4) среднее число заявок в системе, 5) среднее время пребывания заявки в очереди, 6) среднее время пребывания заявки в системе. 164
3) Вероятность того, что станция свободна p 0, рассчитывается по следующей формуле: p 0 = 1 – 0, 63 = 0, 37 4) Среднее число заявок (составов) в системе (на сортировочной станции) рассчитывается по следующей формуле: Nсис = N об + Nоч Nсис = р + р2/1 - р = р/ 1 -р Nсис = 0, 63 + 1, 073 =1, 703 5) Среднее время пребывания заявки (состава) в очереди (в ожидании сортировки) Т оч = Nоч/ λ = р2/(1 - р)* λ = 1, 073/0, 9 = 1, 19 165
Исходные данные для решения задачи 1 Интенсивность прибытия составов λ = 0, 9 состава в час. Среднее время обслуживания одного состава Тоб = 0, 7 часа Решение: 1) Интенсивность потока обслуживаний К = 1/Тоб К =1/0, 7= =0, 429 Нагрузка системы р = λ/К или р =0, 9 / 0, 429 =0, 63 Р = Nоб 2) Среднее число составов, ожидающих обслуживания, 2 2 166
6) Среднее время пребывания заявки (состава) в системе (на сортировочной горке под обслуживанием в ожидании обслуживания) Тсист = Точ + Тоб Тсист = 1, 19 + 0, 7 = 1, 89 Вывод. Очевидно, что скорость обслуживания составов на сортировочной станции невысокая, так как время на ожидание обслуживания (1, 19 ч) превышает время на обслуживание (0, 7 ч). Для повышения эффективности работы сортировочной горки необходимо уменьшить время обслуживания одного состава или увеличить количество 167 сортировочных станций.
РЕШИТЬ ЗАДАЧУ Интенсивность потока пассажиров в кассах железнодорожного вокзала составляет λ = …. . чел. в мин. Средняя продолжительность обслуживания кассиром одного пассажира Тоб = …. мин. Какое управленческое решение необходимо принять руководству вокзала, чтобы улучшить обслуживание? 168
169


