МО_ИС-22-04-2010.ppt
- Количество слайдов: 164
ИСПЫТАНИЯ ПРОГРАММНОГО ОБЕСПЕЧЕНИЯ СРЕДСТВ ИЗМЕРЕНИЙ И ИНФОРМАЦИОННОИЗМЕРИТЕЛЬНЫХ СИСТЕМ ФГУ «Томский ЦСМ» 22 -23 апреля 2010 г.
Программное обеспечение средств измерений Функции ПО СИ сбор передача обработка ИВК «Спрут» . Анализатор расхода энергоресурсов. Режим обзора представление хранение ИВК «Спрут» . Генератор отчётов. Пример отчёта за сутки
ГОСТ Р 8. 654 -2009 ГСИ. Требования к программному обеспечению средств измерений. Основные положения Стандарт устанавливает требования к программному обеспечению средств измерений, обусловленные необходимостью оценки влияния ПО на метрологические характеристики СИ и защиты обрабатываемой, в том числе измерительной, информации от непреднамеренных изменений. Программное обеспечение средств измерений: Программы (совокупность программ), предназначенные для использования в средствах измерений и реализующие, в том числе, сбор, передачу, обработку, хранение и представление измерительной информации, а также программные модули и компоненты, необходимые для функционирования этих программ
Преимущества применения программного обеспечения средств измерений повышение точности, достоверности измерений управление сигнализацией оперативное информирование диспетчера о нештатной ситуации наглядность отображения измерительной информации осуществление мониторинга состояния оборудования
Требования, отличающие ПО СИ от программ, применяемых в других сферах: - использование ПО СИ не должно приводить к искажению измерительной информации; - ПО СИ должно быть защищено от преднамеренных и случайных изменений кода, информации и параметров; - ПО, используемое в индивидуальных СИ, должно находиться в соответствии с ПО, установленным при утверждении типа СИ; - продолжительность и усилия, необходимые для аттестации ПО, должны быть того же порядка, что и при испытаниях самого СИ.
ТЕРМИНЫ И ОПРЕДЕЛЕНИЯ: Программное разделение: Выделение в программном обеспечении метрологически значимой и незначимой частей Метрологически значимое программное обеспечение: Программы и программные модули, выполняющие функции сбора, передачи, обработки, хранения и представления измерительной информации, а также параметры, характеризующие тип средства измерений и внесенные в программное обеспечение Идентификация программного обеспечения: Проверка и подтверждение подлинности и целостности программного обеспечения, выраженное в символах (буквах, цифрах), однозначно связанных с программным обеспечением (например, контрольная сумма)
Целостность программного обеспечения и данных: Состояние программного обеспечения и данных, характеризующееся отсутствием изменений преднамеренного или случайного характера Интерфейс: Общая граница между двумя блоками (функциональными единицами), характеризующимися различными функциями, физическими соединениями и обменом сигналами Защищенный интерфейс: Интерфейс, через который может быть передан или изменен только определенный набор параметров и данных, и невозможно ввести в программное обеспечение данные, которые могут быть ошибочно приняты за результат измерения, а также команды, которые могут быть использованы для искажения отображаемых, обработанных и сохраненных результатов измерения или других данных, или для несанкционированного изменения настроек программного обеспечения
ФЗ-102 от 26. 07. 2008 г. «Об обеспечении единства измерений» Глава 3. ГОСУДАРСТВЕННОЕ РЕГУЛИРОВАНИЕ В ОБЛАСТИ ОБЕСПЕЧЕНИЯ ЕДИНСТВА ИЗМЕРЕНИЙ Статья 11. Формы государственного регулирования в области обеспечения единства измерений Государственное регулирование в области обеспечения единства измерений осуществляется в следующих формах: 1) утверждение типа стандартных образцов или типа средств измерений; 2) поверка средств измерений; 3) метрологическая экспертиза; 4) государственный метрологический надзор; 5) аттестация методик (методов) измерений; 6) аккредитация юридических лиц и индивидуальных предпринимателей на выполнение работ и (или) оказание услуг в области обеспечения единства измерений.
ФЗ-102 от 26. 07. 2008 г. «Об обеспечении единства измерений» Статья 9. Требования к средствам измерений 1. В сфере государственного регулирования обеспечения единства измерений к применению допускаются средства измерений утвержденного типа, прошедшие поверку в соответствии с положениями настоящего Федерального закона, а также обеспечивающие соблюдение установленных законодательством Российской Федерации об обеспечении единства измерений обязательных требований, включая обязательные метрологические требования к измерениям, обязательные метрологические и технические требования к средствам измерений, и установленных законодательством Российской Федерации о техническом регулировании обязательных требований. В состав обязательных требований к средствам измерений в необходимых случаях включаются также требования к их составным частям, программному обеспечению и условиям эксплуатации средств измерений. При применении средств измерений должны соблюдаться обязательные требования к условиям их эксплуатации. n 2. Конструкция средств измерений должна обеспечивать ограничение доступа к определенным частям средств измерений (включая программное обеспечение) в целях предотвращения несанкционированных настройки и вмешательства, которые могут привести к искажениям результатов измерений.
Аттестация программного обеспечения: Исследование программного обеспечения с целью определения его характеристик, свойств и идентификационных данных (признаков) и подтверждения соответствия требованиям стандарта ГОСТ Р 8. 654 Утвержденное программное обеспечение: Аттестованное программное обеспечение средств измерений, прошедших испытания с целью утверждения типа Подлинность [аутентичность] программного обеспечения и данных: Состояние программного обеспечения и данных, характеризующееся их идентичностью приписанным признакам (характеристикам)
ТЕХНИЧЕСКОЕ РЕГУЛИРОВАНИЕ – правовое регулирование отношений в области установления, применения и исполнения обязательных требований к продукции или к связанным с ними процессам проектирования (включая изыскания), производства, строительства, монтажа, наладки, эксплуатации, хранения, перевозки, реализации и утилизации, а также в области установления и применения на добровольной основе требований к продукции, процессам проектирования (включая изыскания), производства, строительства, монтажа, наладки, эксплуатации, хранения, перевозки, реализации и утилизации, выполнению работ или оказанию услуг и правовое регулирование отношений в области оценки соответствия
ТЕХНИЧЕСКОЕ РЕГУЛИРОВАНИЕ
Формы оценки соответствия Обязательная сертификация Обязательное подтверждение соответствия Подтверждение соответствия Добровольное подтверждение соответствия Декларирование соответствия Добровольная сертификация
ТЕХНИЧЕСКИЕ РЕГЛАМЕНТЫ С УЧЕТОМ СТЕПЕНИ РИСКА ПРИЧИНЕНИЯ ВРЕДА УСТАНАВЛИВАЮТ МИНИМАЛЬНО НЕОБХОДИМЫЕ ТРЕБОВАНИЯ, ОБЕСПЕЧИВАЮЩИЕ: безопасность излучений; биологическую безопасность; взрывобезопасность; механическую безопасность; пожарную безопасность; промышленную безопасность; термическую безопасность; химическую безопасность; электрическую безопасность; ядерную и радиационную безопасность; электромагнитную совместимость единство измерений; в части обеспечения безопасности работы приборов и оборудования;
Двухуровневая модель задания требований к объекту Интересы государства Технический регламент Обобщенные (существенные) требования к объекту технического регулирования Доказательная база соответствия требованиям технического регламента Интересы бизнессообщества Технический регламент Национальные стандарты Конкретные требования к объекту технического регулирования
В технических регламентах, устанавливающих требования к объекту, для обеспечения единства и требуемой точности измерений устанавливают следующие метрологические требования и нормы: n n n Измеряемые и контролируемые параметры и характеристики соответствующих объектов Наименования и диапазоны изменений значений измеряемых или контролируемых величин Требования к погрешности измерений измеряемых или контролируемых параметров или характеристик объекта Требования к выбору средств измерений (контроля) Требования к содержанию методик выполнения измерений Требования к компетентности персонала, осуществляющего эту деятельность.
ТЕХНИЧЕСКИЙ РЕГЛАМЕНТ «О требованиях к средствам измерений показателей нефти и продуктов ее переработки» (проект, 1 редакция) n Требования к программным и техническим средствам измерительных систем, технических систем и систем с измерительными функциями
ТЕХНИЧЕСКИЙ РЕГЛАМЕНТ (проект) «О требованиях к программно-аппаратным средствам учёта потребления энергетических ресурсов в жилищнокоммунальном хозяйстве» n n n Настоящий Федеральный закон регулирует отношения, возникающие при: проведении оценки соответствия программно-аппаратных средств учета потребления энергоресурсов в жилищно-коммунальном хозяйстве обязательным требованиям, установленным настоящим Федеральным законом; применении и исполнении обязательных требований к программно-аппаратным средствам учета потребления энергоресурсов в процессе использования этих средств по предусмотренному в их технической документации назначению. Субъектами правоотношений настоящего Федерального закона являются производители и продавцы программно-аппаратных средств учёта потребления энергетических ресурсов в жилищно-коммунальном хозяйстве, лица, выполняющие функции иностранных производителей, лица, осуществляющие эксплуатацию указанных программно-аппаратных средств, приобретатели энергетических ресурсов, контрольно-надзорные органы и испытательные лаборатории. Требования настоящего Федерального закона распространяются на входящие в состав программно-аппаратных средств учёта потребления энергоресурсов компьютеры, программные средства обработки информации, программные средства для автоматизированных рабочих мест, базы данных и информационно-справочные системы применяемые в составе программно-технических комплексов для автоматизации обработки информации в непромышленной сфере для учета потребления следующих видов энергоресурсов: ¨ электрической энергии; ¨ тепловой энергии; ¨ газа, включая бытовой газ в баллонах; ¨ твёрдого топлива; ¨ горячей воды, используемой не для нагрева; ¨ холодной воды.
http: //www. minprom. gov. ru/ http: //www. gost. ru/
МЕТРОЛОГИЧЕСКОЕ ОБЕСПЕЧЕНИЕ СРЕДСТВ ИЗМЕРЕНИЙ И ИНФОРМАЦИОННОИЗМЕРИТЕЛЬНЫХ СИСТЕМ
ИЗМЕРИТЕЛЬНЫЕ СИСТЕМЫ
Измерительная система - совокупность измерительных, связующих, вычислительных компонентов, образующих измерительные каналы, и вспомогательных устройств (компонентов измерительной системы), функционирующих как единое целое, предназначенная для: n получения информации о состоянии объекта с помощью измерительных преобразований в общем случае множества изменяющихся во времени и распределенных в пространстве величин, характеризующих это состояние; n машинной обработки результатов измерений; n регистрации и индикации результатов измерений и результатов их машинной обработки; n преобразования этих данных в выходные сигналы системы в разных целях. ГОСТ Р 8. 596 -2002 ГСИ. Метрологическое обеспечение измерительных систем. Основные положения
ОСОБЕННОСТИ СОВРЕМЕННЫХ ИЗМЕРИТЕЛЬНЫХ СИСТЕМ: n n n распределенная многоуровневая структура; модульность; “интеллектуальность”; принцип проектной компоновки; максимальное использование стандартных технологий, интерфейсов и протоколов; наглядность представления и простота доступа к информации.
ФУНКЦИИ ИЗМЕРИТЕЛЬНЫХ СИСТЕМ • измерения физических величин • обработка, вычисления косвенно измеряемых параметров • архивирование данных • диспетчеризация результатов измерений • визуализация значений учетных параметров • формирование отчетных документов
Виды измерительных систем Информационно-измерительные системы Измерительновычислительные комплексы ИС ИС в составе АСУТП, АСУП ИС в составе систем учета энергоресурсов (АИСКУЭ, СИКН)
ИЗМЕРИТЕЛЬНО-ВЫЧИСЛИТЕЛЬНЫЙ КОМПЛЕКС n Функционально-объединенная совокупность средств измерений, ЭВМ и вспомогательных устройств, предназначенная для выполнения в составе измерительной системы конкретной измерительной задачи
ГОСТ 26. 203 -81 ЕССП. Комплексы измерительно-вычислительные. Признаки классификации. Общие требования Классификация. Общие требования Признаки ИВК: n Наличие комплекса нормированных МХ n Блочно-модульная структура, измерительные и вычислительные компоненты которой являются серийно выпускаемыми СИ и автоматизации (СИА) n Наличие процессора или ЭВМ n Программное управление СИА ГОСТ 4. 199 -85 СПКП. Системы информационные электроизмерительные. Комплексы измерительновычислительные. Номенклатура показателей
Система измерений количества и параметров нефти – система измерений, представляющая собой совокупность средств измерений, системы обработки информации, технологического оборудования и трубопроводной арматуры, функционирующих как единое целое, основанная на методе динамических измерений массы брутто сырой нефти и предназначенная для: q получения информации q индикации и об измеряемых регистрации параметрах сырой результатов измерений нефти; и их обработки. q автоматической и ручной обработки результатов измерений;
ИВК в составе СИКН
Информационноизмерительная система Функции: 1) измерение и обработка значений физических величин: 2) непрерывный автоматический контроль, визуализация технологических параметров, индикация аварийных значений и выдача предупредительной сигнализации; 3) хранение (накопление) архивов о значениях параметров ТП в БД; 4) формирование журналов аварийных событий; 5) обеспечение защиты оборудования, программного обеспечения и данных от несанкционированного доступа; 6) отображение состояние оборудования; 7) конфигурирование и настройка параметров; 8) ведение системы единого времени; 9) передача данных в ЛВС предприятия. Особенности ИИС n n n одновременное измерение многих параметров объекта (многоканальность) передача измерительной информации в единый центр; представление полученных данных (в том числе их унификация) в виде, наиболее удобном для пользователя.
Информационно-измерительная система рудно-термической печи ОБЛАСТИ ПРИМЕНЕНИЯ n n Объекты металлургической промышленности Нефтехимическое производство
АИСКУЭ – автоматизированная измерительная система коммерческого учета электроэнергии Функции: n измерение приращений и средних значений активной и реактивной электрической энергии на заданных интервалах времени (1, 3, 30, 60 минут); n ведение системы обеспечения единого времени; n периодический и (или) по запросу автоматический сбор привязанных к единому календарному времени результатов измерений приращений электроэнергии и средних значений электрической мощности; n хранение результатов измерений, информации о состоянии объектов и средств измерений в БД; n обеспечение безопасности хранения данных и программного обеспечения в соответствии с ГОСТ Р 52069. 0 -2003; n обеспечение ежесуточного резервирования баз данных на внешних носителях информации; n разграничение доступа к базам данных для разных групп пользователей; n формирование отчетных документов; nобеспечение защиты оборудования, ПО и данных от несанкционированного доступа на физическом и программном уровне.
ГОСТ Р 8. 596 -2002 ГСИ. Метрологическое обеспечение измерительных систем. Основные положения Стандарт распространяется на ИС: n выпускаемые изготовителем как законченные укомплектованные (за исключением, в ряде случаев, линий связи и электронных вычислительных машин) изделия, для установки которых на месте эксплуатации достаточно указаний, приведенных в эксплуатационной документации, в которой нормированы метрологические характеристики измерительных каналов системы (далее — ИС-1) ОСОБЕННОСТИ: q Типовая ИС (без «привязки к объекту» ) q Приемка ИС и первичная поверка должны проводиться у производителя q Номенклатура и количество ИК могут различаться для различных модификаций ИС – - в состав ИС-1 могут быть включены все виды ИК в максимальном количестве - некоторые виды ИК могут отсутствовать - в процессе эксплуатации количество ИК может изменяться в пределах, регламентированных описанием типа ИС.
ГОСТ Р 8. 596 -2002 ГСИ. Метрологическое обеспечение измерительных систем. Основные положения Стандарт распространяется на ИС: n проектируемые для конкретных объектов (группы типовых объектов) из компонентов ИС, выпускаемых, как правило, различными изготовителями, и принимаемые как законченные изделия непосредственно на объекте эксплуатации. Установку таких ИС на месте эксплуатации осуществляют в соответствии с проектной документацией на ИС и эксплуатационной документацией на ее компоненты, в которой нормированы метрологические характеристики, соответственно, измерительных каналов ИС и ее компонентов (далее — ИС-2) ОСОБЕННОСТИ: q Проектируется «для конкретных объектов» . ИС представляет собой единичный экземпляр средств измерений. q Внесение изменений в Описание типа не предусмотрено. q Приемка ИС и первичная поверка проводятся после монтажа ИС на объекте. q Номенклатура и количество ИК регламентированы описанием типа ИС. В процессе эксплуатации за счет исключения части ИК из сфер государственного метрологического контроля и надзора количество ИК может лишь уменьшаться.
Перечисленные виды ИС могут быть использованы как автономно, так и в составе более сложных структур (информационно-измерительных систем; систем контроля, диагностирования, распознавания образов, испытательного оборудования, а также автоматических систем управления технологическими процессами). В сложных структурах измерительная система может быть выделена на функциональном уровне
АВТОМАТИЗИРОВАННЫЕ СИСТЕМЫ УПРАВЛЕНИЯ ТЕХНОЛОГИЧЕСКИМИ ПРОЦЕССАМИ
Автоматизированная система, состоящая из персонала и комплекса средств автоматизации его деятельности, реализующая информационную технологию выполнения установленных функций. ГОСТ 34. 003 -90 Информационная технология. Комплекс стандартов на автоматизированные системы Автоматизированные системы. Термины и определения
Виды автоматизированных систем АС По видам деятельности По видам управляемого объекта АСУТП САПР АСУП АСНИ
Автоматическая система управления дозированием шихтовых материалов Условные обозначения: ПИД - преобразователь измерительный дистанционный; ИВК - нейтронный измерительно-вычислительный комплекс ВНС-7652 М для контроля влажности и плотности шихтовых материалов; БКИ - блок клавиатуры и индикации
САПР CAD-системы (сomputer-aided design) - системы автоматизированного проектирования (Auto. CAD, T-Flex, Autodesk Mechanical Desktop) Возможности: - моделирование трехмерных конструкций; - оформление чертежей; - подготовка конструкторской документации.
АСНИ – АВТОМАТИЗИРОВАННАЯ СИСТЕМА НАУЧНЫХ ИССЛЕДОВАНИЙ HF Датчик Программно-технический комплекс, предназначенный для решения одной или нескольких задач научной деятельности с использованием средств вычислительной техники. Главная область применения АСНИ лабораторный эксперимент АСНИ отличается от других типов автоматизированных систем ("АИС", "АСУП", "АСУТП" и т. п. ) характером информации на выходе системы. Это обработанные и/или обобщенные данные, полученные в ходе исследовательской деятельности человека, а также создаваемые на основе этих данных математические модели исследуемых объектов, явлений или процессов.
Автоматизированная система управления технологическими процессами (АСУТП) - совокупность аппаратно-программных средств, осуществляющих контроль и управление производственными и технологическими процессами; поддерживающих обратную связь и активно воздействующих на ход процесса при отклонении его от заданных параметров; обеспечивающих регулирование и оптимизацию управляемого процесса. Основные функции АСУТП : Ø контроль и управление Ø обмен данными Ø обработку, накопление и хранение информации Ø формирование сигналов тревог Ø построение графиков и отчетов. Одними из главных преимуществ АСУТП является снижение человеческого фактора на управляемый процесс, сокращение персонала, минимизация расходов сырья, повышение качества исходного продукта, и в конечном итоге - существенное повышение эффективности производства.
SCADA-системы (Supervisory Control and Data Acquisition) системы сбора данных и оперативного диспетчерского управления (Factory Link, Genesis Win. CC, Real. Flex, Trace Mode) Возможности: – – сбор информации о ТП; обеспечение интерфейса оператора; сохранение и визуализация истории процесса; автоматическое управление технологическим объектом по типовым алгоритмам.
ERP-системы (Enterprise Resource Planning) — управление ресурсами предприятия MES (Manufacturing Execution Systems) – производственные исполнительные системы АСУТП – автоматизированные системы управления технологическим процессом
MES - ДЛЯ КОМПЛЕКСНОГО УЧЕТА СЫРЬЯ И МАТЕРИАЛЬНЫХ ПОТОКОВ
СХЕМА РЕАЛИЗАЦИИ КОМПЛЕКСНОГО УЧЕТА СЫРЬЯ И МАТЕРИАЛЬНЫХ ПОТОКОВ
CALS (Continuous Acquisition and Life cycle Support) – технология непрерывного сбора данных и информационной поддержки жизненного цикла изделий Возможности: - автоматизация информационных и производственных процессов; - моделирование; - управление проектами; - сопровождение изделия на всех этапах его жизненного цикла.
ИЗМЕРИТЕЛЬНЫЙ КАНАЛ
ИЗМЕРИТЕЛЬНЫЙ КАНАЛ - конструктивно или функционально выделяемая часть ИС, выполняющая законченную функцию от восприятия измеряемой величины до получения результата ее измерений, выражаемого числом или соответствующим ему кодом, или до получения аналогового сигнала, один из параметров которого — функция измеряемой величины.
Измерительный компонент измерительной системы n Средство измерений, для которого отдельно нормированы метрологические характеристики, например измерительный прибор, измерительный преобразователь (первичный, включая устройства для передачи воздействия измеряемой величины на чувствительный элемент; промежуточный, в том числе модуль аналогового ввода-вывода, измерительный коммутатор, искробезопасный барьер, аналоговый фильтр и т. п. ), мера.
Комплексный компонент измерительной системы Конструктивно объединенная или территориально локализованная совокупность компонентов, составляющая часть ИС, завершающая, как правило, измерительные преобразования, вычислительные и логические операции, предусмотренные процессом измерений и алгоритмами обработки результатов измерений в иных целях, а также выработки выходных сигналов системы.
ГОСТ 4. 199 -85 Система показателей качества продукции. Системы информационные электроизмерительные. Комплексы измерительно-вычислительные. Номенклатура показателей n Измерительный тракт (ИК одного типа) – совокупность ИК, предназначенных для измерения определенной величины и имеющих одинаковые метрологические характеристики
Формирование групп измерительных каналов (измерительных трактов по ГОСТ 4. 199) ИС ПОСТРОЕНИЕ СТРУКТУРЫ ИС ФОРМИРОВАНИЕ ГРУПП ИК По виду/ диапазону измеряемой ФВ По типу электрических сигналов По составу компонентов
ПРИМЕР 1
ПРИМЕР 2 № групп ы ИК Наименование измеряемой ФВ Диапазон измерений, ед. измерения Тип/диапазон входного электрического сигнала (по ГОСТ 26. 011, ГОСТ Р 8. 625) Пределы допускаемой погрешности ИК Тип тепловычислителя в составе ИК – СПТ 943 1 Температура (минус 50 - +175 ) С Электрическое сопротивление с термопреобразователя сопротивлений Pt 100, 100 П (Pt’ 100), 100 М (Cu’ 100) Δ = ± 0, 1 ˚С 2 Давление (0 -1, 6) МПа (0 - 16 кгс/см 2) Сила электрического тока 4 -20 м. А γ = ± 0, 1 % 3 Объем (0 - 99 999) м 3 Импульсный периодический сигнал с частотой следования импульсов (0 -18) Гц или (0 -1000) Гц δ = ± 0, 01% 4 Масса (0 - 99 999) т Вычисляемая величина (результат косвенного измерения) δ = ± 0, 02%
Метрологическое обеспечение - установление и применение научных и организационных основ, технических средств, правил и норм, необходимых для достижения единства и требуемой точности измерений. Объектом МО являются все стадии жизненного цикла средств измерений
Жизненный цикл ИС Техническое задание Проектирование и разработка Изготовление Ввод в действие Ремонт и модернизация Эксплуатация Утверждение типа средства измерений Испытания для целей утверждения типа ГОСТ Р 15. 201 -2000 СРПП. Продукция производственно-технического назначения. Порядок разработки и постановки продукции на производство
СОПРОВОЖДЕНИЕ ВВОД В ДЕЙСТВИЕ Стадии и этапы создания АС РАБОЧАЯ ДОКУМЕНТАЦИЯ ТЕХНИЧЕСКИЙ ПРОЕКТ ТЕХНИЧЕСКОЕ ЗАДАНИЕ РАЗРАБОТКА КОНЦЕПЦИИ АС ФОРМИРОВАНИЕ ТРЕБОВАНИЙ К АС ГОСТ 34. 601 -90 Информационная технология. Комплекс стандартов на автоматизированные системы. Автоматизированные системы. Стадии создания
ГОСТ Р 8. 596 -2002 Метрологическое обеспечение измерительных систем. Основные положения ПОВЕРКА И КАЛИБРОВКА ИС МЕТРОЛОГИЧЕСКАЯ ЭКСПЕРТИЗА ДОКУМЕНТАЦИИ УТВЕРЖДЕНИЕ ТИПА СИ НОРМИРОВАНИЕ МХ ИС АТТЕСТАЦИЯ МВИ МО ИС МЕТРОЛОГИЧЕСКИЙ КОНТРОЛЬ
№ Наименование этапа ЖЦ ИС 1 Деятельность по МО 3 Разработка технического Формирование требований к МО ИС. задания Метрологическая экспертиза ТЗ Проектирование и разработка Нормирование, расчет метрологических характеристик ИК ИС. Разработка технических условий, технического проекта. Экспертиза технических условий, методики поверки, ПМИ, МВИ Изготовление МО производства 4 5 Ввод в действие МО испытаний Испытания для целей утверждения типа СИ 6 7 Утверждение типа СИ Эксплуатация Поверка и калибровка ИС Метрологический надзор Ремонт и модернизация Испытания на соответствие утвержденному типу Поверка и калибровка ИС Метрологический надзор 2 8
ЖИЗНЕННЫЙ ЦИКЛ ИС И АСУТП
РАЗРАБОТКА ТЕХНИЧЕСКОГО ЗАДАНИЯ Формирование требований к МО ИС. Метрологическая экспертиза ТЗ
ТЗ. Требования к метрологическому обеспечению ИС n n Обеспечение достаточности исходных требований: для рационального нормирования метрологических характеристик измерительных каналов ИС на этапе их разработки (проектирования); для построения эффективного способа метрологического обеспечения ИС на последующих этапах ее жизненного цикла К исходным требованиям относят: n назначение ИС и сведения об ее использовании в сфере (или вне сферы) государственного метрологического контроля и надзора; n сведения об измеряемых величинах и их характеристиках (диапазоне значений, возможных изменениях в процессе измерений и т. п. ); n перечни измерительных каналов и нормы на их погрешности; n условия измерений (с учетом протяженности измерительных каналов ИС); n условия метрологического обслуживания (например, отсутствие доступа к входу ИС) и т. п. ГОСТ 8. 596 -2002 ГСИ. Метрологическое обеспечение измерительных систем. Основные положения
ТЗ. Требования к метрологическому обеспечению АС: 1) предварительный перечень измерительных каналов; 2) требования к точности измерений параметров и (или) к метрологическим характеристикам измерительных каналов; 3) требования к метрологической совместимости технических средств системы; 4) перечень управляющих и вычислительных каналов системы, для которых необходимо оценивать точностные характеристики; 5) требования к метрологическому обеспечению технических и программных средств, входящих в состав измерительных каналов системы, средств, встроенного контроля, метрологической пригодности измерительных каналов и средств измерений, используемых при наладке и испытаниях системы 6) сфера применения ИК ГОСТ 34. 602 -89 Информационная технология. Комплекс стандартов на автоматизированные системы. Техническое задание на создание автоматизированной системы
ПРОЕКТИРОВАНИЕ И РАЗРАБОТКА Нормирование, расчет метрологических характеристик ИК ИС. Разработка технических условий, технического проекта. Экспертиза технических условий, методики поверки, ПМИ, МВИ
РАЗРАБОТКА ДОКУМЕНТАЦИИ Общетехнические системы Задачи (функции) Объекты стандартизации Установление требований к: ЕСКД конструкторской документации Требования к КД ЕСТД технологической документации Требования к ТД ЕСПД программной документации Требования к ПД ГСИ метрологическому обеспечению Методы и средства измерений ССБТ производственным процессам Опасные и вредные и оборудованию по ТБ производственные факторы. Методы оценки безопасности ССНТ надежности техники Общетехнические положения надежности
Перечень обязательных документов определяет Заказчик n ГОСТ 2. ххх Единая система конструкторской документации” n. ГОСТ 3. хххх Единая система технологической документации” n ГОСТ 19. ххх Единая система программной документации
Документация на АС
Проектирование СИКН "Рекомендации по определению массы нефти при учетных операциях с применением систем измерений количества и показателей качества нефти" (утверждены приказом Минпромэнерго России от 1 марта 2005 г. № 69). n n "Состав СИКН, технические и метрологические характеристики СИ и оборудования, входящих в состав СИКН, должны соответствовать проекту, разработанному на основании требований: технического задания на проектирование, МИ 2825 (ГСИ. Рекомендация. Системы измерений количества и показателей качества нефти. Метрологические и технические требования к проектированию), ГОСТ Р 8. 595, настоящих Рекомендаций, других нормативных документов (в том числе вновь принятых после ввода в действие настоящих Рекомендаций), требования которых распространяются на СИКН в процессе их проектирования. Программный комплекс, применяемый в АРМ-оператора, аттестуют в соответствии с требованиями МИ 2174 и МИ 2676 с оформлением свидетельства о метрологической аттестации. Проект должен иметь положительное заключение о метрологической экспертизе соответствующего ГНМЦ Федерального агентства по техническому регулированию и метрологии, аккредитованного на право выполнения указанной работы.
ТЕХНИЧЕСКИЕ УСЛОВИЯ ГОСТ 2. 114 - 95 “Единая система конструкторской документации. Технические условия” ГОСТ 2. 114 устанавливает общие правила построения, изложения, оформления, согласования и утверждения ТУ на продукцию. ТУ являются неотъемлемой частью комплекта конструкторской или другой технической документации на продукцию, а при отсутствии документации должны содержать полный комплекс требований к продукции, ее изготовлению, контролю и приемке. Технические условия являются техническим документом, который разрабатывается по решению разработчика (изготовителя) или по требованию заказчика (потребителя) продукции.
ТЕХНИЧЕСКИЕ УСЛОВИЯ – «малый технический регламент» Технические условия – документы, в которых конкретный изготовитель добровольно устанавливает требования к качеству и безопасности конкретной продукции, необходимые и достаточные для ее идентификации, контроля качества и безопасности при изготовлении, хранении и транспортировании Общее число действующих ТУ на народохозяйственную продукцию ориентировочно составляет около 600 тыс. документов 80 -85 % пищевых продуктов выпускается ТУ 70 -75 % продукции машиностроения выпускается по ТУ
ТЕХНИЧЕСКИЕ УСЛОВИЯ Руководство ИСО/МЭК 2: 2004 Стандартизация и смежные виды деятельности. Общий словарь Технические условия (technical specifications) — документ, устанавливающий технические требования, которым должны удовлетворять продукция, работа (процесс) или услуга Английский термин “technical specification” (французский термин “specification technique”) может обозначать определенный вид стандарта, что обычно соответствует русским терминам “стандарт общих технических условий” (“стандарт технических условий”) или “стандарт общих технических требований” (“стандарт технических требований”), часть стандарта (раздел “технические требования” стандарта) или “технические условия” Технические условия могут быть трансформированы в стандарты организаций (по аналогии с фирменными стандартами, действующими в зарубежных странах )
Структура технических условий (ГОСТ 2. 114) n n n n Вводная часть Технические требования Требования безопасности Требования охраны окружающей среды Правила приемки Методы контроля Транспортирование и хранение Указания по эксплуатации Гарантии изготовителя
Особенности содержания ТУ на средства измерений / измерительные системы: n n n состав и структура измерительных каналов (ИК) метрологические характеристики ИК методика расчета погрешности ИК описание программного обеспечения (с учетом последующей аттестации или сертификации ПО) описание реализации системы обеспечения единого времени Для применения средств измерений (при косвенных измерениях либо при наличии множества влияющих факторов) необходима аттестация Методики выполнения измерений
НОРМИРОВАНИЕ МЕТРОЛОГИЧЕСКИХ ХАРАКТЕРИСТИК ИК ИС
Нормирование метрологических характеристик ИС Номенклатуру метрологических характеристик (МХ) ИС и способ их регламентации определяют в соответствии с: ГОСТ 8. 009 -84 “ГСИ. Нормируемые метрологические характеристики средств измерений” МИ 2439 -97 “ГСИ. Метрологические характеристики измерительных систем. Номенклатура. Принципы регламентации, определения, контроля”
Нормирование метрологических характеристик СИ ØГОСТ 8. 009 -84 “ГСИ. Нормируемые метрологические характеристики средств измерений” устанавливает Ø номенклатуру метрологических характеристик (МХ), Ø правила выбора комплексов нормируемых метрологических характеристик (НМХ) для конкретных типов средств измерений (СИ) и Ø способы нормирования МХ в нормативно-технических документах на средства измерений (технических требованиях на СИ; в технических условиях на СИ; в технических заданиях на разработку СИ).
Группы НМХ 1. 2. 3. 4. 5. 6. Характеристики, предназначенные для определения результатов измерений; Характеристики погрешностей СИ; Характеристики чувствительности средств измерений к влияющим величинам; Динамические характеристики СИ; Характеристики СИ, отражающие их способность влиять на инструментальную составляющую погрешности измерений вследствие взаимодействия СИ с любым из подключенных к их входу или выходу компонентов; Неинформативные параметры выходного сигнала СИ.
1 - Характеристики, предназначенные для определения результатов измерений n n Функция преобразования измерительного преобразователя, а также измерительного прибора с неименованной шкалой или со шкалой, отградуированной в единицах, отличных от единиц входной величины – f(x); Значение однозначной или значение многозначной меры – Y; Цена деления шкалы измерительного прибора или многозначной меры; Вид выходного кода, число разрядов кода, цена единицы наименьшего разряда кода СИ, предназначенных для выдачи результатов в цифровом коде.
2 - Характеристики погрешностей СИ Характеристики систематической составляющей погрешности СИ: - значение систематической составляющей, математическое ожидание и среднее квадратическое отклонение систематической составляющей погрешности; n Характеристики случайной составляющей погрешности СИ: - среднее квадратическое отклонение случайной составляющей погрешности, нормализованная автокорреляционная функция или функция спектральной плотности случайной составляющей погрешности; n Характеристика случайной составляющей погрешности от гистерезиса – вариация Н выходного сигнала (показания) СИ; n Функция или плотность распределения вероятностей систематической и случайной составляющих погрешности; n Характеристика погрешности СИ в интервале влияющей величины; n Математические определения статистических характеристик (оценок вероятностных характеристик) погрешности СИ. n
3 - Характеристики чувствительности средств измерений к влияющим величинам n n Функции влияния; Изменение значений МХ СИ, вызванные изменениями влияющих величин в установленных пределах.
4 - Динамические характеристики СИ Полная динамическая характеристика аналоговых СИ: - переходная характеристика; - импульсная переходная характеристика; - амплитудно-фазовая характеристика; - амплитудно-частотная характеристика для минимальнофазовых СИ; - совокупность амплитудно-частотной и фазово-частотной характеристик; - передаточная функция. n Частные динамические характеристики аналоговых СИ: - время реакции; - коэффициент демпфирования; - постоянная времени Т; - значение амплитудно-частотной характеристики на резонансной частоте; - значение резонансной собственной круговой частоты. n
4 - Динамические характеристики СИ Частные динамические характеристики АЦП и ЦИП, время реакции которых не превышает интервала времени между двумя измерениями, соответствующего максимальной частоте (скорости) измерений, а также ЦАП: - время реакции - погрешность датирования отсчета; - максимальная частота (скорость) измерений. n Динамические характеристики аналого-цифровых СИ, время реакции которых больше интервала времени между двумя измерениями, соответствующего максимально возможной для данного типа СИ частоте (скорости) измерений: - полные динамические характеристики эквивалентной аналоговой части аналого-цифровых СИ; - погрешность датирования отсчета; - максимальная частота (скорость) измерений. n Отдельные составляющие: - время задержки запуска; - время ожидания; - время преобразования; - время задержки выдачи результата и т. д. n
5 - Характеристики СИ, отражающие их способность влиять на инструментальную составляющую погрешности измерений вследствие взаимодействия СИ с любым из подключенных к их входу или выходу компонентов n Входной и выходной импедансы линейного измерительного преобразователя 6 Неинформативные параметры выходного сигнала СИ n Амплитуда импульсного периодического сигнала
Метрологические характеристики ИС МИ 2439 -97 ГСИ. Метрологические характеристики измерительных систем. Номенклатура. Принципы регламентации, определения и контроля. Устанавливает основные принципы регламентации МХ ИС и их компонентов; номенклатуру МХ измерительных каналов ИС и предпочтительную номенклатуру МХ их компонентов; основные принципы контроля и определения МХ ИС. Для ИС регламентируются n МХ измерительных каналов в целом n МХ входящих в них компонентов, в виде: - нормируемых значений (норм), - экспериментально или(и) расчетно определяемых значений
Метрологические характеристики измерительных каналов ИС (по МИ 2439 -97) n n n n Номинальная статическая характеристика преобразования ИК ИС; Выходной код, число разрядов кода, номинальная цена единицы наименьшего разряда кода ИК ИС; Характеристика систематической составляющей ∆с погрешности ИК ИС; Характеристика случайной составляющей ∆0 погрешности ИК ИС; Характеристика погрешности ∆ ИК ИС; Предел bд допускаемого значения вариации выходного сигнала или показаний ИК ИС; Характеристики, отражающие взаимодействие ИК ИС с объектом измерений; Выходной импеданс zвых ИК ИС; Динамические характеристики ИК ИС; Неинформативные параметры выходного сигнала ИК ИС; Номинальная функция влияния Ψ(ζ) и предел допускаемого отклонения от номинальной функции или граничные (верхняя и нижняя) функции влияния ИК ИС; Наибольшие допускаемые изменения ∆L(ζ) МХ ИК ИС, вызванные отклонением внешних влияющих величин и неинформативных параметров входного сигнала от номинальных значений; Динамические функции влияния ИК ИС; Характеристики линии связи.
Для ИК ИС регламентируются: n n Нормируемые МХ и методы их контроля или(и) Значения МХ, получаемые расчетным способом и методы их расчета по МХ компонентов или(и) Перечень МХ, определяемых экспериментально и методы их экспериментального определения или(и) Перечень или значения (для типовых условий применения) расчетных характеристик погрешности измерений, выполняемых посредством ИК ИС, и методы их расчета по МХ компонентов и характеристикам условий применения Комплексы МХ ИК ИС должны быть достаточными для учета метрологических свойств ИС при оценке характеристик погрешности измерений Регламентация МХ ИК ИС не исключает нормирование МХ их компонентов, обеспечивающее соответствие метрологических свойств ИК регламентированным и взаимозаменяемость компонентов Формы представления МХ ИК ИС должны соответствовать ГОСТ 8. 009 -84
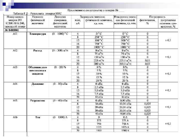
ПРИМЕР. Пределы допускаемой основной погрешности измерительных каналов ИИС
Цели контроля и определения МХ ИС: n n n Проверка качества разработки и изготовления ИС в части соблюдения метрологических требований к ним на предприятиях, разрабатывающих и изготавливающих ИС Проверки качества монтажа и наладки ИС (в том числе соблюдения требований к параметрам линии связи, оказывающим влияние на МХ ИК) в процессе и по завершению установки ИС на объекте, возможности проведения ее опытной эксплуатации и передачи в постоянную эксплуатацию в части соблюдения метрологических требований, заложенных в проекте Проверки сохраняемости метрологических свойств ИС в процессе эксплуатации.
РМГ 62 -2003 “ГСИ. Обеспечение эффективности измерений при управлении технологическими процессами. Оценивание погрешности измерений при ограниченной исходной информации” - содержат методику оценивания погрешности измерений и погрешности ИК ИИС и АСУТП расчетным и расчетноэкспериментальным способами в условиях ограниченной исходной информации в тех случаях, когда прямое экспериментальное оценивание погрешности практически невозможно или экономически не оправдано.
П. 3 Типичные ограничения исходной информации и допущения, принимаемые при оценивании погрешности измерений В числе нормируемых МХ СИ общепромышленного применения, как правило, отсутствуют характеристики систематических и случайных составляющих погрешности, функции влияния, а также ряд других, предусмотренных ГОСТ 8. 009 Для СИ большинства типов характерно нормирование следующих метрологических характеристик: n n n Пределы допускаемой основной погрешности Пределы допускаемых дополнительных погрешностей при наибольших отклонениях действительных значений внешних влияющих величин от их нормальных значений, либо максимально допускаемые значения коэффициентов влияния Некоторые динамические характеристики (АЧХ, интервал времени установления выходного сигнала и т. п. )
Контроль и определение МХ осуществляют экспериментально «сквозным методом» - путем подачи на вход ИК ИС образцового сигнала (имитирующего измеряемую величину) и снятия его выходного сигнала (результата измерения). Необходимые условия для применения «сквозного метода» : n n n Наличие доступа ко входу ИК (ограничение доступа может быть обусловлено конструкцией или способами установки датчиков, температурными условиями, наличием вредной среды в местах их расположения и т. д. ) Возможность задания необходимого набора всех существенных для испытаний ИС значений влияющих величин, характерных для условий эксплуатации ИС Наличие эталонов и средств задания измеряемых величин Метод наиболее применим для ИС-1
Расчетный (расчетно-экспериментальный способ) n В ИК выделяется часть, состоящая из компонентов с нормированными или определенными экспериментально МХ, для которой применим «сквозной метод» контроля или определения ее МХ (доступная часть) и осуществляется контроль или определение МХ доступной части n Вычисляются значения МХ ИК в целом по нормированным или определенным экспериментально МХ доступной части и нормированным или приписанным (по результатам ранее проведенных экспериментальных определений МХ) недоступной части ИК Метод наиболее применим для ИС-2
РАСЧЕТ метрологических характеристик ИС должен проводиться в соответствии с: n n МИ 222 – 80 “ГСИ. Методика расчета метрологических характеристик ИК ИИС по метрологическим характеристикам компонентов” - при наличии информации о нормированных характеристиках метрологических характеристиках всех компонентов МИ 2232 -2000 “ГСИ. Обеспечение эффективности измерений при управлении технологическими процессами. Оценивание погрешности измерений при ограниченной исходной информации” - при отсутствии возможности получить полную информацию о метрологических характеристиках компонентов ИИС ЭКСПЕРИМЕНТАЛЬНЫЙ КОНТРОЛЬ ИЛИ ОПРЕДЕЛЕНИЕ характеристик погрешности ИК рекомендуют проводить в соответствии с: q МИ 2440 -97 “Методы экспериментального определения и контроля характеристик погрешности ИК ИС и измерительных комплексов”
ГОСТ Р 8. 596 ГСИ. Метрологическое обеспечение измерительных систем. Основные положения n Для программ, реализуемых вычислительным компонентом ИС, если свойства этих программ не учтены при нормировании метрологических характеристик соответствующих измерительных компонентов, нормируют характеристики погрешности вычислений, обусловленной алгоритмом вычислений и его программной реализацией, а при необходимости также и другие характеристики с учетом особенностей вычислительного компонента, которые влияют на характеристики составляющей погрешности измерительного канала, вносимой программой обработки результатов измерений. n Эксплуатационная (проектная) документация на ИС должна содержать такое описание алгоритма и реализующей его программы или метода имитационного моделирования, которое позволяло бы определить характеристики погрешности результата прямых, косвенных, совокупных или совместных измерений по характеристикам погрешности той части измерительных каналов ИС, которая предшествует вычислительному компоненту.
МЕТРОЛОГИЧЕСКАЯ ЭКСПЕРТИЗА
ГОСТ Р 8. 596 -2002 ГСИ. Метрологическое обеспечение измерительных систем. Основные положения Метрологической экспертизе подвергают следующую документацию: n техническое задание (далее — ТЗ) на разработку ИС-1 или проектирование ИС-2; n технические условия (далее — ТУ) для отечественных ИС-1, руководство по эксплуатации, конструкторскую и технологическую документацию — для ИС-1; n проектную и эксплуатационную документацию, предназначенную для комплектации, монтажа, наладки и эксплуатации — для ИС-2; n методику расчета метрологических характеристик измерительных каналов ИС по метрологическим характеристикам измерительных и связующих компонентов с учетом, при необходимости, программы обработки, реализуемой вычислительным компонентом, — для ИС-2; n программу и методику испытаний ИС; n проект нормативного документа на методику поверки (калибровки) ИС.
Метрологическая экспертиза Метрологическую экспертизу технической документации проводят путем анализа и оценивания технических решений в части метрологического обеспечения (технических решений, касающихся измеряемых параметров, установления требований к точности измерений, выбора методов и средств измерений, их метрологического обслуживания). РМГ 63 – 2003 ГСИ. Обеспечение эффективности измерений при управлении технологическими процессами. Метрологическая экспертиза технической документации Цель метрологической экспертизы – достижение эффективности метрологического обеспечения, выполнение общих и конкретных требований к метрологическому обеспечению наиболее рациональными методами и средствами
ПР 50. 2. 013 – 1997 ГСИ. Порядок аккредитации метрологических служб юридических лиц на право аттестации методик выполнения измерений и проведения метрологической экспертизы документов n n Аккредитация Метрологических служб юридических лиц на право аттестации методик выполнения измерений и проведения метрологической экспертизы документов проводится в соответствии с законодательством РФ в области обеспечения единства измерений, стандартами и другими НД ГСИ и направлена на проверку и официальное признание компетентности этих служб выполнять работы в указанной области. По результатам аккредитации аккредитующая организация выдает метрологической службе юридического лица аттестат аккредитации. Аккредитация Метрологических служб юридических лиц на право проведения метрологической экспертизы является добровольной
Документ, определяющий конкретный порядок проведения метрологической экспертизы на предприятии, устанавливает: n n n n номенклатуру продукции (виды объектов), техническую документацию, на которую подвергают метрологической экспертизе; конкретные виды технических документов и этапы их разработки, на которых эти документы подвергают метрологической экспертизе, а также порядок представления технической документации на метрологическую экспертизу; подразделения или лиц, проводящих метрологическую экспертизу; порядок рассмотрения разногласий, возникающих при проведении метрологической экспертизы; порядок оформления результатов метрологической экспертизы; права и обязанности экспертов; планирование метрологической экспертизы; порядок проведения внеплановой метрологической экспертизы.
ОСНОВНЫЕ ЗАДАЧИ МЕТРОЛОГИЧЕСКОЙ ЭКСПЕРТИЗЫ ТЕХНИЧЕСКОЙ ДОКУМЕНТАЦИИ ИДЕНТИФИКАЦИЯ ОБЪЕКТА ИЗМЕРЕНИЙ И ЕГО ПАРАМЕТРОВ, ПОДЛЕЖАЩИХ ИЗМЕРЕНИЯМ ОПРЕДЕЛЕНИЕ ОПТИМАЛЬНОЙ ТОЧНОСТИ ИЗМЕРЕНИЙ РАЦИОНАЛЬНЫЙ ВЫБОР СРЕДСТВ И МЕТОДИК ВЫПОЛНЕНИЯ ИЗМЕРЕНИЙ
КОНКРЕТНЫЕ ОБЪЕКТЫ АНАЛИЗА ПРИ МЕТРОЛОГИЧЕСКОЙ ЭКСПЕРТИЗЕ ОЦЕНИВАНИЕ РАЦИОНАЛЬНОСТИ НОМЕНКЛАТУРЫ ИЗМЕРЯЕМЫХ ПАРАМЕТРОВ ОЦЕНИВАНИЕ ОПТИМАЛЬНОСТИ ТРЕБОВАНИЙ К ТОЧНОСТИ ИЗМЕРЕНИЙ ОЦЕНИВАНИЕ ПОЛНОТЫ И ПРАВИЛЬНОСТИ ТРЕБОВАНИЙ К ТОЧНОСТИ СРЕДСТВ ИЗМЕРЕНИЙ ОЦЕНИВАНИЕ СООТВЕТСТВИЯ ДЕЙСТВИТЕЛЬНОЙ ТОЧНОСТИ ИЗМЕРЕНИЙ ЗАДАННЫМ ТРЕБОВАНИЯМ ОЦЕНИВАНИЕ КОНТРОЛЕПРИГОДНОСТИ КОНСТРУКЦИИ ИЗДЕЛИЯ (ИЗМЕРИТЕЛЬНОЙ СИСТЕМЫ) ОЦЕНИВАНИЕ ВОЗМОЖНОСТИ ЭФФЕКТИВНОГО МЕТРОЛОГИЧЕСКОГО ОБСЛУЖИВАНИЯ ВЫБРАННЫХ СРЕДСТВ ИЗМЕРЕНИЙ ОЦЕНИВАНИЕ РАЦИОНАЛЬНОСТИ ВЫБРАННЫХ СРЕДСТВ ИЗМЕРЕНИЙ И МЕТОДИК ВЫПОЛНЕНИЯ ИЗМЕРЕНИЙ АНАЛИЗ ИСПОЛЬЗОВАНИЯ ВЫЧИСЛИТЕЛЬНОЙ ТЕХНИКИ В ИЗМЕРИТЕЛЬНЫХ ОПЕРАЦИЯХ КОНТРОЛЬ МЕТРОЛОГИЧЕСКИХ ТЕРМИНОВ, НАИМЕНОВАНИЙ ИЗМЕРЯЕМЫХ ВЕЛИЧИН И ОБОЗНАЧЕНИЙ ИХ ЕДИНИЦ
Отчеты о НИР, пояснительн. Технические записки к задания техн. проектам Протоколы (предлоиспытаний жения) Проектные документы Технические условия, стандарты Виды технич. документов, подвергаемых МЭ Технологич. карты Технологические инструкции (регламенты) Эксплуатац. и ремонтные документы Программы и методики испытаний
СХЕМА ПРОВЕДЕНИЯ МЕТРОЛОГИЧЕСКОЙ ЭКСПЕРТИЗЫ Государственный эталон ФИЗИЧЕСКАЯ ВЕЛИЧИНА Эталоны Средство измерений Методики выполнения измерений СИ МВИ Результат измерений
Содержание метрологической экспертизы ТУ, конструкторской, технологической, проектной и эксплуатационной документации Ø Ø Ø Проверка соответствия заложенных в ТУ и указанной документации комплексов метрологических характеристик измерительных каналов ИС и их компонентов, методов и средств их определения, контроля и (или) расчета исходным требованиям ТЗ и [*] проверка соблюдения метрологических требований, правил и норм, регламентируемых документами ГСИ, ЕСКД, ЕСТПП, ЕСПД, СНи. П, стандартами отраслей и предприятий и другими документами, содержащими специфические для отрасли и предприятия правила и нормы. * МИ 2439— 97 Государственная система обеспечения единства измерений. Метрологические характеристики измерительных систем. Номенклатура. Принцип регламентации, определения и контроля
Метрологическая экспертиза технических условий Анализу подвергают следующие разделы: n n n “Технические требования” “Методы контроля и испытаний” Приложение “Перечень необходимого оборудования, материалов и реактивов” В ТУ на средства измерений анализируют методы и средства контроля при выпуске в обращение из производства, согласованность этих методов и средств с документами на методики поверки по РМГ 51 – 2002 Документы на методики поверки средств измерений. Основные положения
Метрологическая экспертиза технических условий Основным содержанием метрологической экспертизы технических условий является оценка оптимальности требований к номенклатуре проверяемых параметров, к точности их определения, а также оценка возможности их измерения, правильности выбора предлагаемых методов измерений (испытаний) На территории РФ метрологическую экспертизу проектов стандартов проводят в соответствии с ГОСТ Р 1. 11 -99 “ГСИ. Метрологическая экспертиза проектов государственных стандартов”
Метрологическую экспертизу ТУ рекомендуется проводить в следующей последовательности 1. Проверяют полноту комплекта документов с ТУ На экспертизу должны быть представлены Ø Ø Техническое задание Эксплуатационные документы Документы, содержащие обоснование принятых решений по метрологическому обеспечению продукции Программа и методика испытаний 2. ПОДБИРАЮТ НТД которые необходимы при МЭ Ø Ø Ø Стандарты на продукцию (технические условия, технические требования и методы испытаний) НТД на средства измерений, используемые для контроля продукции Другие нормативные документы, на которые даны ссылки в ТУ и которые каются требований к продукции или ее испытаний
Метрологическую экспертизу ТУ рекомендуется проводить в следующей последовательности 3. Проверяют учет замечаний и предложений сделанных при МЭ ТЗ 4. Проверяют наличие разделов, содержащих сведения, которые рассматриваются при МЭ 5. Проводят МЭ по разделам ТУ
При проведении метрологической экспертизы технической документации на ИС проверяют: n наличие в ТУ, проектной и эксплуатационной документации полного перечня ИК с указанием их структуры и метрологических требований к ним, перечня измерительных, связующих и вычислительные компонентов, образующих каждый измерительный канал, проектов документов на методики поверки (калибровки) ИС и их компонентов и методик расчета МХ ИС по метрологическим характеристикам ее компонентов (для ИС-2); n контролепригодность конструкции ИС, то есть оценку конструкции с точки зрения обеспечения возможности и удобства контроля или определения метрологических характеристик ИС (или других параметров и характеристик, связанных с МХ и обеспечивающих их требуемые значения) в процессе ее изготовления, испытаний, эксплуатации и ремонта; n наличие в проектной документации, предназначенной для монтажа и наладки ИС на объекте, требований к параметрам и характеристикам, необходимым для контроля качества монтажа ИС на объекте; для проверки соблюдения проектных требований к тем параметрам связующих компонентов, которые оказывают влияние на МХ измерительных каналов, в частности к параметрам цифровых линий связи, — соответствие требованиям ГОСТ Р МЭК 870 -5 -1; n наличие материалов, содержащих результаты проверки соответствия указанных выше параметров и характеристик заданным для них требованиям; n наличие и содержание материалов (протоколов, актов, журналов, отчетов и т. п. ) исследовательских, предварительных испытаний, испытаний в процессе опытной эксплуатации (то есть испытаний на различных стадиях ЖЦ ИС), касающихся метрологических свойств ИС.
ИЗГОТОВЛЕНИЕ СРЕДСТВ ИЗМЕРЕНИЙ
ГОСТ Р ИСО 10012 -2008 Менеджмент организации. Системы менеджмента измерений. Требования к процессам измерений и измерительному оборудованию Цель системы менеджмента измерений состоит в управлении измерительным оборудованием и процессами измерений, позволяющем контролировать достоверность результатов измерений характеристик, влияющих на качество продукции МЕНЕДЖМЕНТ РЕСУРСОВ Программное обеспечение Для обеспечения пригодности и непрерывного использования программного обеспечения организация должна идентифицировать, документировать программное обеспечение, используемое в процессах измерений для необходимых вычислений, и управлять им. Программное обеспечение и все его изменения должны проходить тестирование и проверку до начала использования, должны быть утверждены для использования и архивированы. Тестирование должно быть проведено в объеме, необходимом для обеспечения достоверности результатов измерений
Метрологическое подтверждение пригодности измерительного оборудования и выполнение процессов измерений Метрологическое подтверждение пригодности предназначено для подтверждения соответствия метрологических характеристик средств измерений и характеристик используемых в процессе измерений программного обеспечения (кроме входящего в состав средств измерений) и вспомогательной аппаратуры метрологическим требованиям, предусмотренным процессом измерений n Выполнение процесса измерений Процесс измерений должен быть реализован в управляемых окружающих условиях, отвечающих метрологическим требованиям. Управляемые условия должны включать в себя: a) использование измерительного оборудования, имеющего метрологическое подтверждение пригодности; b) применение аттестованных методик измерений; c) доступность требуемых информационных ресурсов; d) обеспечение требуемых условий окружающей среды; e) использование компетентного персонала; f) надлежащую отчетность по результатам; g) использование мониторинга n
ГОСТ Р ИСО 10012 -2008 Менеджмент организации. Системы менеджмента измерений. Требования к процессам измерений и измерительному оборудованию В организации должна функционировать метрологическая служба юридического лица. Высшее руководство организации должно обеспечивать необходимые ресурсы для создания и функционирования метрологической службы Основные задачи метрологической службы n n n n Систематический анализ состояния измерений, контроля и испытаний на всех стадиях разработки, производства и эксплуатации продукции Изучение потребности в средствах измерений, контроля и испытаний, эталонов для калибровки СИ, подготовка предложений по из разработке и приобретению Участие в разработке средств и методов измерений и их внедрение Участие в испытаниях СИ. Контроль за своевременным представлением СИ на испытания в целях утверждения типа Участие в установлении рациональной номенклатуры измеряемых параметров, оптимальных норм точности измерений при контроле показателей качества продукции и параметров ТП Разработка НД, регламентирующих вопросы МО Осуществление метрологического надзора за состоянием и применением СИ, аттестованными МВИ
ВВОД В ДЕЙСТВИЕ
Метрологическое обеспечение на этапе введения в действие Пусконаладочные работы Предварительные испытания Опытная эксплуатация Приемочные испытания Промышленная эксплуатация Монтаж и наладка измерительных каналов Приемка ИК из наладки в опытную эксплуатацию Первичная поверка и калибровка ИК Испытания с целью утверждения типа Периодическая поверка и калибровка
ИСПЫТАНИЯ, УТВЕРЖДЕНИЕ ТИПА И СЕРТИФИКАЦИЯ ИС
Испытания, утверждение типа и сертификация Испытания СИ для целей утвержд. их типа Информац. обслужив. потребит. измер. техн. Работы по испытаниям и утвержд. типа СИ Признание утверж. типа СИ Принятие решения, гос. регистр. , сертификат Испытания на соотв. утвержд. типу
Испытания для целей утверждения типа и утверждение типа проводят для ИС, подлежащих применению в сферах государственного регулирования обеспечения единства измерений СЕРТИФИКАТ ОБ УТВЕРЖДЕНИИ ТИПА ИЗМЕРИТЕЛЬНАЯ СИСТЕМА ИЗМЕРИТЕЛЬНЫЕ КАНАЛЫ ИС ИЗМЕРИТЕЛЬНЫЙ КАНАЛ (в составе более слож. структур или различных ИС) ИС в составе более сложных структур (АСУТП, АСУП) ИНФОРМАЦИОННОИЗМЕРИТЕЛЬНЫЕ СИСТЕМЫ
Утверждение типа ИС-2 осуществляют Для единичных экземпляров ИС-2, спроектированных для конкретных объектов Для ИС-2, устанавливаемых по типовому проекту на различных объектах В составе измерительных каналов ИС-2, на которые будет распространен сертификат утверждения типа, допускается применять измерительные и комплексные компоненты только утвержденных типов ИСКЛЮЧЕНИЯ: Ø ИК утвержденных типов без указания наименования ИС Ø ИК, для которых в эксплуатационной документации нормированы метрологические характеристики канала в целом и комплектная поверка которых обеспечена необходимыми методами и средствами
ПРИКАЗ МИНИСТЕРСТВА ПРОМЫШЛЕННОСТИ И ТОРГОВЛИ РОССИЙСКОЙ ФЕДЕРАЦИИ от 30 ноября 2009 г. N 1081 ОБ УТВЕРЖДЕНИИ ПОРЯДКА ПРОВЕДЕНИЯ ИСПЫТАНИЙ СТАНДАРТНЫХ ОБРАЗЦОВ ИЛИ СРЕДСТВ ИЗМЕРЕНИЙ В ЦЕЛЯХ УТВЕРЖДЕНИЯ ТИПА, ПОРЯДКА УТВЕРЖДЕНИЯ ТИПА СТАНДАРТНЫХ ОБРАЗЦОВ ИЛИ ТИПА СРЕДСТВ ИЗМЕРЕНИЙ, ПОРЯДКА ВЫДАЧИ СВИДЕТЕЛЬСТВ ОБ УТВЕРЖДЕНИИ ТИПА СТАНДАРТНЫХ ОБРАЗЦОВ ИЛИ ТИПА СРЕДСТВ ИЗМЕРЕНИЙ, УСТАНОВЛЕНИЯ И ИЗМЕНЕНИЯ СРОКА ДЕЙСТВИЯ УКАЗАННЫХ СВИДЕТЕЛЬСТВ И ИНТЕРВАЛА МЕЖДУ ПОВЕРКАМИ СРЕДСТВ ИЗМЕРЕНИЙ, ТРЕБОВАНИЙ К ЗНАКАМ УТВЕРЖДЕНИЯ ТИПА СТАНДАРТНЫХ ОБРАЗЦОВ ИЛИ ТИПА СРЕДСТВ ИЗМЕРЕНИЙ И ПОРЯДКА ИХ НАНЕСЕНИЯ
Программа испытаний должна предусматривать: n n n определение метрологических и технических характеристик средства измерений, включая показатели точности, выраженных в единицах величин, допущенных к применению в Российской Федерации; идентификацию программного обеспечения и оценку его влияния на метрологические характеристики средства измерений (при наличии программного обеспечения); разработку или выбор методики поверки и ее опробование; определение интервала между поверками; анализ конструкции испытываемого средства измерений на наличие ограничений доступа к определенным частям средств измерений (включая программное обеспечение) с целью предотвращения несанкционированной настройки и вмешательства, которые могут привести к искажению результатов измерений. При наличии обязательных требований к средствам измерений, в том числе требований к их составным частям, программному обеспечению и условиям эксплуатации средств измерений, программа испытаний должна предусматривать проверку их выполнения.
В описании типа средства измерений указывается: n n n наименование типа средства измерений; назначение средства измерений; описание средства измерений (конструкция, принцип действия, число модификаций, их обозначение и особенности, описание программного обеспечения при его наличии); метрологические, в том числе показатели точности, и технические характеристики средства измерений, включая идентификационные данные программного обеспечения, оценку его влияния на метрологические характеристики средства измерений и уровень защиты программного обеспечения от непреднамеренных изменений (при наличии программного обеспечения); место и способ нанесения знака утверждения типа на средство измерений и (или) сопроводительные документы; комплектность средства измерений; наименование и обозначение методики поверки, перечень эталонов, применяемых при поверке; сведения о методиках (методах) измерений (наименование эксплуатационного документа, в котором содержится методика или метод измерений); нормативные документы, устанавливающие требования к средству измерений конкретного типа, метод его испытаний и методики поверки; рекомендация по области применения (при наличии); изготовитель средства измерений (полное наименование и юридический адрес).
ГОСТ Р 8. 596 ГСИ. Метрологическое обеспечение измерительных систем n n n Программы, реализуемые вычислительным компонентом, подлежат метрологической аттестации в соответствии с МИ 2174, если они влияют на результаты и погрешности измерений, но при этом не использованы в процессе экспериментальной проверки измерительных каналов при испытаниях ИС или комплексного компонента или предусмотрена возможность модификации этих программ в процессе эксплуатации ИС. Программы должны быть защищены от несанкционированного доступа. Техническая документация на ИС или комплексный компонент, представляемая на испытания для целей утверждения типа, должна содержать описание алгоритма обработки измерительной информации и идентифицирующие признаки реализующей его программы (номер версии, объем программы и т. п. ). При модификации программы разработчиком или в процессе эксплуатации в той части, которая связана с обработкой измерительной информации, новая версия программы должна быть представлена на метрологическую аттестацию в организацию, проводившую испытания ИС (комплексного компонента) с целью утверждения типа.
ГОСТ Р 8. 642 -2008 ГСИ. Метрологическое обеспечение измерительных систем узлов учета тепловой энергии. Основные положения Утверждение типа ИС Алгоритмы и программы ИС, реализующие расчет тепловой энергии, в рамках испытаний ИС для целей утверждения типа подлежат аттестации согласно МИ 2174, МИ 2955. При использовании «условно-истинного» подхода, приведенного в ГОСТ Р ЕН 1434 -1 -2006 и неявно используемого в ГОСТ Р 8. 591 -2002 и ГОСТ Р 51649 -2000, необходимо при аттестации алгоритмов расчета тепловой энергии оценить методическую составляющую погрешности алгоритма, связанную с отказом от учета фактических значений давлений теплоносителя. Для разности температур от 1 °С до 3 °С в подающем и обратном трубопроводе системы теплоснабжения эта составляющая сопоставима с погрешностью ИК тепловой энергии. Используемые программы должны быть защищены от несанкционированного доступа и указаны (идентифицированы) в описании типа ИС. При модификации программы разработчиком в той части, которая связана с обработкой измерительной информации, новая версия программы должна быть представлена на аттестацию в организацию, проводившую испытания ИС для целей утверждения типа.
СЕРТИФИКАЦИЯ ИС И КОМПОНЕНТОВ ИС ИСПЫТАНИЯ В СИСТЕМАХ ОБЯЗАТЕЛЬНОЙ СЕРТИФИКАЦИИ Взрывобезопасность Электробезопасность В СИСТЕМАХ ДОБРОВОЛЬНОЙ СЕРТИФИКАЦИИ СДС СИ
СИСТЕМА ОБЕСПЕЧЕНИЯ ЕДИНОГО ВРЕМЕНИ
Система обеспечения единого времени (СОЕВ) - функционально объединенная совокупность программно-технических средств измерений и синхронизации времени в измерительной системе, в которой формируются и последовательно преобразуются сигналы, содержащие количественную информацию об измеряемой величине времени. СОЕВ является средством измерений времени, которое выполняет законченную функцию измерений времени и имеет нормированные метрологические характеристики
ФУНКЦИИ СОЕВ n измерение интервалов времени n синхрони зация времени n коррекция времени
Программный комплекс "GPS Time" n n Программный комплекс "GPS Time" выполняет функцию системы обеспечения единого времени (СОЕВ) и реализует синхронизацию времени в АИИС КУ по сигналам системы GPS (Global Positioning System). Основные функции программного комплекса "GPS Time": реализация синхронизации времени по сигналам системы GPS; синхронизация времени в локальной компьютерной сети по сигналам системы GPS.
Устройство синхронизации времени УСВ-1 ФИРМЫ «СИСТЕМЫ И ТЕХНОЛОГИИ» Область применения АИИС и АСУ энергосистем, системы диспетчерского управления, системы синхронизации или коррекции шкалы времени таймеров компьютеров, другие ИИС отраслей промышленности. Описание n УСВ-1 предназначены для измерения (формирования, счета) текущих значений времени и даты (с коррекцией времени по сигналам проверки времени « 6 точек» или по сигналам навигационной системы GPS) и передачи этих данных через последовательный интерфейс RS-232 (COM-порт) в АИИС, ЭВМ, для установки или синхронизации текущих значений времени и даты. n Устройство синхронизации времени УСВ-1 занесено в Госреестр средств измерений под № 28716 -05 Основные функции n формирование, счет и индикация текущих значений времени и календарной даты (день, месяц, год, час, минута, секунда); n первоначальная установка или коррекция текущих значений времени и календарной даты с помощью встроенного пульта оператора или с ЭВМ; n синхронизация (установка в 00 значений минут и 00 секунд) или коррекция (установка текущих значений часа, минут, секунд) значений времени по сигналам проверки времени от внешнего источника (линейного выхода радиоприемника или радиотрансляционной сети); n синхронизация текущих значений времени (установка в 00 значений минут и 00 секунд) по сигналам GPS-приемника; n индикация питания, аварийной ситуации, правильного приёма сигналов проверки времени; n вывод информации о времени и дате на разъем RS-232; Метрологические характеристики n Пределы допускаемой абсолютной погрешности формирования (хранения) шкалы времени при отсутствии коррекции по сигналам проверки времени: ± 1 с/сутки; n Пределы допускаемой дополнительной температурной погрешности при измерении текущего времени устройством (системного времени): ± 0, 3 с/сутки на 1 °С.
ГЛОНАСС - глобальная навигационная спутниковая система n ГЛОНАСС предназначена для определения местоположения, скорости движения, а также точного времени морских, воздушных, сухопутных и других видов потребителей. ГЛОНАСС состоит из 3 подсистем -Подсистемы космических аппаратов -Подсистемы контроля и управления -Навигационной аппаратуры потребителей
18 мая 2007 года Указ «Об использовании глобальной навигационной спутниковой системы ГЛОНАСС в интересах социально-экономического развития Российской Федерации» «В целях обеспечения массового использования глобальной навигационной спутниковой системы ГЛОНАСС в интересах социально-экономического развития Российской Федерации и расширения ее международного сотрудничества постановляю: 1. Установить, что: n доступ к гражданским навигационным сигналам глобальной навигационной спутниковой системы ГЛОНАСС (далее – система ГЛОНАСС) предоставляется российским и иностранным потребителям на безвозмездной основе и без ограничений; n для обеспечения безопасности Российской Федерации аппаратура спутниковой навигации, приобретаемая для нужд федеральных органов исполнительной власти и подведомственных им организаций, должна функционировать с использованием сигналов системы ГЛОНАСС. 2. Рекомендовать органам исполнительной власти субъектов Российской Федерации, органам местного самоуправления муниципальных образований и организациям независимо от их организационноправовой формы применять аппаратуру спутниковой навигации, функционирующую с использованием сигналов системы ГЛОНАСС. 3. Возложить на Федеральное космическое агентство функции координатора работ по поддержанию, развитию и использованию системы ГЛОНАСС в интересах гражданских, в том числе коммерческих, потребителей и для расширения международного сотрудничества Российской Федерации. 4. Правительству Российской Федерации: n до 31 декабря 2007 г. определить полномочия федеральных органов исполнительной власти в части, касающейся поддержания, развития и использования системы ГЛОНАСС в интересах обеспечения обороны страны и безопасности государства, социально-экономического развития Российской Федерации, расширения ее международного сотрудничества, а также в научных целях; n в 3 -месячный срок определить порядок и условия использования информационных ресурсов, необходимых для создания детальных цифровых навигационных карт для гражданских потребителей; n до 31 декабря 2011 г. утвердить федеральную целевую программу по поддержанию, развитию и использованию системы ГЛОНАСС на 2012 – 2020 годы. 5. Настоящий Указ вступает в силу со дня его подписания» .
МВИ
Прямые измерения Косвенные измерения Автоматические СИ реализуют заложенную изготовителем методику Указания руководства по эксплуатации Используется набор СИ, для получения результата необходимы специфические действия Методика выполнения измерений Конечный результат
Требования к МВИ - определены в ГОСТ Р 8. 563 ГСИ. Методики выполнения измерений Основные этапы n n n Обзор и анализ НД. Подготовка технического задания на разработку МВИ Разработка МВИ. Проведение теоретических и экспериментальных исследований Метрологическая экспертиза проекта МВИ Аттестация МВИ Внесение МВИ в Федеральный реестр МВИ
Особенности ИС как средства измерений, применение которого регламентируется МВИ üБольшое количество каналов; üИспользование автономных измерительных компонентов; üВид измерений: косвенные или совокупные; üЗначительная территориальная распределенность; üОбработка промежуточных результатов автоматическая; üУчастие человека ограничивается программированием.
Что должна содержать МВИ с использованием ИС Измерительные компоненты Нормирование и расчет погрешности Учет влияющих факторов Альтернативные методы получения результатов МВИ Измерительные процедуры Процедуры обработки результатов
Аттестация МВИ Основная цель аттестации МВИ — подтверждение возможности выполнения измерений в соответствии с процедурой, регламентированной в документе на МВИ, с характеристиками погрешности (неопределенностью) измерений, не превышающими указанных в документе на МВИ. Метрологическая служба юридического лица, осуществляющая аттестацию МВИ, применяемую в сфере распространения государственного метрологического контроля и надзора, должна быть аккредитована на право выполнения аттестации МВИ. Аттестацию МВИ могут также осуществлять государственные научные метрологические центры, органы Государственной метрологической службы. Аттестацию МВИ осуществляют на основе результатов метрологической экспертизы материалов разработки МВИ, включающих материалы теоретического и (или) экспериментального исследования МВИ, и документа (раздела, части документа), регламентирующего МВИ. Экспериментальное исследование МВИ проводится одновременно с проведением испытаний для целей утверждения типа единичного экземпляра ИС.
Порядок аттестации МВИ На аттестацию МВИ представляют следующие документы: - исходные требования на разработку МВИ; - документ (проект документа), регламентирующий МВИ; - программу и результаты экспериментального или расчетного оценивания характеристик погрешности МВИ. При положительных результатах аттестации: - документ, регламентирующий МВИ, утверждают в установленном порядке; - для МВИ, применяемой в сфере распространения государственного метрологического контроля и надзора, оформляют Свидетельство об аттестации МВИ; - МВИ, применяемые в сферах распространения государственного метрологического контроля и надзора, подлежат регистрации в установленном порядке.
«ОБЪЕМ И МАССА СЫРОЙ НЕФТИ ПРИ УЧЕТНЫХ ОПЕРАЦИЯХ»
ЭКСПЛУАТАЦИЯ ИС / АСУТП 7 -8 ЭТАП
ПОВЕРКА МОДЕРНИЗАЦИЯ ПК КАЛИБРОВКА ЭКСПЛУАТАЦИЯ РЕМОНТ КОМПОНЕНТА ЗАМЕНА КОМПОНЕНТА ВВОД НОВЫХ ИК
Методика поверки n n n В случае неисправности измерительных компонентов их направляют в ремонт. При этом на время ремонта допускается использовать поверенные однотипные средства измерений. После ремонта должна быть выполнена первичная поверка каждого отказавшего компонента (однотипного с отказавшим), отремонтированного или используемого для замены, должна быть проведена поверка измерительного канала, в который входит этот компонент, в объеме периодической. При использовании для замены компонентов, не однотипных с заменяемыми, должны быть проведены испытания на соответствие ИВК утвержденному типу. При модернизации установки путем введения новых измерительных каналов должны быть проведены испытания на соответствие установки утвержденному типу. В случае замены компьютера (или отдельных его компонентов) АРМ диспетчера ИВК, а также при переустановке операционной системы и/или программного обеспечения ИВК проводят проверку функционирования ИВК в объеме, регламентированном методикой поверки. В случае модернизации программного обеспечения установки проводится анализ изменений, внесенных в программное обеспечение. Если внесенные изменения могут повлиять на метрологические характеристики ИВК, то проводят проверку соответствия установки утвержденному типу.
Межповерочный интервал n n В Методике поверки указывают рекомендуемый межповерочный интервал. В процессе эксплуатации межповерочный интервал может быть изменен по согласованию с органами Федерального агентства по техническому регулированию и метрологии.
ПОВЕРКА И КАЛИБРОВКА ИС
ИЗМЕРИТЕЛЬНЫЕ КАНАЛЫ ИС/АСУТП ИК, применяемые в сфере гос. метрологического контроля и надзора ИК, не применяемые в сфере гос. метрологического контроля и надзора Утверждение типа СИ Калибровка (ПР 50. 2. 016 -94) Поверка (ПР 50. 2. 006 -94)
Способы поверки измерительных каналов ИС ПОВЕРКА КОМПЛЕКТНАЯ контролируют МХ ИК ИС в целом (от входа до выхода) ИС-1 ПОКОМПОНЕНТНАЯ - демонтированные первичные ИП — в лабораторных условиях; комплексный компонент (вкл. ЛС) — на месте установки ИС ИС-2
Программное обеспечение n. Проверяют соответствие программ аттестованным программам и их защищенность от несанкционированного доступа
МИ 2539 -99 «ГСИ. ИК контроллеров, измерительновычислительных, управляющих, программно-технических комплексов. Методика поверки» - распространяется на ИК контроллеров, измерительно-вычислительных, управляющих, программно-технических комплексов с входными и выходными электрическими сигналами, для которых нормированы пределы допускаемых погрешностей без нормирования в отдельности характеристик систематической и случайной составляющей погрешности, и устанавливает требования к методике их поверки или калибровки. РМГ 51 – 2002 Документы на методики поверки средств измерений. Основные положения
ОПЕРАЦИИ ПОВЕРКИ ИК Наименование операции Обязательность проведения при поверке Первич. Период. 1 Внешний осмотр да да 2 Проверка электрической прочности и сопротивл. изоляции да да 3 Опробование да да 4 Проверка погрешности ИК преобразования сигналов напряжения или силы постоянного тока, сопротивления и частоты в код да да 5 Проверка погрешности ИК преобразования сигналов термопар да да 6 Проверка погрешности ИК преобразования сигналов термопреобразователей сопротивления да да 7 Проверка погрешности ИК преобразования кода в сигналы напряжения или силы постоянного тока да да 8 Проверка погрешности ИК счета импульсов да да После ремонта или замены любого измерительного компонента ИК поверку канала выполняют по пунктам первичной поверки
ОСОБЕННОСТИ ПОВЕРКИ ИС n n Представление ИС на поверку Нормирование нормальных условий (с учетом распределенности компонентов ИС в пространстве) и их реализация при проведении поверки ИС Установление минимального (но достаточного) количества операций поверки (в частности после ремонта одного из многочисленных компонентов ИС) Определение даты действия свидетельства о поверке и др.
ПРЕДСТАВЛЕНИЕ ИС НА ПОВЕРКУ 1. Временные перерывы в работе ИС (или отдельных ее ИК) могут быть недопустимы. Требование: наличие резервных ИК. Это позволит: n Проводить метрологическое обслуживание (ремонт, градуировку, поверку) без остановки ИС в целом n Повысить надежность ИС. 2. Нет возможности замены ИС другим экземпляром.
ПРЕДСТАВЛЕНИЕ ИС НА ПОВЕРКУ 3. На время проведения поверки (до нескольких недель) статус ИС не определен. Целесообразно: предусмотреть возможность проведения поверки одних ИК ИС при одновременном функционировании других ее ИК (т. е. при функционировании ИС в целом). 4. Поверка ИС проводится по месту ее размещения. Эталоны должны быть доставлены к месту размещения. Погрешность эталонов, применяемых в условиях поверки ИС (могут отличаться от нормальных условий эксплуатации эталонов), должна удовлетворять требованиям достоверности поверки ИС
УСЛОВИЯ ПОВЕРКИ n n Различные компоненты ИК могут иметь различные диапазоны нормальных значений влияющих величин. Передача размера физической величины ИК ИС, развернутой на объекте (т. е. комплектная поверка) может быть нереальна в связи с практической недостижимостью поддержания нормальных условий эксплуатации каждого компонента ИС. В этом случае – компоненты ИК должны быть поверены поэлементно.
ОПЕРАЦИИ ПОВЕРКИ Важная задача – сокращение объема экспериментальных исследований приемлемой достоверности поверки. n Целесообразно минимизировать проверки программного обеспечения на различных этапах ЖЦ ИС. Методика поверки должна предусматривать различный объем операций поверки. Рекомендуется: после ремонта проведение поверки лишь в объеме вносимых изменений. n
Обязательность операций при поверке первичной № Наименование операции Ввод в экспл. Ремон (замена) СИ Ремонт (замена) ЛС Модерн. ЭВМ (переуст. ПО) период. 1 Рассмотрение документации да да* да* да 2 Внешний осмотр да нет да да 3 Проверка характеристик безопасности да нет да* нет да 4 Проверка условий эксплуатации компонентов да нет нет да 5 Опробование да да* да да 6 Идентификация ПО да нет да да 7 Проверка защиты от несанкционир. доступа да да* да да 8 Проверка метрологических характеристик да да* да да * - в объеме вносимых изменений
Свидетельство о поверке n Для единичных экземпляров ИС свидетельство о первичной поверке при вводе в эксплуатацию целесообразно оформлять на основе протокола испытаний для целей утверждения типа (после регистрации в Гос. реестре СИ). n При положительных результатах первичной поверки (после ремонта или замены компонента ИС на однотипные поверенные, а также после ввода новых или исключения действующих измерительных каналов), проведенной в объеме проверки ИК в части вносимых изменений, должно быть оформлено новое свидетельство о поверке при сохранении без изменений даты очередной поверки. n Срок действия свидетельства о поверке - по дате ближайшего окончания пригодности к применению среди всех СИ, входящих в состав ИС
ЖИЗНЕННЫЙ ЦИКЛ ПРОГРАММНЫХ СРЕДСТВ
ГОСТ Р ИСО/МЭК 12207 -99 Информационная технология. Процессы жизненного цикла программных средств n Настоящий стандарт устанавливает общую структуру процессов жизненного цикла программных средств, на которую можно ориентироваться в программной индустрии. Процессы, реализуемые в жизненном цикле программных средств, должны быть совместимы с процессами, реализуемыми в жизненном цикле системы Структура стандарта
Процесс разработки состоит из следующих работ: 1) подготовка процесса; 2) анализ требований к системе; 3) проектирование системной архитектуры; 4) анализ требований к программным средствам; 5) проектирование программной архитектуры; 6) техническое проектирование программных средств; 7) программирование и тестирование программных средств; 8) сборка программных средств; 9) квалификационные испытания программных средств; 10) сборка системы; 11) квалификационные испытания системы; 12) ввод в действие программных средств; 13) обеспечение приемки программных средств.
ГОСТ Р ИСО/МЭК ТО 16326 -2002 Программная инженерия. Руководство по применению ГОСТ Р ИСО/МЭК 12207 при управлении проектом - Стандарт уточняет и дополняет ГОСТ Р ИСО/МЭК 12207 в части процесса управления программным проектом n Разработчик должен установить и документально оформить следующие требования к программным средствам, включая технические требования к характеристикам качества, рекомендации по определению характеристик качества приведены в ГОСТ Р ИСО/МЭК 9126
Разработчик осуществляет: Нормирование погрешности вычислений Метрологическая экспертиза ТД и ПО Испытания ПО Идентификация ПО Защита от несанкционированного доступа к ПО и данным
МО_ИС-22-04-2010.ppt