9ba9ca76840d2bc9726afd3442a2b1df.ppt
- Количество слайдов: 47
Исполнение бюджета района за 2012 год Утвержденный Уточненный Исполнение бюджета района за 2007 год. Исполнено план % исп. Доходы 1. Налоговые и неналоговые доходы в т. ч. налоговые Неналоговые 2. Дотация из ФФП МР 3. Дотация на сбалансир-ть 4. Дотация на поощрение наил. показ. деят. омсу 5. Субвенция 171 792, 5 133 027, 0 38 765, 5 363 648, 0 0, 0 270 158, 0 154 230, 0 115 928, 0 362 919, 9 30 886, 0 279 490, 1 163 072, 3 116 417, 8 362 919, 9 30 886, 0 103, 4 105, 7 100, 4 100, 0 935 808, 4 1 028 639, 6 100, 0 дост. 6. Субсидия 440 464, 9 439 734, 4 99, 8 7. Иные безвозмездные перечисления 243 399, 0 255 509, 5 105, 0 - из ГБ РС(Я) 16 840, 2 100, 0 МБТ по передаваемым полномочиям из района Возврат остатков субсидий, субвенций и иных межбюджетных трансфертов, имеющих целевое назначение, прошлых лет Итого доходов 3 789, 5 100, 0 -322, 9 -1 842, 9 100, 8 1 471 248, 9 2 376 144, 5 2 395 336, 6 100, 8 -8 500, 0 -38 067, 3 99 641, 3 53493, 1 116 597, 7 108 324, 2 Дефицит (профицит) 6. Остаток на начало года Расходы 1. Общегосударственные вопросы 72 464, 4 92, 9
2. Национальная оборона 3. Национальная безопасность правоохранит. деятельность 4. Национальная экономика 1 810, 1 1 844, 4 100, 0 570, 0 3 954, 9 3 077, 8 132 701, 3 и 1 844, 4 343 848, 7 308 547, 8 89, 7 5. Жилищно-коммунальное хозяйство 94 695, 2 84 681, 9 89, 4 6. Охрана окружающей среды 16, 0 3, 8 23, 8 940 720, 2 1 236 084, 3 1 225 332, 5 99, 1 29 582, 1 88 284, 4 87 310, 6 98, 9 11 638, 0 100, 0 51 853, 7 139 495, 5 127 263, 6 91, 2 2 584, 0 289, 2 247 174, 0 118 995, 5 289, 2 258 468, 0 78 978, 4 224, 3 258 468, 0 66, 4 77, 6 100, 0 7. Образование 8. Культура 9. Здравоохранение 10. Социальная политика 11. Физическая культура и спорт 12. Обслуживание муниципального долга 13. Межбюджетные трансферты субвенция, передаваемая в госбюджет (отриц. трансферт) субвенция по передаваемым полномочиям из района дотация на выравнивание бюджетов поселений (из ФК) дотация на выравнивание бюджетов поселений за счет средств МР Итого расходов 247 174, 0 1 479 749, 0 247 174, 0 2 414 211, 8 100, 0 2 295 695, 3 95, 1
Наименование долговых обязательств Бюджетные кредиты от бюджетов других уровней Остаток долга на 01. 2012 г. 6000, 0 Кредитные соглашения и договоры 0 Договоры о предоставлени и муниципальны х гарантий 530, 3 Итого 6530, 3
Договоры и соглашения о получении консолидированного бюджета МР "Нюрбинский район" бюджетных ссуд и бюджетных кредитов от бюджетов других уровней бюджетной системы РС(Я) на 1 января 2013 г. Бюджет, предоставивший ссуду (кредит) Дата возникновен ия обязательст ва Валюта обязател ьства Сумма долгового обязательства 3 7 10 11 государственный бюджет РС(Я) 29. 03. 2010 г. рублей 10 000 000, 00 450 325, 24 0, 00 государственный бюджет РС(Я) 06. 10. 2011 г. рублей 15 000, 00 9 000, 00 299 712, 32 6 000, 00 Итого 25 000, 00 19 000, 00 750 037, 56 6 000, 00 Всего погашено Остаток долга Основной долг Проценты за пользование Основной долг 13 14 16
Договоры о предоставлении муниципальных гарантий МР "Нюрбинский район" на 1 января 2013 г № п/п Заемщик и его юридический адрес Валюта обязател ьства Сумма долгового обязательства Всего Основной долг Погашено Процент ы за пользов ание Остаток долга Основной долг 1 Михайлов Виктор Ильич Сюлинский наслег руб. 246 800, 00 246800, 00 6 170, 00 240 630, 00 2 Стручкова Саргылана Анатольевна Бордонский наслег руб. 235 040, 00 235040, 00 202 876, 00 32 164, 00 3 Михайлова Зоя Васильевна Д-Убаян ул. ВПотаповой, 4 руб. 246 800, 00 246800, 00 12 340, 00 234 460, 00 4 Иванова Акулина Иннокентьевна Бордонский наслег руб. 235 040, 00 226380, 00 8 660, 00 5 Иванова Анжела Анатольевна Сюлинский наслег руб. 216 027, 00 216027, 00 200 810, 77 15 216, 23 6 Куприянова Нюргуяна Ивановна г. Нюрба руб. 235 040, 00 235 842, 00 -802, 00 1 896 147, 00 1 313 818, 77 530 328, 23 Итого 0, 00
Анализ исполнения собственных доходов местного бюджета за 2012 год Наименование доходов I. Налоговые доходы II. Неналоговые доходы ВСЕГО СОБСТВЕННЫХ ДОХОДОВ Утвержденный план тыс. руб. Сумма уточнени я по решения м 133 027, 0 21 203, 0 154 230, 0 163 072, 3 105, 7 38 765, 5 77 162, 5 115 928, 0 116 417, 8 100, 4 98 365, 5 270 158, 0 279 490, 1 171 792, 5 Уточненный план Исполнение тыс. руб. % исполн ения к уточ. пл ану/дол я собстве нных доходо в 103, 4
Направление дополнительных доходов на 2012 год Решением районного Совета МО от 27. 04. 2012 г. 2 РРС № 35 -1 Решением районного Совета МО от 19. 10. 2012 г. РРС № 38 -1 Решением районного Совета МО от 28. 12. 2012 г. 2 РРС № 40 -2 ФОТ (211, 213) 0, 00 1004, 58 0, 00 Коммунальные услуги (223) Матер. затраты и текущие расходы, на увеличение % финансовой обеспеченности 331, 20 673, 38 Капитальные расходы Всего 14900, 24 372, 00 150, 00 15422, 24 в т. ч. 1105 (кап. ремонт) 270, 00 340, 00 150, 00 760, 00 1116(приобр. оборудов. ) 372, 62 32, 00 1118(капит. строит-во) 14257, 62 Прочие расходы 8924, 82 1986, 87 11918, 61 14257, 62 18158, 19 в т. ч. 290 прочие расходы 404, 62 241 Безвозмездные и безвозвратные перечисления государственным и муниципальным организациям 823, 50 32369, 58 242 Безвозмездные и безвозвратные перечисления негосударственным организациям 153, 00 Межбюджетные поселениям трансферты Возврат бюджетного кредита с процентами Итого 776, 00 1736, 59 13905, 48 393, 00 32762, 58 823, 50 53791, 06 500, 00 3012, 59 5000, 00 25274, 44 27236, 01 5000, 00 19300, 00 98365, 50
Дивиденды по акциям 74379, 1 Арендная плата за земельные участки 988, 2 Доходы получаемые в виде арендной платы за земли 12, 9 Доходы от сдачи в аренду имущества 4747, 9 Плата за негативное воздействие на окружающую среду 6928, 6 Доходы от оказания платных услуг и компесации затрат Доходы от реализации имущества 1658, 2 1639, 7 Доходы от продажи нематериальных активов 723, 4 ШТРАФЫ, САНКЦИИ, ВОЗМЕЩЕНИЕ УЩЕРБА 3202, 1 ПРОЧИЕ НЕНАЛОГОВЫЕ ДОХОДЫ 22137, 9
пп ДОХОДЫ ОТ ОКАЗАНИЯ ПЛАТНЫХ УСЛУГ (РАБОТ) И КОМПЕНСАЦИИ ЗАТРАТ за 2012 год Наименование организации Наименование показателя Код дохода по бюджетной Сумма. Руб. коп классификации 1 ГУП "Гидротехстрой" 2 ООО "Партнер" 3 ОАО "Вилюйавтодор" ОАО "Кировский угольный разрез" МКУ Управление культуры и НТ 4 Прочие доходы от оказания 281 113 01995 05 0000 130 платных услуг (работ) 12 640, 76 17401, 86 18 243, 00 3000 322770, 09 Итого: пп Наименование организации Наименование показателя 1 ГБУ Нюрбинская ЦРБ Прочие доходы от компенсации 281 113 02995 05 0000 130 затрат 271484, 47 Код дохода по бюджетной Сумма. Руб. коп классификации 308607, 35 Итого: пп Наименование организации Наименование показателя 1 ООО «Госгосстрах» Центральный аппарат по орг. обеспеч. мировых судей доходы, поступающие в 281 113 02065 05 0000 130 порядке возмещение расходов, понесенных в связи с эксплутацией имущества муниципального района 2 3 МКУ «Нюрбинская МЦБС» 4 ГУ инспекция по надзору за техсостояние самоходных машин и других видов техники при Правительстве РС (Я) Код дохода по бюджетной Сумма. Руб. коп классификации 9 022, 23 983 253, 48 15 607, 08 18 956, 12 1 026 838, 91
Штрафные санкции за 2012 год Главный администратор по доходам Федеральная служба по надзору в сфере природопользования Федеральное агентство лесного хозяйства Министерство науки и профессионального образования РС(Я) Министерство по охране природы РС(Я) Федеральная служба по ветеринарному и фитосанитарному надзору Сумма 39, 6 0 27, 5 9, 5 73, 2 ФКУ Министерство финансов РС(Я) по Нюрбинскому улусу 0 Федеральная служба по надзору в сфере транспорта 0 Управление Федеральной службы по надзору в сфере защиты прав потребителей и благополучия человека по РС(Я) 458, 8 Федеральная служба государственной статистики 12 Федеральная антимонопольная служба 0 Главное управление МЧС России по РС(Я) Управление Федеральной налоговой службы по РС(Я) 277, 6 91, 3 Главное управление Министерства внутренних дел по РС(Я) 731, 2 Управление федеральной миграционной службы по РС(Я) 453, 6 Администрация МР "Нюрбинский район" РС(Я) 107, 1 Управление делами президента РФ 10 Министерство юстиции Российской Федерации 0 Управление федеральной регистрационной службы по РС(Я) 18, 6 Департамент охотничьего хозяйства Республики Саха (Якутия) 64, 5 Управление по технологическому и экологическому надзору Федеральной службы по экологическому, технологическому и атомному надзору по РС(Я) Итого: 77 2451, 5
Структура расходной части бюджета по отраслям на 2012 год Физическая культура и спорт 3. 4% Обслуживание муниципального Общегосударственные вопросы долга 0. 0% 4. 7% Социальная политика 5. 5% Межбюджетные трансферты 11. 3% Национальная оборона 0. 1% Национальная безопасность и правоохранит. деятельность 0. 1% Национальная экономика 13. 4% Общегосударственн ые вопросы Национальная оборона Национальная безопасность и правоохранит. деятельность Национальная экономика Жилищнокоммунальное хозяйство 108 324, 16 Охрана окружающей среды Образование 3, 84 1 844, 37 3 077, 77 308 547, 78 84 681, 86 1 225 332, 53 Культура Здравоохранение 0. 5% Жилищно-коммунальное хозяйство 3. 7% Культура 3. 8% Образование 53. 4% Охрана окружающей среды 0. 0% 87 310, 65 Здравоохранение 11 638, 02 Социальная политика Физическая культура и спорт Обслуживание муниципального долга 127 263, 64 Межбюджетные трансферты Итого расходов 258 468, 00 78 978, 38 224, 27 2 295 695, 27
Структура расходной части бюджета по КОСГУ на 2012 год Оплата труда 3. 96% возмещение расходов, связанных с проездом в отпуск Прочие основные средства 0. 11% возмещение расходов 0. 03% организаций, оказывающих реконструкция, ежемес. ден. компенсация жку, раб-кам бюдж сферы в дооборудование, на приобретение устан-х законодтвом РФ модернизация книгоиздательской случаях 2% 1. 70% продукции и пер. изданий инвестиции в педраб обр-х учреждений строительство основных 0% средств приобретение 10. 08% (изготовление) основных средств 0. 78% Увеличение стоимости Прочие расходы материальных запасов 0. 78% 0. 50% Пенсии 0. 03% Пособия по соцпомощи населению 3. 36% Перечисления другим бюджетам бюджетной системы Российской Федерации 14. 73% Безвозмездные и безвозвратные перечисления негосударственным организациям 8. 83% суточные при служебных командировках 0. 01% Начисление на оплату труда 1. 09% Услуги связи 0. 14% Транспортные услуги 0. 22% Коммунальные услуги 0. 55% Арендная плата за пользование имуществом 0. 03% Услуги по содержанию имущества 2. 96% Прочие услуги 1. 14% Обслуживание внутренних долговых обязательств 0. 01% Безвозмездные и безвозвратные перечисления государственным организациям 47. 52%
500 0 0 Начисления на оплату труда 4251. 6 3693. 6 895. 5 73. 3 57. 742 35 2. 3 52. 9 705. 5 6. 3 Увеличение стоимости материальных запасов 127. 8 571. 8 Увеличение стоимости основных средств 473. 2 Прочие расходы 1634. 6 Пособия по социальной помощи 2000 Безвозмездные и безвозвратные перечисления негосуд организациям 2500 Прочие услуги 4000 Услуги по содержанию имущества 577. 2 Арендная плата 4500 Коммунальные услуги 1500 Транспортные услуги 1000 Услуги связи 0 0 Прочие выплаты 0 56. 5 53. 9 Заработная плата Кредиторская задолженность за 2012 год 01. 2012 г. 01. 2013 г. 3500 3000 2229 1731. 1 1245. 7 547. 2 24. 4
5000 507. 8 209. 5 01. 2012 г. 5137. 4 3364. 5 508. 3 82. 6 Увеличение стоимости материальных запасов 40000 Увеличение стоимости основных средств 1042. 6 205 Прочие расходы 18. 9 16. 1 506. 7 Пособия по социальной помощи 215. 7 Прочие услуги 5196. 3 Услуги по содержанию имущества 35000 Арендная плата Коммунальные услуги 397. 4 121. 6 Транспортные услуги Начисления на оплату труда 967. 7 228. 9 Услуги связи 2032. 5 157. 6 Прочие выплаты 0 1376. 6 896. 9 Заработная плата Дебиторская задолженность за 2012 год 37162. 8 01. 2013 г. 30000 25000 20000 15000 10203. 6 3044. 1 458. 9
Всего 108 324, 10 0102 Главы 1845, 1 0103 «Представительные органы МСУ» 1338, 1 0104 «Центральный аппарат» 22562, 8 0105 "Присяжные заседатели" 12, 9 0106 "Контрольный орган" 1280, 5 0107 "Проведение выборов" 850, 0 0113 «Другие общегос. вопросы» 80434, 7
Подраздел 0113 «Другие общегосударственные вопросы» Направление расходов Сумма Субвенция на выполнение отдельных государственных полномочий по комплектованию, хранению, учету и использованию документов Архивного фонда РС (Я) Субвенция на реализацию ФЗ № 125 «О жилищных субсидиях гражданам, выезжающим из районов крайнего севера и приравненных к ним местностей» от 25. 10. 2002 г. № 125 -ФЗ % 534, 0 0, 7 11, 9 0, 0 Субвенция на выполнение отдельных полномочий по исполнению функций административных комиссий 1854, 6 2, 3 Субсидия на общереспубликанское движение добрых дел "Моя Якутия в XXI веке" в сумме Субсидия на на подготовку генеральных планов поселений республики и схем территориального планирования муниципальных районов республики Субсидия на разработку местных нормативов градостроительного проектирования муниципальных образований 8500, 0 10, 6 3110, 0 3, 9 493, 0 0, 6 Субсидия на софинансирование муниципальных инвестиционных проектов Иные межбюджетные трансферты - возврат в местные бюджеты поступивших средств от денежных взысканий (штрафов) по административным правонарушениям 7767, 5 9, 7 73, 2 0, 1 12294, 3 13448, 9 8332, 3 2998, 0 15, 3 16, 7 10, 4 3, 7 Средства, переданные бюджетам поселений в связи с передачей бухгалтеров Целевые программы 1556, 5 5217, 5 1, 9 6, 5 Увеличение уставного капитала ОАО «Кировский угольный разрез» Аренда помещения За счет программы содействия СЭРНР За счет поступлений от спонсорской помощи Приобретение транспортных средств Оплата коммунальных услуг имуществ, находящихся в муниципальной собственности в сумме 1 082, 0 тыс. руб. , По исполнительному листу ОАО "Сахатранснефтегаз" Уплата земельного налога Курсы повышения квалификации Издание книги ИТОГО 5000 201, 16 4179, 1 188, 9 924, 0 6, 2 0, 3 5, 2 0, 2 1, 1 829, 9 1676, 7 1050, 7 95, 3 97, 2 80434, 7 1, 0 2, 1 1, 3 0, 1 100 МКУ «Централизованная бухгалтерия бюджетных учреждений» , "Управление делами" МКУ «Комитет имущественных отношений» МКУ «Инвестиционно-строительное управление" Строительные работы ЛЭОК "Кыталыктаах"
Направление средств резервного фонда на 2012 год Получатель Сумма, руб. Наименование расходов Основание Администрация МР Для оказания помощи Никифоровой Т. Н. для проведения 33 885, 00 операции по пересадке почек. Распоряжение Главы МР "Нюрбинский район" № 141 от 02. 2012 г. Администрация МР На материальную помощь Еголровой В. Н. для лечения в 22 391, 00 гемодиализе после удаления почек Распоряжение Главы МР "Нюрбинский район" № 188 от 14. 02. 2012 г. Администрация МР Для приобретения вакцины в целях устранения чрезвычайной 94 999, 48 ситуации. На аренду помещения в целях проведения на высоком 126 450, 50 организационном уровне торжественных мероприятий Распоряжение Главы МР № 191 от 15. 02. 2012 г. Распоряжение Главы МР № 189 от 15. 02. 2012 г. Администрация МР На материальную помощь Сидоровой А. Г. Для проведения 16 644, 00 операции на сердце. Распоряжение Главы МР № 219 от 20. 02. 2012 г. Администрация МР На материальную помощь Иудину Ю. Н. в целях оказания 5 149, 00 малоимущим слоям населения. Распоряжение Главы МР № 234 от 21. 02. 2012 г. Администрация МР На материальную помощь согласно списку в целях оказания 32 690, 00 помощи в связи с пожаром. Распоряжение Главы МР № 225 от 21. 02. 2012 г. Администрация МР На материальную помощь Иванову М. Н. в целях оказания 16 644, 00 помощи малоимущим слоям населения. Распоряжение Главы МР № 249 от 27. 02. 2012 г. Администрация МР На материальную помощь Иванову А. Е. в целях оказания помощи Распоряжение Главы МР № 248 от 10 897, 00 малоимущим слоям населения. 27. 02. 2012 г. Для восстановления культурно-досугового центра Среднеколымского района в связи с пожаром в целях оказания Распоряжение Главы МР № 261 от 20 000, 00 помощи малоимущим слоям населения. 29. 02. 2012 г. Администрация МР На материальную помощь Васильевой А. С. в связи с выездом на Распоряжение Главы МР № 262 от 10 897, 00 лечение в г. Нерюнгри с ребенком инвалидом. 29. 02. 2012 г. Администрация МР Нюрбинская СОШ № 1 На материальную помощь Николаевой Н. Г. в целях оказания 7 448, 00 материальной помощи нуждающей категории населения. Распоряжение Главы МР № 267 от 27. 02. 2012 г. Выделить МБОУ "Нюрбинская СОШ № 1 им. Ст. Васильева" на проведения 135 -летнего юбилея школы в целях проведения на 83 000, 00 высоком организационном уровне юбилейных мероприятий Распоряжение Главы МР № 320 от 12. 03. 2012 г. 481 094, 98
Раздел 0300 «Национальная безопасность и правоохранительная деятельность» Всего, в том числе Утвержденный план 3172 Уточненный план 3946, 0 Исполнено 1570, 1 % исп. 39, 79 0302 Правопорядок 2500 124, 1 5, 0 0304 ЗАГС 172 246, 0 100 0309 ЧС 500 1200 100
Раздел 0400 «Национальная экономика» 0401 "Общеэкономические вопросы", 610. 5 0412 "Другие вопросы в обл. нац. экономики", 46551. 8 0409 "Дорожное хозяйство", 45011. 6 0408 "Транспорт", 4176. 3 0405 Сельское хозяйство; 212197, 7
Подраздел 0405 «Сельское хозяйство» Уточненный план Всего по подразделу 0405 "Сельское хозяйство" Субвенция на осуществление отдельных государственных полномочий по поддержке сельскохозяйственного производства Кассовое исполнение % исполн ения 217 580, 4 212 197, 6 97, 5 134 600, 1 134 531, 4 99, 9 12 575, 3 12 552, 2 99, 8 поддержка сельскохозяйственного производства Строительство объекта муниципальной собственности - ипподром с трибуной и с зоной содержания скакунов 122 024, 8 4000, 0 121 979, 2 4000, 0 100, 0 Субсидия сельскохозяйственным товаропроизводителям (за исключением граждан, ведущих личное подсобное хозяйство), обеспечившим прирост маточного поголовья крупного рогатого скота (поголовье коров) по итогам 2012 года 53028 48372 91, 2 Премия победителю смотра-конкурса агрошкол 500, 0 100, 0 Строительство конебазы на 100 голов в местности "Усунбас" 350, 0 100, 0 19752, 3 19226, 9 97, 3 содержание МКУ "Департамент сельского хозяйтсва Нюрбинского района" РЦП "Целевая программа развития сельского хозяйства по Нюрбинскому району"
Продолжение подраздела 0405 «Сельское хозяйство» % исполне Уточненный план Кассовое исполнение ния 6161 100, 0 Предоставление субсидии СПСПК "Байар" Строительство конебаз, сайылыков 2650 100, 0 Возмещение части затрат по производству продукции птицеводства ОАО Птицефабрика "Нюрбинская" 3832 100, 0 Транспортные расходы по транспортировке лошадей для проведения конных скачек Услуги по составлению проекта на внедрение новой системы сбора молока от населения и развития переработки молока в районе 750 100, 0 198 100, 0 Возмещение части затрат по производству сочных и грубых кормов из однолетних кормовых культур 1400 100, 0 Финансирование программы "Ынах суоьу кэскилэ" 2520 100, 0 Субсидия на возмещение части затрат по обеспечению переработки продукции скотоводства (мяса) 466, 8 100, 0 Проведение мероприятий конных скачек (ысыах Олонхо) Субидия сельскохозяйственным товаропроизводителям на содержание маточного поголовья КРС Субсидия на прирост поголовья КРС Проведение мероприятий Дня работников сельскохозяйственной и перерабатывающей промышленности 240 100, 0 100 99, 7 756 100, 0 198, 5 153, 4 77, 3
Продолжение подраздела 0405 «Сельское хозяйство» Строительство объектов Кыталыктаах % исполне Уточненный план Кассовое исполнение ния 480 0, 0 1700, 0 100, 0 3650, 0 3517, 3 96, 4 На выполнение мелиоративных работ по спуску вод МО "Хорулинский наслег", МО "Таркайинский наслег" Расходы за счет средств субсидии, выделенных на финансирование расходов неинвестиционного характера, направленных на решение социально-экономических задач улусов "алмазной провинции" в том числе: 2841 2840, 6 100, 0 600 566, 7 94, 5 209 110 52, 6 Организация выкупа крупного рогатого скота (стельная телка старше 2 -х лет) приобретение автомобиля для МКУ "ДСХ" расходы на мероприятия по сель/хоз-ву
Расходы по капитальным вложениям Наименование объекта Профинансировано В том числе по источникам Объем выполненных работ По взаимным расчетам За счет собств. средств и ЦБФ 21 258, 0 9 410, 0 11 848, 0 11 991, 0 12 000, 0 8 500, 0 3 500, 0 8 500, 0 910 493 8 348, 0 8348 2998 0405 4 109, 2 4 000, 0 Субсидия на софинансирование расходных обязательств МР на строительство ипподрома 4 109, 2 4 000, 0 37 271, 6 23 640, 9 13 630, 7 37 271, 4 23 939, 1 23 517, 0 422, 2 23 939, 1 15 337, 0 8 548, 2 8 126, 0 422, 2 8 548, 2 53, 9 49 318, 0 33 000, 0 16 318, 0 48 964, 0 39 000, 0 33 000, 0 6 000, 0 39 000, 0 0113 Реализация программы ОРДД "Моя Якутия" (детский сад на 35 м с. Жархан - 3000, 0 тыс. рублей; дом Олонхо г. Нюрба-1500, 0 тыс. руб. , Могол ураса, Аал-луук мас, выст. пав. 3000, 0 тыс. руб. ; детский сад на 35 м с. Сайылык - 1000, 0 тыс. рублей) Субсидия на разработку местных нормативов градостроительного проектирования МО Средства на строительство объекта "ЛЭОК Кыталыктаах" 0412 Строительство объекта "Бизнес-инкубатор в г. Нюрба" 0501 Субсидия по переселению граждан из аварийного жилфонда 0501 Обустройство зоны ИЖС 0501 Обеспечение жильем работников бюджетной сферы 0701 Реконструкция под размещение дет. сада в с. Антоновка
Продолжение расходов по капитальным вложениям Наименование объекта Профинансировано В том числе по источникам По взаимным расчетам За счет собств. средств и ЦБФ Объем выполненных работ Реализация программы ОРДД "Моя Якутия" 10 318, 0 9 964, 0 0709 753, 0 0, 0 Субсидия на возмещение части затрат в связи с предоставлением учителям общеобразовательных учреждений ипотечного кредита 753, 0 0801 27 450, 0 22 050, 0 5 400, 0 26 982, 8 Софинансирование строительства культурных центров 5 400, 0 5 399, 7 Средства на строительство объекта "ЛЭОК Кыталыктаах" 22 050, 0 21 583, 1 0901 8 843, 4 0, 0 8 843, 4 Мансардный этаж лечебного корпуса 1 920, 0 Офис общеврачебной практики в с. Чаппанда 6 923, 4 1002 5 000, 0 Спальный корпус ГБУ "НРРЦДИи. ДОВ" 1 этап 5 000, 0 1003 39 246, 4 29 449, 5 9 797, 0 35 790, 1 Обеспечение жильем молодых семей 18 954, 9 11 954, 9 7 000, 0 16 447, 1 Обеспечение жильем работников бюджетной сферы 20 291, 5 17 494, 6 2 797, 0 19 343, 0
Продолжение расходов по капитальным вложениям Наименование объекта Профинансировано В том числе по источникам По взаимным расчетам Объем выполненных работ За счет собств. средств и ЦБФ 1004 43 906, 5 0, 0 39 044, 8 Обеспечение жилыми помещениями детейсирот и детей, оставшихся без попечения родителей 43 906, 5 39 044, 8 1102 110 500, 0 70 000, 0 40 500, 0 70 495, 4 Субсидия на осуществление бюджетной инвестиционной программы на строительство стадиона г. Нюрба 110 500, 0 70 000, 0 40 500, 0 70 495, 4 Всего 371 595, 2 259 726, 8 111 868, 4 312 322, 0
Раздел 0500 «Жилищно-коммунальное хозяйство» Уточненный план Кассовое исполнение % исполнения 94 695, 2 84 681, 9 89, 4 0501 Жилищное хозяйство 74 559, 0 66 342, 5 89 0502 Коммунальное хозяйство 8 018, 5 6 221, 6 78 0503 Благоустройство 12 117, 7 100 Подраздел Всего по р. 0500 в том числе
Классификация расходов по разделу 0800 «Культура»
Раздел 0900 «Здравоохранение» погашение просроченной кредиторской задолженности по состоянию на 01. 2012 г. за теплоэнергию МУ "Нюрбинская ЦРБ" за 2011 год - 2744, 59 строительство пристроя к здании главного корпуса МУ "НЦРБ" Нюрба и офиса общеврачебной практики в с. Чаппангда - 8843, 43 экспертиза объекта "II очередь больничного комплекса г. Нюрба" - 50
Всего расходы 127263, 6 1001 «Пенсионное обеспечение» 646 1002 «Социальное обслуживание населения» 5560 1003 «Социальное обеспечение населения» 41453 1004 «Охрана семьи и детства» 76305, 1 1006 «Другие вопросы в области соц. политики» 3299, 6
Раздел 1100 «Физическая культура и спорт» Утвержденны й план Уточненный план Исполнено % исполнения 2 584, 0 118 995, 5 78 978, 4 66, 4 содержание 2 584, 0 5 222, 7 5 205, 6 99, 7 ФОТ 2 434, 0 2 595, 0 2 582, 5 99, 5 Коммунальные услуги 0, 0 Прочие мат. затраты 150, 0 2 627, 7 2 623, 1 99, 8 Мероприятия 0, 0 3 772, 8 100, 0 Строительство 0, 0 110 000, 0 70 000, 0 63, 6 Всего расходов в т. ч. объекта
Исполнение районных целевых программ МР "Нюрбинский район РС(Я)" за. 2012 г. (тыс. руб) Отрасли, объекты, мероприятия ВСЕГО РЦП "Жилище на 2007 -2012 г. " 5% долевое софинансирование "Обеспечение жильем работников бюджетной сферы" Софинансирование кредитования молодых семей по республиканской подпрограмме "Обеспечение жильем молодых семей" РЦП "Развитие социальной политики Нюрбинского района на 2008 -2012 гг. " Мероприятия по поддержке малоимущих слоев населения по ходатайствам представительного органа Содействие личностному развитию талантливой и передовой молодежи Нюрбинского района Материальная помощь малообеспеченным гражданам Мероприятия проводимые в рамках реализации РЦП "Развитие социальной политики НР на 2008 -2012 г. г. " РЦП "Социальная реабилитация осужденных без лишения свободы, состоящих на учетах уголовно-исполнительской инспекции на 2011 -2013 гг. "" Приобретение мебели и оргтехники МЦП "Энергоресурсосбережение в Нюрбинском районе РС(Я) на 2010 -2013 гг. и на период до 2020 г. " Установка узла учета тепловой энергии Разработка энергетического паспорта с его дальнейшей экспертизой и утверждением в экспертизной организации СРО НП "Энергоффективные технологии" (г. Москва) Уточненный план Исполнение % испол-ия Исполнители МКУ "ИСУ" 70730, 8 9797, 0 68775, 4 8712, 5 97, 24 88, 93 2797, 0 2782, 80 99, 49 7000, 0 5929, 7 84, 7 2797, 7 2781, 8 99, 4 1500, 0 100, 0 44, 0 100, 0 80, 2 100, 0 1173, 4 1157, 6 98, 6 Администрация МР 66, 0 100, 0 4930, 0 Учреждения, МО (поселения) МР "Нюрбинский район" 100, 0 РС(Я) 2100, 0 1770, 0 100, 0
Продолжение исполнения районных целевых программ МР "Нюрбинский район РС(Я)" за. 2012 г. (тыс. руб) Уточненный план Исполнение % испол-ия Отрасли, объекты, мероприятия Разработка годового лимита потребления ТЭР бюджетной организации с внедрением унифицированной базы учетно-отчетной документации по расходованию тепловой, электрической энергии и воды 1060, 0 100, 0 РЦП "Обеспечение качественными жилищно-коммунальными услугами и развитие энергетики на 2012 -2016 годы" 930, 0 100, 0 Приобретение автоводовозки (ГАЗ-53 дизельный) Приобретение трактора (МТЗ-82. 1) Приобретение коммунальной техники РЦП "Развитие физической культуры и спорта Нюрбинского района на 2008 -2012 г. г. " 330, 0 270, 0 Исполнители МО (поселения) 100, 0 МО "Нюрбачанский наслег" 100, 0 МО "Чаппангдинский наслег" 330, 0 100, 0 2687, 0 100, 0 МКУ КС и МП На участие в республиканских мероприятиях На проведение районных спортивных мероприятий Проведение, участие в спортивных мероприятиях населения и укрепление МТБ 483, 5 143, 5 100, 0 2060, 0 100, 0 РЦП "Молодёжь Нюрбинского района Республики Саха (Якутия) на 2008 -2012 годы" 1010, 0 100, 0 Работа строительных отрядов в с. Акана 523, 5 100, 0 Проведение районных мероприятий На участие в республиканских мероприятиях Проведение и участие в молодежных мероприятиях Транспортные услуги по перевозке студентов из малоимущих семей РЦП "Целевая программа развития сельского хозяйства по Нюрбинскому району" 190, 0 60, 0 155, 5 100, 0 81, 0 100, 0 19752, 3 19226, 9 97, 3 МКУ КС и МП
Продолжение исполнения районных целевых программ МР "Нюрбинский район РС(Я)" за. 2012 г. (тыс. руб) Отрасли, объекты, мероприятия Уточненный план Исполнение % испол-ия Исполнители Предоставление субсидии СПСПК "Байар" 6161, 0 100, 0 МКУ "ДСХ" Строительство конебаз, сайылыков 2650, 0 100, 0 МКУ "ДСХ" Возмещение части затрат по производству продукции птицеводства ОАО Птицефабрика "Нюрбинская" 3832, 0 100, 0 Транспортные расходы по транспортировке лошадей для проведения конных скачек 750, 0 100, 0 Услуги по составлению проекта на внедрение новой системы сбора молока от населения и развития переработки молока в районе 198, 0 100, 0 Возмещение части затрат по производству сочных и грубых кормов из однолетних кормовых культур 1400, 0 100, 0 Финансирование программы "Ынах суоьу кэскилэ" 2520, 0 100, 0 Субсидия на возмещение части затрат по обеспечению переработки продукции скотоводства (мяса) 466, 8 100, 0 Проведение мероприятий конных скачек (ысыах Олонхо) 240, 0 100, 0 Субидия сельскохозяйственным товаропроизводителям на содержание маточного поголовья КРС 100, 0 99, 7 Субсидия на прирост поголовья КРС 756, 0 100, 0 Проведение мероприятий Дня работников сельскохозяйственной и перерабатывающей промышленности 198, 5 153, 4 77, 3 Строительство объектов Кыталыктаах 480, 0 РЦП "Программа развития образования Нюрбинского района на 2012 -2020 годы" 2285, 9 2195, 3 96, 0 МКУ "ДСХ" МКУ "ДСХ" МКУ "ДСХ" МКУ "ИСУ" МКУ "Управление образования"
Продолжение исполнения районных целевых программ МР "Нюрбинский район РС(Я)" за. 2012 г. (тыс. руб) Отрасли, объекты, мероприятия Уточненный план Исполнение % испол-ия Исполнители Организация отдыха и оздоровление детей в летний период 500, 0 100, 0 Проведение VII республиканской олимпиады школьников в технические и технологические ВУЗы РФ "Шаг в будущее" 500, 0 100, 0 Участие на республиканском слете юных инспекторов 46, 0 100, 0 Проведение первенства РС(Я) по мас-рестлингу 19, 9 100, 0 Постройка эстакады для подвоза питьевой воды ДОУ "Северяночка" 80, 0 100, 0 Урепление материально-технической базы учреждений образования 1140, 0 1049, 4 92, 1 РЦП "Управление муниципальной собственностью" 4487, 0 100, 0 Приобретение квартиры для муниципальных нужд 1492, 0 100, 0 Формирование муниципальной собственности Нюрбинского района на объекты кап. строительства и земельные участки 716, 6 100, 0 Формирование земельных участков и проведение кадастровых работ на земельные участки под МКД 100, 0 Выкуп земельного участка 200, 0 100, 0 Оценка муниципального имущества 250, 0 100, 0 Погашение кред. задолженности по з/п работников МУП "Нюрбинский лесопункт" 233, 4 100, 0 Задолженность по проведенным мероприятиям за счет остатка средств программы ССЭРНР за 2011 год МКУ "КИО" 1495, 0 100, 0
Продолжение исполнения районных целевых программ МР "Нюрбинский район РС(Я)" за. 2012 г. (тыс. руб) Отрасли, объекты, мероприятия Уточненный план Исполнение % испол-ия РЦП "Безбарьерная среда жизнедеятельности инвалидов и др. малобольных групп населения в Нюрбинском районе" 270, 0 100, 0 Установка пандуса МБОУ НСОШ № 2 270, 0 100, 0 Подпрограмма "Социальная поддержка и реабилитация инвалидов на 2008 -2012 г. г. " 884, 0 100, 0 Субсидия НУОО ЯРО "Всероссийское общество инвалидов" 651, 4 100, 0 Субсидия Нюрбинской местной организации "Всероссийское общество слепых" 232, 6 РЦП "Семья и дети Нюрбинского района на 2010 -2013 годы" 629, 9 562, 8 Проведение городских, районных мероприятий согласно календарному плану 329, 9 262, 80 Исполнители МКУ "ИСУ" Администрация МР 100, 0 89, 3 Администрация МР 79, 7 Новогодние подарки для детей сирот, детей из многодетных семей, детей инвалидов, особо одаренным, талантливым детям Нюрбинского района 300, 0 100, 0 РЦП "Культура и народное творчество Нюрбинского района в 2008 -2012 годы" 16813, 6 100, 0 Проведение культурных мероприятий ( Ысыах Олонхо) 12053, 4 100, 0 МКУ "УК и НТ" Проведение культурных мероприятий ( Ысыах Олонхо) 99, 0 100, 0 МКУ "КИО" Проведение культурных мероприятий ( Ысыах Олонхо) 4661, 2 РЦП "Профилактика правонарушений в Нюрбинском районе на 2008 -2012 годы" 1310, 0 1146, 0 РЦП "Профилактика правонарушений в Нюрбинском районе на 2008 -2012 годы" 1210, 0 1046, 0 100, 0 Администрация МР 87, 5 86, 4 Администрация МР
Продолжение исполнения районных целевых программ МР "Нюрбинский район РС(Я)" за. 2012 г. (тыс. руб) Отрасли, объекты, мероприятия Летняя занятость несовершеннолетних детей РЦП "Повышение эффективности бюджетных расходов муниципального района "Нюрбинский район" на 2012 -2013 гг. " Профессиональное обучение и повышение квалификации муниципальных служащих и работников финансово-экономических служб учреждений Обеспечение публичности и открытости проводимых преобразований в сфере повышения качества муниципального управления Модернизация системы автоматизации процессов планирования и исполнения бюджета РЦП "Повышение безопасности дорожного движения на территории МР "Нюрбинский район" на 2007 -2012 гг. " Уточненный план 100, 0 Исполнение 100 % испол-ия 100 Исполнители МУ КФКС и МП Администрация МР 748, 5 740, 5 98, 9 150, 0 142, 0 94, 7 180, 0 100, 0 418, 5 100, 0 МКУ "КИО" 1300, 0 100, 0 32, 0 100, 0 Администрация МР РЦП "Развитие малого и среднего предпринимательства" Создание и функционирование цеха по выпуску колбасных и мясных полуфабрикатов 32, 0 32 100, 0
Исполнение бюджета по расходам направляемым на исполнение публичных нормативных обязательств МР"Нюрбинский район" РС(Я) за 2012 год тыс. руб. Наименование обязательства Подраздел Уточненный % испплан Исполнение ия Выплата единовременной материальной помощи населению 1003 3519, 2 3357, 4 95, 4 Ежемесячные доплаты к пенсии муниципальным служащим 1001 900, 0 646, 0 71, 8 Выплаты почетным гражданам 1003 1136, 6 1069, 5 94, 1 Выплата компенсации в части родительской платы за содержание ребенка в государственных и муниципальных образовательных учреждениях, реализующих основную общеобразовательную программу дошкольного образования Выплата единовременных пособий при всех формах устройства детей оставшихся без попечения родителей, в семью 1004 8381, 2 8186, 4 97, 7 1004 576, 0 575, 6 99, 9 Выплате ежемесячного пособия опекуну (попечителю) на содержание детей в семьях опекунов (попечителей) и приемных семьях и оплате труда приемных родителей 1004 25935, 7 25907, 4 99, 9 Субсидии на предоставление льгот по коммунальным услугам педагогическим работникам образовательных учреждений 0702 33082, 1 32733, 6 98, 9 73530, 8 72475, 8 98, 6 Итого
Финансовая помощь бюджетам поселений 2012 год (тыс. руб) Наименование поселения Утверждено Уточненный план Исполнено % исполн. к плану 1 МО "Город Нюрба" 29971, 0 100 2 МО "Аканинский наслег" 12489, 1 100 3 МО "Бордонский наслег" 11137, 6 100 4 МО "Дикимдинский наслег" 7679, 3 100 5 МО "Едейский наслег" 6837, 0 100 6 МО "Жарханский наслег" 8896, 4 100 7 МО "Кангаласский наслег" 10711, 0 100 8 МО "Кюндядинский наслег" 14658, 6 100 9 МО "Мальжагарский наслег" 11514, 9 100 10 9696, 8 100 11 МО "Мегежекский наслег" 12764, 7 100 12 МО "Нюрбачанский наслег" 12184, 1 100 13 МО "Октябрьский наслег" 20110, 6 100 14 МО "Сюлинский наслег" 8358, 0 100 15 МО "Таркаинский наслег" 15546, 9 100 16 МО "Тюмюкский наслег" 15628, 6 100 17 МО "Хорулинский наслег" 13222, 4 100 18 МО "Чаппангдинский наслег" 13599, 8 100 19 МО "Мархинский наслег" МО "Чукарский наслег" 12167, 2 100 ВСЕГО: 247 174. 0 100
Дотация на сбалансированность поселениям за 2012 год Наименование поселения Утвержденный план, тыс. руб. Уточненный план, тыс. руб. Исполнено, тыс. руб. % испол МО "Город Нюрба" 0, 00 1080, 0 100, 00 МО "Аканинский наслег" 0, 00 1, 0 100, 00 МО "Бордонский наслег" 0, 00 14, 6 100, 00 МО "Дикимдинский наслег" 0, 00 6, 1 100, 00 МО "Едейский наслег" 0, 00 708, 1 100, 00 МО "Жарханский наслег" 0, 00 15, 2 100, 00 МО "Кангаласский наслег" 0, 00 2, 1 100, 00 МО "Кюндядинский наслег" 0, 00 20, 2 100, 00 МО "Мальжагарский наслег" 0, 00 30, 9 100, 00 МО "Мархинский наслег" 0, 00 2, 6 100, 00 МО "Мегежекский наслег" 0, 00 6, 1 100, 00 МО "Нюрбачанский наслег" 0, 00 12, 5 100, 00 МО "Октябрьский наслег" 0, 00 6, 3 100, 00 МО "Сюлинский наслег" 0, 00 0, 6 100, 00 МО "Таркаинский наслег" 0, 00 21, 9 100, 00 МО "Тюмюкский наслег" 0, 00 17, 2 100, 00 МО "Хорулинский наслег" 0, 00 0, 5 100, 00 МО "Чаппангдинский наслег" 0, 00 0, 8 100, 00 МО «Чукарский наслег" 0, 00 9, 0 100, 00 ВСЕГО: 0, 00 1955, 5 100, 00
Субвенции поселениям за 2012 год Наименование поселения МО "Город Нюрба" Утвержденный план 0 Уточненный план Исполнено % испол 0, 00 0 МО "Аканинский наслег" 89, 7 94, 10 100, 00 МО "Бордонский наслег" 193, 6 203, 55 100, 00 МО "Дикимдинский наслег" 84, 4 95, 61 100, 00 МО "Едейский наслег" 35, 7 35, 81 100, 00 МО "Жарханский наслег" 84, 8 85, 84 100, 00 МО "Кангаласский наслег" 88, 2 92, 35 100, 00 МО "Кюндядинский наслег" 93, 9 98, 88 100, 00 МО "Мальжагарский наслег" 88, 7 98, 14 98, 15 100, 00 МО "Мархинский наслег" 87, 8 90, 81 100, 00 МО "Мегежекский наслег" 88, 8 94, 72 100, 00 МО "Нюрбачанский наслег" 94, 5 91, 01 100, 00 393, 2 426, 30 100, 00 МО "Сюлинский наслег" 86, 4 90, 14 100, 00 МО "Таркаинский наслег" 94, 2 99, 92 100, 00 МО "Тюмюкский наслег" 95, 6 102, 95 100, 00 МО "Хорулинский наслег" 95, 6 100, 48 100, 00 МО "Чаппангдинский наслег" 93, 6 93, 81 100, 00 МО «Чукарский наслег « 91, 3 92, 95 92, 96 100, 00 1980, 1 2 087, 37 100, 00 МО "Октябрьский наслег" ВСЕГО:
Субсидии поселениям за 2012 год Наименование поселения Утвержденный план Уточненный план Исполнено % испол МО "Город Нюрба" 0 75 853, 61 50 572, 34 66, 7 МО "Аканинский наслег" 0 641, 41 100 МО "Бордонский наслег" 0 1 199, 45 100 МО "Дикимдинский наслег" 0 252, 71 100 МО "Едейский наслег" 0 2 202, 25 2 202, 26 100 МО "Жарханский наслег" 0 235, 95 100 МО "Кангаласский наслег" 0 303, 34 100 МО "Кюндядинский наслег" 0 539, 76 100 МО "Мальжагарский наслег" 0 440, 49 100 МО "Мархинский наслег" 0 1 039, 06 100 МО "Мегежекский наслег" 0 917, 29 100 МО "Нюрбачанский наслег" 0 1 458, 44 100 МО "Октябрьский наслег" 0 4 503, 15 3 493, 78 77, 6 МО "Сюлинский наслег" 0 1 162, 97 100 МО "Таркаинский наслег" МО "Тюмюкский наслег" МО "Хорулинский наслег" 0 0 0 322, 76 427, 54 259, 83 322, 75 427, 54 259, 83 100 100 МО "Чаппангдинский наслег" МО «Чукарский наслег" ВСЕГО: 0 0 0 3 815, 53 325, 09 95 900, 63 3 815, 53 325, 09 69 609, 99 100 72, 6
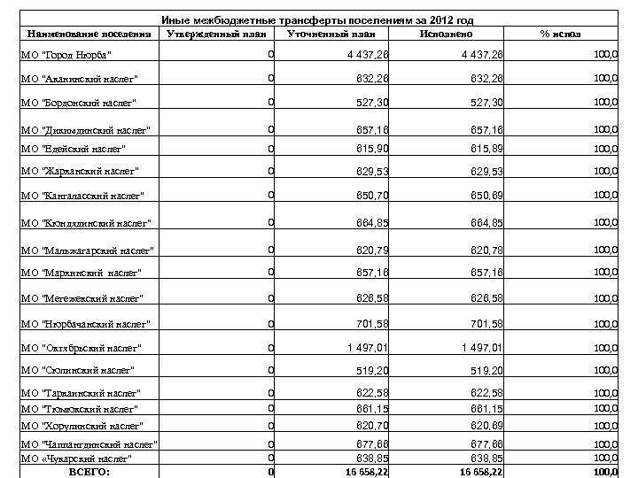
Иные межбюджетные трансферты поселениям за 2012 год Наименование поселения Утвержденный план Уточненный план Исполнено % испол МО "Город Нюрба" 0 4 437, 26 100, 0 МО "Аканинский наслег" 0 632, 26 100, 0 МО "Бордонский наслег" 0 527, 30 100, 0 МО "Дикимдинский наслег" 0 657, 16 100, 0 МО "Едейский наслег" 0 615, 90 615, 89 100, 0 МО "Жарханский наслег" 0 629, 53 100, 0 МО "Кангаласский наслег" 0 650, 70 650, 69 100, 0 МО "Кюндядинский наслег" 0 664, 85 100, 0 МО "Мальжагарский наслег" 0 620, 79 620, 78 100, 0 МО "Мархинский наслег" 0 657, 16 100, 0 МО "Мегежекский наслег" 0 626, 58 100, 0 МО "Нюрбачанский наслег" 0 701, 58 100, 0 МО "Октябрьский наслег" 0 1 497, 01 100, 0 МО "Сюлинский наслег" 0 519, 20 100, 0 МО "Таркаинский наслег" МО "Тюмюкский наслег" 0 0 622, 58 661, 15 100, 0 МО "Хорулинский наслег" 0 620, 70 620, 69 100, 0 МО "Чаппангдинский наслег" МО «Чукарский наслег" ВСЕГО: 0 0 0 677, 66 638, 85 16 658, 22 100, 0
9ba9ca76840d2bc9726afd3442a2b1df.ppt