63a934f3d014fe343478e799c5f18406.ppt
- Количество слайдов: 46
Immuno-epidemiology of malaria Klaus Dietz Department of Medical Biometry University of Tübingen, Germany DIMACS Worksop 11 -13 December 2006
Outline • • • What is immuno-epidemiology? What is malaria? Why model malaria immunity? Malaria immunity models: a brief history A within-host malaria model Concluding remarks
Serological surveys as immuno-epidemiological tools Desowitz RS, Saave JJ, Stein B. The application of the indirect haemagglutination test in recent studies on the immuno-epidemiology of human malaria and the immune response in experimental malaria. Mil Med. , 131: 1157 -1166 (1966). Suzuki M. Malaria immuno-epidemiology: a trial to link field study with basic science. Gaoxiong Yi Xue Ke Xue Za Zhi. 7: 224 -232 (1991). . . malaria serological assessment was carried out in endemic areas in Haiti, Indonesia, Sudan and in Brazil Amazon. The serological survey was useful in finding latent foci in a controlled area, for the assessment of past epidemics, . .
A theoretical framework for immuno-epidemiology Woolhouse, M. E. J. et al. : Acquired immunology and epidemiology of Schistosoma haematobium. , Nature 351, 757759, 1991 („Acquisition of this immunity seems to be related to the cumulative effects of repeated infection and provides only partial protection. These characteristics are consistent with immuno-epidemiological data for both S. mansoni and S. haematobium infections of humans. “)
Hellriegel, B. : Immunoepidemiology-bridging the gap between immunology and epidemiology. Trends in Parasitology, 17, 102 -106, 2001 „Immunoepidemiology combines individual - and population-oriented approaches to create new perspectives. It examines how inter-individual differences in immune responses affect the population dynamics of micro- and macro-parasites to produce the epidemiological patterns of infection observed in heterogeneous host populations. “
A cartoon of immuno-epidemiological models Parasite density Immunity level Morbidity level
STI project on the mathematical modeling of the impact of malaria vaccines on the clinical epidemiology and natural history of Plasmodium falciparum malaria Thomas A. Smith and team • Many millions of simulation runs, each in the order of hours • Need for supercomputing
Network Computing
Volunteer Computing Project
Malaria cycle Source: Wellcome Trust
Infected Red Blood Cells (IREs) by asexual (red) and sexual (green) parasites in Patient G 141
n = 54; mean 212 days, median 216 days
Present geographical distribution of malaria
The challenge of malaria The President And Mrs. Bush Will Host The White House Summit On Malaria On December 14, 2006, In Washington, DC, To Discuss And Highlight Measures For Combating This Preventable Disease In June, President Bush announced a new commitment to combat malaria. His proposal calls for an additional $1. 2 billion over the next five years. The money will pay for insecticide-treated nets, it will allow for indoor spraying against mosquitoes, and it will provide effective new combination drugs to treat malaria. Our goal with this new funding is to reach more than 175 million people in 15 nations. (1. 37 $/Person/year)
Growth of the yearly number of malaria publications Doubling time: 10 years and 7 months
Why model malaria immunity? • Not necessary, if one is aiming for eradication: • Macdonald, G. : Theory of the eradication of malaria. Bull. WHO 15, 369 -387, 1956. • WHO global malaria eradication campaign 1955
Original Eradication Plans • Interruption of transmission of main species infecting humans by DDT spraying • Malaria disappears spontaneously in under 3 years Source: Gabaldon
Pampana: Textbook on malaria eradication • If malaria eradication will be achieved it will be first of all due to the computer • Macdonald: DDT spraying and mass drug administration every two months will interrupt malaria transmission in Africa
(graph by Martin Eichner) hypo- meso- hyper- holo-endemic Cerebral malaria incidence (per 1000 per year) (ages 0 -9 years) 3. 0 Sukuta (Gambia) 2. 5 2. 0 Kilifi N (Kenya) 1. 5 Kilifi S (Kenya) 1. 0 0. 5 Siaya (Kenya) Bakau (Gambia) 0 0 0. 5 1. 0 1. 5 Force of infection (per year) 2. 0 2. 5 Snow et al. (1997) The Lancet
Points of attack of potential malaria vaccines Smith et al (2006)
Malaria immunity models • Dietz, K: Mathematical models for transmission and control of malaria. 10911133 (1988) • Molineaux, L and Dietz, K: Review of intra-host models of malaria. Parassitologia 41: 221 -231 (1999) • Mc. Kenzie, FE and Bossert, WH: An integrated model of Plasmodium falciparum dynamic. J Theor. Biology 232, 411 -426 (2005)
Ronald Ross (1857 -1932) Second Nobel price in Medicine in 1902
Infection without (Ross) and with (Macdonald) superinfections Ross („premunition“) 0 1 Macdonald 0 1 k
Age-specific prevalence
Prevalence by age
Implications of unrealistic assumptions about the strength of immunity • Underestimating the strength of immunity leads to an • underestimate of the basic reproduction number and consequently an • underestimate of the necessary eradication efforts and an • overestimate of the expected control effects
Garki Model (Dietz, Molineaux, Thomas, 1974) Garki Book (Molineaux L and Gramiccia G, 1980 http: //whqlibdoc. who. int/publications) Garki Data: http: //www. sti. ch/de/forschung/biostatistics/downloads. html
Garki model fit
Fit to Garki data of the STI project
Prevalence by vectorial capacity
Gupta, S. and Day, K. P. : A theoretical framework for the immunoepidemiology of Plasmodium falciparum malaria. Parasite Immunology, 16, 361 -370 (1994) 0 1 2 k n
„Might malaria yield to mathematics“ (Economist, March 12 th 1994) „Recent epidemiological work suggests that there may be a stronger chance of controlinling malaria than was once thought likely… Comparing the distribution of the strains among people by age with the spread produced by their* model, they found a very close match if the average number of secondary cases caused by a single case was between six and seven. “ *Gupta, Anderson, Day and Trenholme
Innate and adaptive immunity Stevenson and Riley (2004) • Research on the immunology of malaria has tended to focus on adaptive immunity • Accumulating evidence…indicates a crucial role for innate immune responses in protective immunity to malaria • Innate responses are essential to limit the initial phase of parasite replication, controlling the first wave of parasitemia and allowing the host time to develop specific adaptive responses that will enable the infection to be cleared
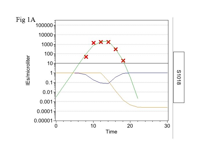
Fig 1 A
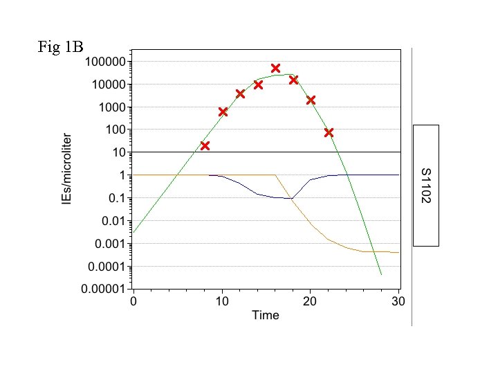
Fig 1 B
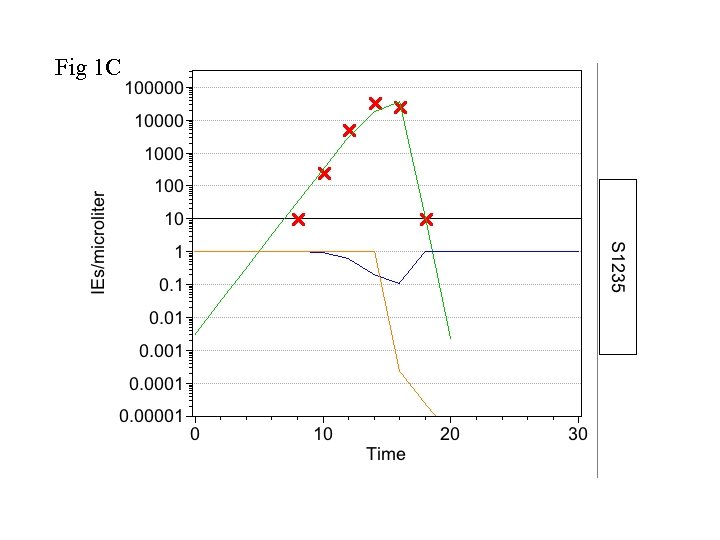
Fig 1 C
Correlations between innate immunity threshold, parasite growth rate and peak density
Correlation between innate and adaptive immunity thresholds and between two parameters for adaptive immunity
Feverthresholds
Vaccine effect on initial multiplication factor
Fig 3 B A 4 3 2 1 0
Vaccine efficacy
Conclusions from the within-host model for the first wave • The 800 data points for 100 patients could well be described by a simple model with four interpretable parameters per patient. • All parameters show large variation. • The maximum parasitaemia is mainly controlled by innate immunity. • The benefit of a vaccine targetting the asexual blood stages is expected to be strongly host dependent. • At low immunogenicity the expected vaccine efficacy against severe malaria is much higher than against fever.
Concluding remarks • Historic data (neurosyphilis patients, Garki project) are still relevant today and in the future because new data about the natural course of malaria can for ethical reasons no longer be collected. • Estimates for basic reproduction numbers are model dependent. • In spite of the fact that malaria is probably the disease with the largest number of models there is still no generally acceptable model.
Acknowledgements • Louis Molineaux, Geneva • Tom Smith and his team at the STI, Basle • Martin Eichner, Günter Raddatz, Tübingen


