4ed63200e6baf274b575f9f770428807.ppt
- Количество слайдов: 26
How well can we measure the vertical profile of aerosol extinction? Aerosol layers over Oklahoma as seen from Twin Otter on May 27, 2003 Photo courtesy of Roy Woods
B. Schmid [1], R. Ferrare [2], C. Flynn [3], R. Elleman [4], D. Covert [4], A. Strawa [5], E. Welton [6], J. Barnard [3], M. Bartholomew [7], M. Clayton [8], J. Eilers [5], G. Hallar [5], B. Holben [6], H. Jonsson [9], J. Michalsky [10], J. Redemann [1], K. Ricci [11], A. Smirnov [12], D. Turner [3] [1] Bay Area Environmental Research Institute, Sonoma, CA [2] NASA Langley Research Center, Hampton, VA [3] Pacific Northwest National Laboratory, Richland, WA [4] University of Washington, Seattle, WA [5] NASA Ames Research Center, Moffett Field, CA [6] NASA GSFC, Greenbelt, MD [7] Brookhaven National Laboratory, Upton, NY [8] SAIC/NASA Langley Research Center, Hampton, VA [9] Center for Interdisciplinary Remotely-Piloted Aircraft Studies, Marina, CA [10] NOAA/CMDL, Boulder, CO [11] Los Gatos Research, Mountain View, CA [12] GEST/UMBC/ NASA GSFC, Greenbelt, MD
How do we measure the vertical profile of aerosol extinction? Airborne: • Nepehelometer+PSAP • Cavity-Ring-Down (Cadenza) • Sunphotometry (AATS 14) Ground based: • Raman Lidar (CARL) • MPLNET Photo courtesy Yin-Nan Lee, BNL
Airborne in-situ measurement of Extinction = Absorption + Scattering • Particle Soot Absorption • Nephelometers – TSI: l = 450, 550, 700 nm, Photometer (PSAP) low RH § l=467, 530, 660 nm • low RH • Corrections (Bond et al. , 1999, Virkkula et al, 2004) – scattering contribution – loading correction – ambient p, T – RR: l = 540 nm, RH=20, 60, 85% • Corrections (Anderson & Ogren, 1998) – light source – angular truncation (7°-170°) – ambient RH, p, T
Extinction from Airborne Cavity Ring-Down System Iout(t) Iin(t) ring-down cavity time Aerosol was sampled at low RH (comparable to TSI) Used RR-Neph measured growth curve to adjust to ambient RH
NASA Ames Airborne Tracking Sunphotometer AATS-14: 354 -2139 nm Aerosol Optical Depth and H 2 O column Aerosol Extinction and H 2 O density in suitable profiles
Raman Lidar • Aerosol Extinction profiles l=355 nm • Unnoticed loss of sensitivity leading up to AIOP • Automated algorithms had to be modified to reduce impact of sensitivity loss. • Significant upgrades/mods were performed after AIOP resulting in significantly better performance than during any other time. Photo courtesy Yin-Nan Lee, BNL
• Backscatter Lidar • Deployed during AIOP (in SMART trailer) • Aerosol Extinction profiles l=523 nm • AOD anchored to AERONET, BER constant with altitude • Level 2. 0 (ext. prof. when valid AERONET AOD) • Periodic overheating problems
MPLARM • Backscatter Lidar • Deployed permanently at SGP • Aerosol Extinction profiles l=523 nm is a new product in b-stage • AOD anchored to NIMFR, BER constant with altitude
ARM Aerosol IOP – May 2003 CIRPAS Twin Otter Focus on data obtained in vertical profiles over SGP CF Altitudes: ~90 – 5600 m
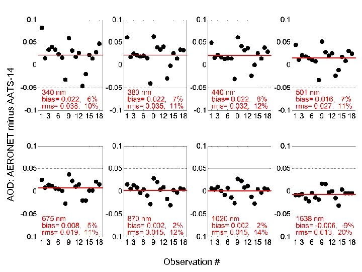
Observation # AOD: AERONET minus AATS-14
Observation # AOD: NIMFR minus AATS-14
How well did past campaigns do on AATS vs Neph+PSAP comparisons? Eastern Asia, 2001 U. S. East Coast, 1996, Bias -14% (Hegg et al. , 1997, Hartley et al. , 2000) C-130: Bias: +6% Redemann et al. , 2003 Twin Otter: Bias -13% Canary Islands, 1997, Bias -20% Schmid et al. , 2003 (after inlet correction) (Schmid et al. , 2000) U. S. East Coast, 2001, Bias -15% Magi et al. (2004) Aerosol IOP Southern Africa, 2000, Bias -4% (Magi et al. , 2003) Oklahoma, 2003, Bias -14%
Conclusions • When compared to airborne sunphotometer extinction, in -situ measurements are biased low (2 - 4 Mm-1 VIS 12 -17%, NIR 45%) • Looking at results from 6 field campaigns, airborne Neph+PSAP measurements of extinction tend to be biased slightly low (<15%, VIS) when compared to airborne sunphotometer extinction. • Micro-Pulse Lidar measurements biased high – MPLNET 4 Mm-1, 13% – MPLARM 7 Mm-1, 24% • Raman Lidar measurements biased high (29 Mm-1 UV 54%). We expect better agreement from a “healthier” Raman lidar.
Suggestion to AWG • Improved Raman Lidar needs validation • Newly developed MPLARM extinction profile algos need validation • Enhanced IAP plane will need validation With a small amount of flight hours (i. e. AATS-14 on J-31) these objectives could be met in a cost effective way


