31ac64e7cdf550e6099472fcce2d23be.ppt
- Количество слайдов: 46
Гранулярность (granularity)
Обобщая сказанное
Эксперимент 1: цель
Эксперимент 1: материал
Эксперимент 1: материал
Эксперимент 1: гипотезы
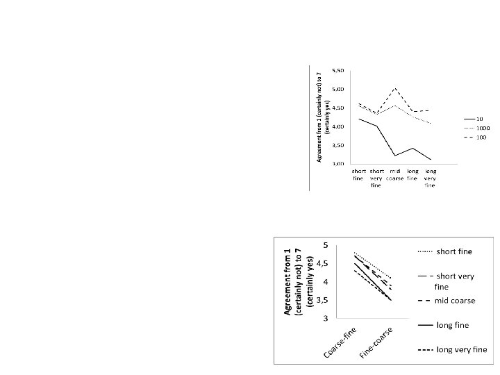
Эксперимент 1: результаты
Эксперимент 1: обсуждение
Наречные модификаторы
Наречные модификаторы
Интерпретации прилагательных
Интерпретации прилагательных (прод. )
Интерпретации прилагательных (прод. )
Экспримент 2: гипотезы
Экспримент 2: материал
Экспримент 2: материал
Эксперимент 2: материал
Эксперимент 2: результаты
Эксперимент 2: результаты
Эксперимент 3: материал
Эксперимент 3: материал
Эксперимент 3: результаты
Эксперимент 3: результаты
Эксперимент 3: обсуждение
Эксперимент 4: материал
Эксперимент 4: материал
Эксперимент 4: результаты
Эксперимент 4: результаты
Level of fit: agreement task vs. entailment task
Совершенно большое спасибо за Ваше внимание!
31ac64e7cdf550e6099472fcce2d23be.ppt