Скачать презентацию Геометрическая прогрессия Геометрическая прогрессия это числовая Скачать презентацию Геометрическая прогрессия Геометрическая прогрессия это числовая

3dcfa9f391528bebb86c4ad327a1b8d3.ppt

  • Количество слайдов: 14

Геометрическая прогрессия Геометрическая прогрессия

Геометрическая прогрессия – это числовая последовательность, первый член которой отличен от нуля и каждый Геометрическая прогрессия – это числовая последовательность, первый член которой отличен от нуля и каждый член, начиная со второго равен предыдущему умноженному на одно и тоже не равное нулю число. -геометрическая прогрессия, если для всех натуральных n выполняется равенство -знаменатель геометрической прогрессии (число)

-геометрическая прогрессия знаменатель геометрической прогрессии (число) -геометрическая прогрессия знаменатель геометрической прогрессии (число)

Формула n-го члена геометрической прогрессии Формула n-го члена геометрической прогрессии

Характеристическое свойство геометрической прогрессии Характеристическое свойство геометрической прогрессии

Если все члены прогрессии положительны, то каждый член геометрической прогрессии, начиная со второго, равен Если все члены прогрессии положительны, то каждый член геометрической прогрессии, начиная со второго, равен среднему геометрическому двух соседних с ним членов.

Сумма n первых членов геометрической прогрессии Сумма n первых членов геометрической прогрессии

Дано: (bn)= b 1; b 2; b 3; …; bn- геометрическая прогрессия. Найти: Sn Дано: (bn)= b 1; b 2; b 3; …; bn- геометрическая прогрессия. Найти: Sn Решение: Sn= b 1+ b 2+ b 3+…+ bn · q q. Sn=b 1 q+b 2 q+b 3 q+…+bn-1 q+bnq q. Sn- Sn= bnq- b 1 Sn·(q-1) = bnq- b 1

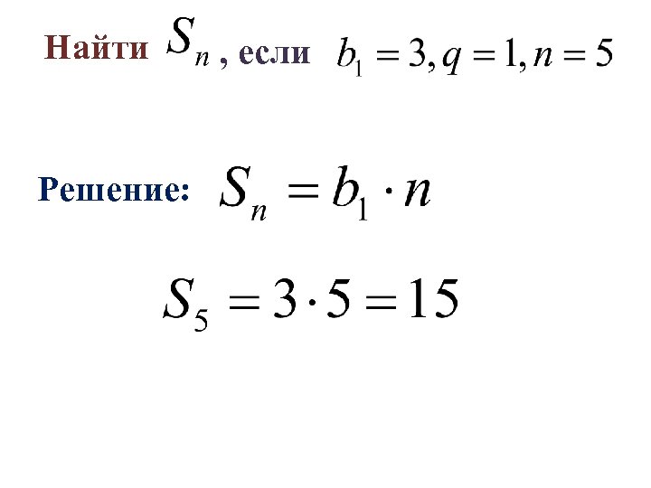
? Если q=1, то Sn= n∙b 1 ? Если q=1, то Sn= n∙b 1

Найти Решение: , если Найти Решение: , если

Найти , если Решение: -дробь не имеет смысла Как найти сумму? Найти , если Решение: -дробь не имеет смысла Как найти сумму?

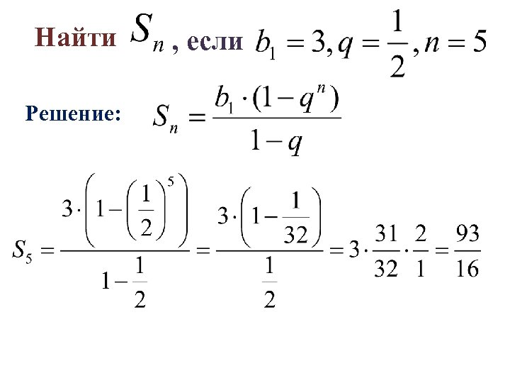
Сумма n первых членов геометрической прогрессии Если то Сумма n первых членов геометрической прогрессии Если то

Найти Решение: , если Найти Решение: , если

Сумма n первых членов геометрической прогрессии если Сумма n первых членов геометрической прогрессии если