Скачать презентацию ФОТОПРОВОДИМОСТЬ ФП Фотопроводимость п п Скачать презентацию ФОТОПРОВОДИМОСТЬ ФП Фотопроводимость п п

04-ФОТОПРОВОДИМОСТЬ-22.pptx

  • Количество слайдов: 23

ФОТОПРОВОДИМОСТЬ (ФП) ФОТОПРОВОДИМОСТЬ (ФП)

 • Фотопроводимость п/п – увеличение электропроводности под действием электромагнитного излучения. 2 • Фотопроводимость п/п – увеличение электропроводности под действием электромагнитного излучения. 2

 • Собственная ФП – возникает при поглощении фотонов с энергией ≥ Е. • • Собственная ФП – возникает при поглощении фотонов с энергией ≥ Е. • Примесная ФП - возникает при поглощении фотонов с энергией энергии активации примеси. 3

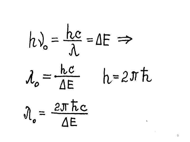
 • Красная граница ФП – максимальная , при которой еще есть ФП. Для • Красная граница ФП – максимальная , при которой еще есть ФП. Для собственных п/п красная граница соответствует видимой области спектра, для примесных – ИК-области. 4

5 5

Зависимость коэффициента поглощения от длины волны • ФП проявляется в узком спектральном интервале. 7 Зависимость коэффициента поглощения от длины волны • ФП проявляется в узком спектральном интервале. 7

Зависимость фототока от длины волны • В коротковолновой части – большая скорость рекомбинации в Зависимость фототока от длины волны • В коротковолновой части – большая скорость рекомбинации в тонком поверх. слое (≈1 мкм). 8

9 9

 энергия активации примеси. 10 энергия активации примеси. 10

Динамика изменения концентрации носителей Динамика изменения концентрации носителей

Обозначения • I – интенсивность света (число фотонов, проходящих через единицу поверхности в единицу Обозначения • I – интенсивность света (число фотонов, проходящих через единицу поверхности в единицу времени); • К – коэффициент поглощения фотонов; • β – квантовый выход (сколько зарядов образует 1 фотон, безразмерная величина) 12

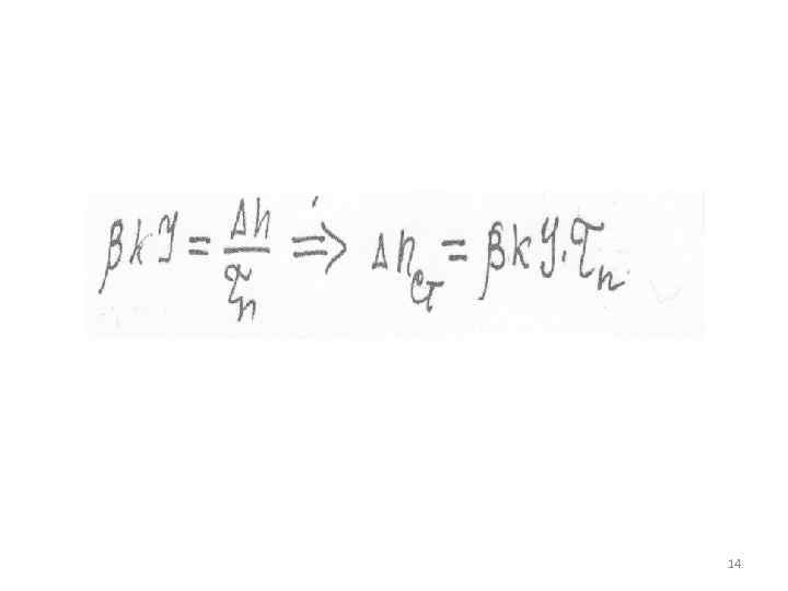
 • 13 • 13

14 14

Виды рекомбинации 1) Линейная рекомбинация: п/п примесный, время жизни носителей заряда не зависит от Виды рекомбинации 1) Линейная рекомбинация: п/п примесный, время жизни носителей заряда не зависит от интенсивности света. 15

 • фотопроводимость; с – постоянная установки; r – расстояние до источника света. 16 • фотопроводимость; с – постоянная установки; r – расстояние до источника света. 16

2) Квадратичная рекомбинация : п/п собственный, время жизни носителей заряда зависит от интенсивности света. 2) Квадратичная рекомбинация : п/п собственный, время жизни носителей заряда зависит от интенсивности света. 17

18 18

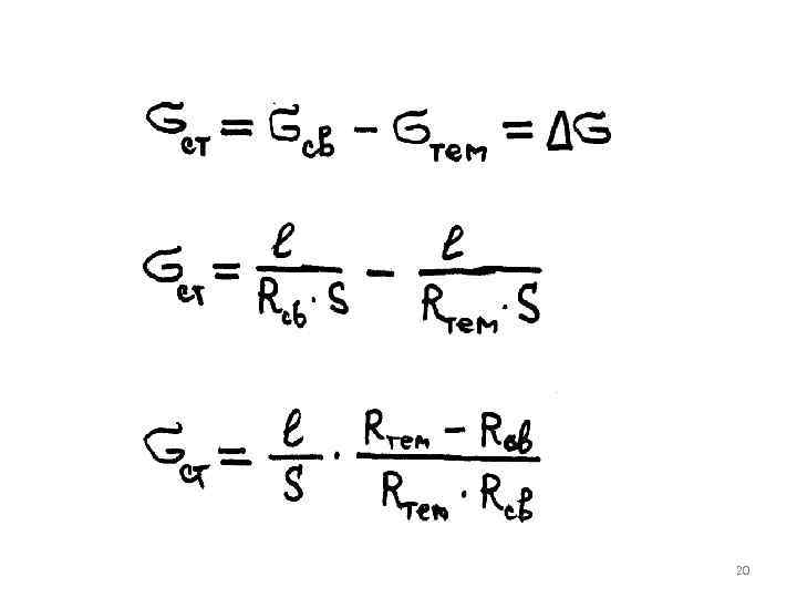
Метод определения фотопроводимости 19 Метод определения фотопроводимости 19

20 20

Экситоны • Это квазичастицы – электрически нейтральные связанные состояния электрона и дырки. 21 Экситоны • Это квазичастицы – электрически нейтральные связанные состояния электрона и дырки. 21

 • Экситоны образуются, если энергия возбуждения меньше ширины запрещенной зоны. • Образование экситонов • Экситоны образуются, если энергия возбуждения меньше ширины запрещенной зоны. • Образование экситонов не приводит к образованию дополнительных носителей заряда. 22

23 23