15 формы представления петрохим данных.pptx
- Количество слайдов: 43
ФОРМЫ ПРЕДСТАВЛЕНИЯ ПЕТРОХИМИЧЕСКИХ ДАННЫХ
• Петрохимические данные представляют в виде таблиц и графиков. • Первичный аналитический материал следует представлять в виде таблиц. Это дает возможность использовать его в дальнейших исследованиях. • Также широко используются петрохимические коэффициенты.
Что должно быть в курсовой работе • Таблица первичных анализов. • Для каждого анализа вычислены петрохимические коэффициенты железистости, коэффициент окисления железа, глиноземистости, агпаитности. • Построены диаграммы: Диаграмма Петрокомитета или TAS (для всех типов пород) Диаграммы Харкера (для всех типов пород), AFM (для ультраосновных, средних пород), бинарные диаграммы ОКСИД vs Mg. O (для ультраосновных, основных пород), Диаграмма Na. Al. K (для высокоглиноземистых или щелочных пород) Диаграмма Маниара и Пикколи (для гранитов) Диаграмма Фроста (для гранитов) Диаграмма Заварицкого (для всех типов пород, по желанию руководителя)
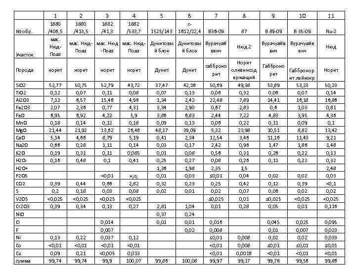
1 № обр. Участок 2 3 4 5 6 7 8 9 10 11 1880 /406, 5 мас. Нюд. Поаз 1880 /413, 5 1882 /41, 3 1882 /533, 7 1525/143 с1612/22, 4 В 36 -09 87 В 89 -09 В 35 -09 Nu-2 мас. Нюд- Дунитовы Вурэчуай Поаз -Поаз й блок венч Порода норит Дунит Si. O 2 Ti. O 2 Al 2 O 3 Fe. O Mn. O Mg. O Ca. O Na 2 O K 2 O H 2 O+ P 2 O 5 CO 2 S V 2 O 5 Cr 2 O 3 Ni. O Cl F Ni Co Cu сумма 52, 77 0, 12 7, 12 2, 07 6, 95 0, 18 21, 44 5, 14 0, 66 0, 19 0, 16 50, 75 0, 07 6, 57 2, 36 6, 92 0, 14 21, 92 4, 66 0, 28 0, 31 0, 48 52, 79 0, 11 15, 46 0, 77 4, 22 0, 12 13, 62 8, 79 1, 11 0, 1 43, 72 0, 08 4, 96 4, 31 5, 9 0, 18 26, 46 5, 19 0, 14 0, 085 0, 41 0, 44 0, 18 <0, 025 0, 34 <0, 01 0, 66 0, 03 <0, 025 0, 13 н, о, 2, 82 0, 08 <0, 025 0, 27 37, 47 0, 07 1, 34 3, 86 0, 09 48, 17 0, 41 0, 03 0, 01 0, 25 1, 36 0, 01 0, 32 0, 02 42, 16 0, 13 2, 42 2, 90 6, 83 0, 13 39, 09 2, 34 0, 17 0, 08 0, 27 1, 98 0, 03 0, 23 0, 01 1, 04 0, 24 0, 01 0, 02 0, 22 <0, 01 0, 21 99, 74 0, 014 0, 007 0, 037 <0, 01 <0, 005 99, 9 2, 81 0, 37 0, 01 0, 39 0, 2 <0, 025 0, 39 0, 13 <0, 01 0, 09 99, 74 0, 12 <0, 013 100, 07 99, 86 100, 08 Нюд 2 Норит габброно оливинсод рит ержащий 50, 69 49, 38 0, 06 0, 32 22, 48 7, 89 0, 67 2, 83 2, 44 7, 22 0, 06 0, 22 5, 32 23, 98 12, 54 3, 46 2, 42 0, 96 0, 56 0, 31 0, 08 0, 26 2, 35 1, 5 ≤ 0, 01 0, 04 0, 25 0, 42 0, 07 ≤ 0, 025 0, 01 0, 28 0, 016 0, 008 ≤ 0, 01 <0, 01 99, 97 0, 008 0, 0016 99, 17 Вурэчуайв енч Габбронор рит ит лейкокр 53, 89 53, 23 0, 06 0, 07 14, 41 16, 18 0, 6 1, 03 4, 83 3, 95 0, 11 0, 09 10, 51 8, 82 11, 16 11, 43 1, 47 1, 86 0, 22 0, 11 0, 22 Нюд Норит 0, 02 0, 12 0, 06 ≤ 0, 025 0, 02 0, 39 0, 02 <0, 025 0, 01 50, 23 0, 14 16, 86 0, 81 4, 36 0, 1 13, 42 9, 21 1, 48 0, 13 0, 32 2, 48 0, 03 <0, 1 0, 02 <0, 025 0, 116 0, 045 0, 01 0, 02 ≤ 0, 01 <0, 01 99, 76 0, 025 0, 007 0, 02 ≤ 0, 01 <0, 01 99, 56 0, 095 0, 023 0, 033 ≤ 0, 01 <0, 01 99, 86
• В примечании к таблице указывается, в каких единицах измерены содержания компонентов, обозначения (не обн. не опр. ); • для каждого образца - название породы, номер, место отбора, автор коллекции, где выполнен анализ,
• Для того, чтобы в наибольшей степени приблизить состав породы к первичному, надо пересчитать химический анализ на 100% сухого вещества, т. е. вычесть содержания H 2 O, CO 2, SO 3, П. П. П. и пр. , а остаток привести к 100%.
Только петрогенные компоненты
Приведение к 100%
Исходные данные: мас. %
Fe. O ` = 0, 9 Fe 2 O 3 + Fe. O
• Простейшими и часто используемыми петрохимическими графиками являются двойные диаграммы в ортогональной системе координат: • 1. ДИАГРАММЫ ХАРКЕРА (Альфред Харкер – английский петролог начала ХХ века) • 2. Кроме диаграмм Харкера используют двойные графики, на которых вдоль одной оси откладываются Mg. O или другие величины.
Диаграммы Харкера Ti. O 2, мас. % 0. 35 Al 2 O 3, мас. % 25 0. 3 20 0. 25 23. 12 17. 41 16. 7 15. 9 14. 8 15 0. 2 0. 15 10 0. 1 5. 43 5 0. 05 1. 37 0 0 30 40 50 30 60 Si. O 2, мас. % Fe 2 O 3, мас. % 5 4 3. 5 3 2. 5 2 1. 5 1 0. 5 0 40 8. 15 7. 34 6. 97 2. 49 50 60 Si. O 2, мас. % Fe. O, мас. % 8 7 6 5 4 3 2 1 0 30 40 50 60 Si. O 2, мас. %
Диаграммы Харкера Fe. O сумм, мас. % 12 Mn. O, мас. % 0. 25 10 0. 2 8 0. 15 6 0. 1 4 0. 05 2 0 30 40 50 0 60 Si. O 2, мас. % 30 40 50 60 Si. O 2, мас. % Ca. O, мас. % Mg. O, мас. % 60 14 12 50 10 40 8 30 6 20 4 10 2 0 30 40 50 60 Si. O 2, мас. % 0 30 40
Диаграммы Харкера K 2 O, мас. % 0. 7 Na 2 O, мас. % 3 0. 6 2. 5 0. 5 2 0. 4 1. 5 0. 3 1 0. 2 0. 5 0. 1 0 0 30 40 50 30 60 Si. O 2, мас. % 40 50 60 Si. O 2, мас. % Cr 2 O 3, мас. % 3. 5 3 2. 5 2 1. 5 1 0. 5 0 30 40 50 60 Si. O 2, мас. %
Bivariate (x-y) diagrams Harker diagram for Crater Lake Figure 8. 2. Harker variation diagram for 310 analyzed volcanic rocks from Crater Lake (Mt. Mazama), Oregon Cascades. Data compiled by Rick Conrey (personal communication).
Bivariate (x-y) diagrams Harker diagram for Crater Lake Figure 8. 2. Harker variation diagram for 310 analyzed volcanic rocks from Crater Lake (Mt. Mazama), Oregon Cascades. Data compiled by Rick Conrey (personal communication).
Alkali vs. Silica diagram for Hawaiian volcanics: Seems to be two distinct groupings: alkaline and subalkaline Figure 8. 11. Total alkalis vs. silica diagram for the alkaline and sub-alkaline rocks of Hawaii. After Mac. Donald (1968). GSA Memoir 116
Для ультраосновных, и средних пород часто используют бинарные диаграммы, где по оси абсцисс откладывается содержание Mg. O, а по оси ординат – прочие петрогенные элементы.
The major element chemistry of MORBs “Fenner-type” variation diagrams for basaltic glasses from the Afar region of the MAR. Note different ordinate scales. From Stakes et al. (1984) J. Geophys. Res. , 89, 69957028. Decrease in Mg. O and relative increase in Fe. O early differentiation trend of tholeiites
• Классификационная диаграмма Si. O 2 – (Na 2 O+K 2 O) по существу является диаграммой Харкера, на которую нанесены средние составы всех магматических пород. • Строго говоря, сложение Na 2 O+K 2 O (мас. %) некорректно, поскольку молекулярные массы Na 2 O (62) и K 2 O (94) отличаются в полтора раза. Правильнее представлять эту сумму в молекулярных количествах или вводить поправку: 1, 5 Na 2 O+K 2 O, мас. % или Na 2 O+0, 7 K 2 O, мас. %. • То есть, классификационная диаграмма предполагает упрощение, недопустимое при строгих пересчетах.
• Во многих случаях используются не мас. %, а молекулярные или атомные количества. • Во всех случаях, когда суммируются содержания разных оксидов или хим. элементов, эти содержания должны быть выражены в молекулярных или атомных количествах !!!!!!
• Молекулярное количество (М)– это величина, пропорциональная числу молекул того или иного химического соединения в единице массы. М Содержание (мас. %) (из таблицы хим. анализов = Молекулярная масса (из табл. Менделеева) х 1000
МОЛЕКУЛЯРНЫЕ МАССЫ НЕКОТОРЫХ ОКСИДОВ Si. O 2 Ti. O 2 Al 2 O 3 Fe. O Mn. O Mg. O Ca. O Na 2 O K 2 O P 2 O 5 H 2 O П. п. п. 60 80 102 160 72 71 40 56 62 94 142 18 18
Исходные данные: молекулярные количества
Важные петрохимические параметры • Петрохимические коэффициенты могут быть представлены в различной форме (используются молекулярные или атомные количества!!!) • Коэффициент железистости. Он отражает соотношения Fe и Mg в силикатах (оливине, пироксенах, амфиболах, биотите и др. ), а также относительное количество оксидов железа (магнетит, ильменит и пр. ). • • f 1 = Fe. O`/ (Fe. O` + Mg. O) = Fe / (Fe + Mg) • f 2 = Fe. O` / Mg. O = Fe / Mg • • Магнезиальное число (М) характеризует долю магния от суммы железа и магния или отношение Mg/Fe 2+: • • M 1 = 1 – f 1; M 2 = 1/f 2 • Коэффициент окисления железа • φ1 = Fe 203 / (Fe 2 O 3 + Fe. O) • φ2 = Fe 203 / Fe. O
Важные петрохимические параметры • Коэффициент агпаитности указывает на наличие или отсутствие в породе натриевых цветных минералов : пироксена (эгирина) или амфибола (арфведсонита, рибекита и др. ). При наличии этих минералов Ка > 1. Если всё количество Na и К заключено в полевых шпатах, то Ка ≤ 1. • Ка = (Na 2 O + K 2 O) / Al 2 O 3 = (Na + K) / Al • •
Важные петрохимические параметры Коэффициент глиноземистости al 1 = Al / (2 Ca + Na + K); al 2 = (2 Ca + Na + K - Al) / 2 Ca. Этот параметр отражает степень насыщения пород алюминием относительно стехиометрии полевых шпатов (al 1 = 1 и al 2 = 0). • В породах с al 1 > 1 и al 2 < 0, кроме полевых шпатов, содержатся высокоглиноземистые минералы: слюды, силлиманит, кордиерит, гранат и др. • В породах с 0 ≤ al 2 ≤ 1, Са, Na и K заключены преимущественно в полевых шпатах. • Если al 1 < 1 и al 2 > 1, то это указывает на наличие в породе натриевых цветных минералов (при этом Ка > 1). • •
Важные петрохимические параметры • • • Отношения Na и K: N 1 = Na 2 O / (Na 2 O +K 2 O) = Na / (Na + K) N 2 = Na 2 O / K 2 O = Na / K K 1 = K / (Na + K) = 1 - N 1 K 2 = K / Na = 1 / N 2
Диаграмма AFM Тройная диаграмма Молекулярные количества А = Na 2 O + K 2 O F = Fe. O` = 0, 9 Fe 2 O 3 + Fe. O M = Mg. O Привести к 100% Внимание! Возможна ложная корреляция!
ДИАГРАММА AFM, Wager, Deer, 1939, — тройная, треугольная петрохим. диаграмма, в которой переменными величинами являются хим. компоненты в окисной форме (в вес. %): М = Mg. O, F = Fe. O, А = (Na 2 O + К 2 О). В дальнейшем разл. авторами Д. AFM неоднократно модифицировалась в отношении F, величина которого принималась равной Fe. O + 0, 9 Fe 2 O 3 или Fe. O + Fe 2 O 3 (Kuno, 1959; Shimasu, 1963). На Д. AFM хорошо различаются серии, в которых преобладает разделение железомагнезиальных, или салических, м-лов на разных стадиях их образования. Недостатки Д. AFM: 1) трудно различать известково-щелочные и щелочные п. , а также магм. комплексы, отличающиеся по кислотности; 2) невозможно установить пути эволюции в сторону натровых или калиевых дифференциатов.
A 2 1 4 0 0 1 21 3 7 10 6 F 16 17 15 14 6 10 18 16 20 19 15 M 82 82 81 86 94 89 62 82 73 70 79
Диаграмма AFM
AFM diagram: can further subdivide the subalkaline magma series into a tholeiitic and a calc-alkaline series Figure 8. 14. AFM diagram showing the distinction between selected tholeiitic rocks from Iceland, the Mid-Atlantic Ridge, the Columbia River Basalts, and Hawaii (solid circles) plus the calc-alkaline rocks of the Cascade volcanics (open circles). From Irving and Baragar (1971). After Irvine and Baragar (1971). Can. J. Earth Sci. , 8, 523 -548. F ic h o l e iit T Calc-alkaline A M
l Fe-Ti oxides are restricted to the groundmass, and thus form late in the MORB sequence Figure 8. 2. AFM diagram for Crater Lake volcanics, Oregon Cascades. Data compiled by Rick Conrey (personal communication).
Диаграмма Дженсена Классификационная диаграмма Al 2 O 3 - (Fe. O* + Ti. O 2) – Mg. O Дженсена (Jensen, 1976), скорректированная Риквудом (Rickwood, 1989) с полями коматиитовых, толеитовых и известково-щелочных вулканитов, в мол. %. Fe. O* = Fe. O + 0. 89 Fe 2 O 3.
Si. O 2 vs. Fe. O total /Mg. O binary Diagram of Miyashiro (1974) distinguishing between tholeiitic and calc-alkaline igneous rocks.
Диаграмма Na. Al. K Na 2 O – Al 2 O 3 – K 2 O (mol. %) Na 2 O – Al 2 O 3 – K 2 O Тройная диаграмма – позволяет различить высокоглиноземистые и щелочные породы, а также калийные и натровые серии.
Диаграмма Пирса и др. (1977) Применяется для базальтоидов и средних вулканитов
Диаграмма О` Коннера (1965) Применяется для гранитоидов (при содержании кварца не менее 10%), используются нормативные содержания альбита, анортита и ортоклаза
Диаграмма Маниара и Пикколи (1989) Применяется для гранитоидов, позволяет проводить геотектоническую классификацию гранитоидов
Диаграммы Фроста и др. (2001) 1) Si. O 2 vs Fe. O` / Fe. O` + Mg. O 2) Si. O 2 vs Na 2 O + K 2 O – Ca. O Применяются для гранитоидов, гранитогнейсов
диаграмма Маниара и Пикколи Peraluminous Metaluminous Al 2 O 3 / (Na 2 O+K 2 O) 16. 00 15. 00 14. 00 13. 00 12. 00 11. 00 10. 00 9. 00 8. 00 7. 00 6. 00 5. 00 4. 00 3. 00 2. 00 1. 00 0. 00 1. 00 2. 00 3. 00 4. 00 5. 00 6. 00 7. 00 Al 2 O 3 / (Ca. O+Na 2 O+K 2 O) 8. 00 9. 00 10. 00


