Формализация сбора данных.ppt
- Количество слайдов: 142
Формализация сбора данных и обработка маркетинговой информации
1. Вопросник и порядок его разработки Функции вопросника: n Перевести цели исследования в вопросы n Стандартизировать вопросы и ответы n Наладить контакт с респондентом n Автоматизировать обработку информации n Проверить надежность и достоверность данных
Вопросник и порядок его разработки Процесс составления вопросника: 1. Уточнение целей и предмета опроса. 2. Определение структуры вопросника. 3. Разработка вопросов. 4. Корректная последовательность вопросов. 5. Тестирование вопросов и уточнение анкет. 6. Одобрение со стороны клиента.
Составные части вопросника: 1. Введение – убедить респондента принять участие в опросе.
Составные части вопросника: 2. Реквизитная часть – название вопросника, дата, время и место проведения опроса, фамилия интервьюера.
Составные части вопросника: 3. Основная часть – тип, содержание, число и последовательность вопросов в анкете, наличие контрольных вопросов.
Составные части вопросника: 4. «Паспортичка» – вопросы, классифицирующие опрашиваемых, направленные на выявление личных качеств, демографических данных респондентов.
Составные части вопросника: 5. Благодарность за участие маркетинговых исследованиях. в
Требования к вопросам по содержанию: 1. 2. 3. 4. 5. 6. 7. Вопросы должны быть унифицированными. Вопрос должен касаться только одного предмета. Вопрос должен быть коротким. Вопрос должен иметь ответ, который легко дать респонденту. Необходимо избегать вопросов, содержащих двойное отрицание. Вопрос не должен подсказывать ответ. Вопросов не должно быть много (10 15).
Типы вопросов: n Открытые – опрашиваемый отвечает на вопрос своими словами. n Закрытые – все варианты ответов уже предоставлены респонденту. n Полузакрытые – кроме закрытий содержат ответ «другое _______» . n Вопросы со шкалой ответов.
Логическая последовательность вопросов. Вначале следует задать вопросы, с помощью которых можно определить уровень компетентности респондентов в области проводимого исследования.
Логическая последовательность вопросов. Следующие вопросы служат целям "разминки" респондентов. Эти вопросы являются относительно простыми, легкими для ответов; они должны заинтересовать опрашиваемых, показать им, что они легко справятся с ответами.
Логическая последовательность вопросов. За разминочными вопросами следуют основные вопросы. Здесь необходимо учитывать, что последовательность постановки вопросов влияет на ответы респондентов.
Логическая последовательность вопросов. Наиболее трудные вопросы, требующие для ответа использования специальных шкал и достаточных затрат умственных усилий, рекомендуется ставить в середине или ближе к концу анкеты.
Логическая последовательность вопросов. Вопросы, носящие чрезмерно личностной характер обычно помещаются среди "безвинных" вопросов.
Логическая последовательность вопросов. Заключительные вопросы по содержанию темы должны быть сравнительно нетрудными, поскольку, работая с анкетой, люди постепенно утомляются. Здесь хороши шкалы оценок и другие вопросы в закрытых вариантах.
Логическая последовательность вопросов. В целях проверки искренности и устойчивости позиции опрашиваемого следует предусмотреть несколько контрольных вопросов, позволяющих выявить возможные противоречия в его ответах.
Логическая последовательность вопросов. Вопросы, классифицирующие опрашиваемых и направленные на выяснение личных качеств, помещаются в самом конце вопросника, так как при их постановке возрастает вероятность отказа опрашиваемого продолжать беседу.
Логическая последовательность вопросов. Следует избегать вопросов (без крайней необходимости) о точном возрасте, точном доходе и точном месте жительства. Следует ограничиться указанием интервала ( «вилки» ).
Состав основной части вопросника: «Рыба» это часть, содержащая вопросы, ради которых и затевалось исследование. n «Детектор» состоит из контрольных вопросов, призванных проверить внимательность, серьезность и откровенность респондентов при заполнении анкеты, а также порядочность и профессионализм интервьюеров. n
Методы проектирования основной части вопросника: использовании туннельного подхода (метод воронки) имеет место постепенный переход от широких, общих вопросов к узким. n Секционный подход заключается в том, что последовательно рассматриваются вопросы по отдельным темам, до их полного исчерпания. n При
Опрос может носить анонимный и конфиденциальный характер. В первом случае респондент должен быть уверен, что ни его имя и другие реквизиты не будут известны исследователям. Во втором случае предполагается, что имя респондента известно только исследователю, но отнюдь не заказчику данного обследования. В телефонном опросе и при опросах, связанных с присутствием интервьюеров, опрос носит только конфиденциальный характер.
2. Типы шкал Выделяют четыре характеристики шкал: n описание, n порядок, n расстояние n наличие начальной точки.
Характеристики шкал: Описание предполагает использование единственного дескриптора для каждой градации в шкале.
Характеристики шкал: Порядок характеризует относительный размер дескрипторов (“больше чем”, “меньше чем”, “равен”).
Характеристики шкал: Характеристика шкалы расстояние используется, когда известна абсолютная разница между дескрипторами, которая может быть выражена в количественных единицах.
Характеристики шкал: Считается, что шкала имеет начальную точку, если она имеет единственное начало или нулевую точку.
Характеристика шкалы Тип шкалы описание порядок расстоя наличие ние Шкала наименован ий Шкала порядка Интервальн ая шкала Шкала отношений начальной точки * * * * *
Примеры шкал наименований: 1. 2. n Пожалуйста, укажите ваш пол: мужской___ женский___ Выберете марки электронной продукции, которые вы обычно покупаете: Сони Панасоник Филлипс Орион Согласны или не согласны вы с утверждением, что имидж фирмы “Сони” основан на выпуске продукции высокого качества Согласен____ Не согласен_____
Примеры шкал порядка Пожалуйста, проранжируйте фирмы производители электронной продукции в соответствии с системой вашего предпочтения. Поставьте “ 1” фирме, которая занимает первое место в системе ваших предпочтений; “ 2” – второй и т. д. : Сони Панасоник Филлипс Орион
Шкалы порядка Обладая информацией шкалы порядка можно выявить наличие связи в двух рядах признаков. Для этого необходимо определить коэффициент ранговой корреляции.
Шкалы порядка r = 1 (6 ∑(xi – yi)2 / (n(n 2 – 1))) где, n – количество сравниваемых объектов, xi – независимая переменная i го объекта сравнения, yi зависимая переменная i го объекта сравнения.
Шкалы порядка Если этот коэффициент по модулю близок к единице, то говорят о сильной линей ной взаимосвязи между показателями, если он близок по модулю к нулю, то это свидетельствует об отсутствии линейной взаимосвязи.
Интервальная шкала n семантическая дифференциальная шкала (шкала Осгуда, шкала Стэпела, профильный анализ); n шкала ассоциаций; n модифицированная шкала Лайкерта; n шкала для изучения жизненного стиля.
Семантическая дифференциальная шкала Содержит серию биполярных определений, характеризующих различные свойства изучаемого объекта.
Семантический дифференциал Ч. Осгуда Сильный 3 2 1 0 1 2 3 Слабый Простой 3 2 1 0 1 2 3 Сложный Медленны 3 2 1 й Детский 3 2 1 0 1 2 3 Быстрый 0 1 2 3 Взрослый Плохой 0 1 2 3 Хороший 3 2 1
Крепкое 2 1 0 1 2 3 3 3 2 2 1 0 1 2 3 Резкий вкус 3 Качество постоянное Шкала Стэпела 1 0 1 2 3
Профильный анализ Крепкое 1 2 Качество постоянно Резкий вкус 3 4 5 Легкое Качество не постоянно Мягкий вкус
Шкала ассоциаций Респондентов просят всего лишь ассоциировать одну альтернативу с каждым вопросом.
Наиболее низкие цены Наиболее качественная продукция Наиболее широкий выбор Карусель Перекресток Шкала ассоциаций
Данная марка легко узнаваема Упаковка молока «Домик в деревне» удобная Полностью не согласен Частично не согласен Отношусь нейтрально Частично согласен Молоко «Домик в деревне» высокого качества Полностью согласен Шкала Лайкерта
Я предпочитаю провести время дома, чем пойти на вечеринку Полностью не согласен Частично не согласен Нейтральный фактор Частично согласен Самое главное для меня – это мои дети Полностью согласен Шкала для изучения жизненного стиля
Шкала отношений Позволяет проводить количественное сравнение полученных результатов.
Примеры шкал отношений Пожалуйста, укажите ваш возраст _____ лет 2. Приблизительно укажите, сколько раз за последний месяц вы делали покупки в дежурном магазине в интервале времени от 20 до 23 часов 0 1 2 3 4 5 другое число раз ______ 3. Какова вероятность того, что при составлении завещания вы прибегнете к помощи юриста? _______процентов. 1.
3. Тестирование или пилотаж форм Минимальный пилотаж – это проверка опросный листов на близких, соседях со средним образованием. Полное тестирование (пилотаж) вопросов и анкет следует проводить в форме личного или телефонного интервью.
3. Тестирование или пилотаж форм Тестирование может выполняться методом завершающего собеседования или методом протокола.
3. Тестирование или пилотаж форм Если используется метод заключительного собеседования, то сначала респонденту предлагают заполнить анкету точно так же, как он сделал бы это при проведении полномасштабного исследования. После завершения интервьюер должен провести с респондентом собеседование, спросив его, о чем тот думал, когда отвечал на каждый вопрос; не возникло ли каких либо проблем с пониманием; не получилось ли так, что некоторые аспекты предмета исследования остались незатронутыми.
3. Тестирование или пилотаж форм Если используется метод протокола, респондента по мере заполнения анкеты просят «думать вслух» . Интервьюер записывает эти мысли и в конце процедуры тестирования просит респондента более подробно рассказать о возникших проблемах, если это необходимо. Второй подход лучше подходит, если тестирование проводится не лично, а по телефону.
Тестирование отдельных вопросов. n Разброс мнений (дисперсия). Исследователя интересуют элементы, которые демонстрируют более высокий разброс ответов и которые окажутся полезными с точки зрения выделения подгрупп людей. Слишком асимметричное распределение, полученное по результатам тестирования, может рассматриваться как предупреждение о том, что вопрос не отражает соответствующий конструкт.
Тестирование отдельных вопросов. n Значение, которое закладывает в вопрос исследователь, может и не соответствовать интерпретации этого вопроса респондентом по двум важным причинам. Первая состоит в том, что респондент не обязательно услышит и увидит каждое слово вопроса. Вторая причина респонденты, вероятно, будут демонстрировать склонность к модификации сложного вопроса так, чтобы на него было проще ответить.
Тестирование отдельных вопросов. n Сложность задачи. Респонденту бывает трудно ответить даже на понятный и четко сформулированный вопрос, если требуется сопоставление информации непривычным для респондента образом.
Тестирование отдельных вопросов. n Интерес и внимание респондента. Этот аспект тестирования исследователи часто упускают. Между тем необходимо фиксировать, какие вопросы участники нашли особенно интересными или особенно скучными.
Тестировании анкеты n Последовательность. Тестирование часто сводится к интуитивной оценке. Вопросы должны появляться в логичной последовательности. Переходы от одной темы к другой также должны быть проверены — необходимо убедиться, что они понятны и логичны.
Тестировании анкеты n Пропуск вопросов. Многие анкеты содержат инструкцию по заполнению Необходимо убедиться в том, что они являются четкими и понятными.
Тестировании анкеты n Длина. Необходимо установить максимально разумную длительность работы с анкетой.
Тестировании анкеты n Интерес и внимание респондентов. Часто для этих целей варьируют задачи, которые предлагаются респондентам. Степень, в которой эти меры позволяют добиться успеха, можно и необходимо проверить опытным путем.
4. Организация и проведение сбора данных Основные подходы к сбору данных: n осуществлять самим, n осуществлять путем создания специальной группы, n путем привлечения коммерческих компаний, специализирующихся на сборе данных.
4. Организация и проведение сбора данных В первом случае сотрудники маркетинговой службы организации своими силами осуществляют сбор данных, скажем, путем интервьюирования.
4. Организация и проведение сбора данных Специальная группа обычно комплектуется за счет специалистов не очень высокой квалификации, например, студентов, для проведения телефонного или персонального интервьюирования.
4. Организация и проведение сбора данных Услуги специализированных компаний, осуществляющих маркетинговые исследования, в большинстве случаев обеспечивают быстрое и качественное получение маркетинговых данных. Однако стоимость услуг маркетинговых компаний в три пять раз является более высокой по сравнению со стоимостью других двух подходов к сбору данных. Поэтому ее необходимо сопоставлять с качеством и надежностью получаемой информации.
4. Организация и проведение сбора данных Маркетинговые исследования специализированных компаний разделяют на следующие виды: n корпоративные или Аd hoc исследования. n Синдикативные исследования.
4. Организация и проведение сбора данных Ad Hok (корпоративные) – исследования, предназначенные для одного клиента и проводимые за его же деньги. Заказчик оговаривает с агентством свои цели, методику проведения исследования, выборку и стоимость исследования. Все данные, полученные в результате исследования, принадлежат клиенту.
4. Организация и проведение сбора данных Первоначально для определения задач исследования исполнителю требуется несколько уточняющих встреч с заказчиком. Первое совещание между заказчиком и исполнителем исследования называется исследовательским брифингом. Процедура брифинга позволяет заказчику исследования пообщаться с одним или несколькими исследовательским агентствами на основе брифа ] (краткое письменное изложение дела с привлечением фактов; резюме).
4. Организация и проведение сбора данных Обязательные основные элементы брифа: n описание маркетингового контекста, n определение управленческой проблемы, n информирование о практических ограничениях.
4. Организация и проведение сбора данных Более детально письменный заказ на исследование должен включать: n Проблему заказчика. n Цель исследования. n Историю развития проблемы. n Action standard – кто, где и когда будет принимать решение. n Результаты предыдущих исследований. n Сроки и форму предоставления результата. n Бюджет маркетингового исследования.
4. Организация и проведение сбора данных К очевидным преимуществам корпоративных исследований следует отнести индивидуальный подход, "закрытый характер" информации. К недостаткам относительно высокую стоимость выполняемых работ.
4. Организация и проведение сбора данных Синдикативные исследования – проводятся регулярно в течение длительного времени и за счет самих маркетинговых компаний.
4. Организация и проведение сбора данных Синдикативные источники информации специализированных фирм предоставляют информацию следующего характера: n Информация о товарных рынках. n Информация о розничных ценах, динамике продаж. n Сведения о потребителях. n Сведения об аудиториях и рейтингах СМИ. n Базы данных. n Информация о публикациях.
4. Организация и проведение сбора данных Синдикативные обзоры могут быть либо "закрытыми", т. е. заранее определенная группа клиентов покупает результаты исследования и все последующие продажи запрещаются, либо "открытыми", т е. приобрести результаты исследования может кто угодно.
4. Организация и проведение сбора данных Разновидностью синдикативных исследований являются «вложенные» или «омнибусные» исследования. Заказчиками одного исследования и, соответственно, потребителями результатов выступают не одна, а несколько фирм порядка десяти.
4. Организация и проведение сбора данных Анкета для омнибусного опроса составляется на основе вопросов, сформулированных заказчиками. Результаты опроса являются собственностью исследовательской фирмы и доступны для всех его участников.
4. Организация и проведение сбора данных Положительные стороны данного метода исследований: n Снижает затраты на проведение самостоятельных маркетинговых исследований в несколько раз. n Социальным и демографическим характеристики респондента, уделяется относительно много внимания. n Возможность проведения не только факторного, но и кластерного анализа полученных данных. n Относительная независимость исследовательской компании, реализующей большой проект от конкретного заказчика. n Публичность и общественный резонанс.
4. Организация и проведение сбора данных К числу минусов можно отнести: n Ограниченный круг тематических вопросов. n Изначально фиксированные параметры выборки. n Относительную открытость информации. n Сроки.
Ошибки сбора данных. При сборе данных могут иметь место многие погрешности, называемые невыборочными ошибками: n ошибки, обусловленные нечетким выявлением проблем, использованием неоднозначных терминов и т. п. ; n ошибки сбора данных; n ошибки обращения с полученными данными; n ошибки анализа собранных данных; n ошибки интерпретации полученных результатов.
Ошибки сбора данных. Невыборочные ошибки сбора данных можно классифицировать на ошибки лиц, осуществляющих данных, и респондентов. сбор Кроме того, невыборочные ошибки подразделяются на преднамеренные и на непреднамеренные.
Ошибки сбора данных. Преднамеренные ошибки лица, собирающего информацию, имеют место, когда сознательно нарушаются установленные исследователем требования к сбору данных: подсказки респонденту относительно «правильных» ответов, подлог и обман, недостаточно подробный опрос и уточнение.
Ошибки сбора данных. Непреднамеренная ошибка лица, собирающего информацию, главным образом, определяется неправильным пониманием со стороны интервьюера отдельных аспектов сбора данных, изложенных в различных инструкциях, хотя ему и кажется, что он все делает правильно.
Ошибки сбора данных. Существует два преднамеренных респондентов. вида ошибок
Ошибки сбора данных. Первый вид обусловлен стремлением респондента n n n фальсифицировать свои ответы, вследствие определенного замешательства, например: из за подозрения, что интервьюер преследует какие то свои цели; обеспокоенность по поводу вмешательства в частную жизнь; дефицит времени и усталость; желание выглядеть более престижно; желание выглядеть готовым помочь; интервьюер уверен, что у респондента должен быть ответ.
Ошибки сбора данных. Второй вид обусловлен отказом респондента отвечать на вопросы из за своей занятости, нежелания открывать личные аспекты своей жизни (например: сексуальное поведение), предубежденности к опросам.
Ошибки сбора данных. Непреднамеренная ошибка респондента возникает в случае, когда респондент, думая, что говорит правду, на самом деле дает ошибочный ответ. Это может быть связано с незнанием ответа, недостатками памяти и проблемами при формулировке ответа.
Ошибки сбора данных. Контроль за преднамеренными ошибками интервьюеров осуществляется двумя способами: путем надзора за их работой и путем проверки выполненной работы. Надзор осуществляется, например, путем незаметного подключения к телефонной линии, по которой берется интервью. При устном интервьюировании интервьюера может сопровождать проверяющее лицо.
Ошибки сбора данных. Контроль за преднамеренными ошибками респондентов направлен на снижение числа случаев лжи и отказа участвовать в обследовании. Для этого, прежде всего, необходимо сохранять анонимность и конфиденциальность.
Ошибки сбора данных. Контроль за непреднамеренными ошибками респондентов осуществляется в различных формах. Необходимо тщательно составлять вопросники и инструкции к ним, использовать разнонаправленные шкалы измерений. Для уменьшения числа ответов предположений в шкалы вводятся такие градации, как "не имею мнения", "не могу вспомнить", "не уверен".
Факторы, влияющие на отказ респондентов n Подготовленность интервьюеров. n Предоставление респонденту необходимой информации об интервью. n Рекрутинг в маркетинговых исследованиях. n Этические вопросы.
Факторы, влияющие на отказ респондентов Влияние Длительность длительности интервью на 5 минут процент отказов 10 минут респондентов Процент отказов 32 45 15 минут 46 20 минут 56 Более 20 57
Влияние предоставления информации о длительности интервью на процент отказов Длительность респондентов Процент отказав интервью, минуты Информация предоставляется 5 и менее 18 Информация не предоставляет ся 38 6 10 35 46 11 15 41 47 16 и более 42 55
Факторы, влияющие на отказ респондентов n Подготовленность интервьюеров. n Предоставление респонденту необходимой информации об интервью. n Рекрутинг в маркетинговых исследованиях. n Этические вопросы.
Влияние предоставления информации о характеристиках интервью на процент отказов Информация Процент отказов По заказчику интервью предоставляется По заказчику интервью не предоставляется По предмету исследования не предоставляется 29 54 43 61
Этические вопросы Классические примеры недобросовестного использования сбора данных: 1. Использование методик опроса для целей сбыта. 2. Использование методик опроса для получения имен и адресов потенциальных клиентов для целей последующего прямого маркетинга.
Этические вопросы Иногда права респондентов ущемляют даже те компании, которые проводят настоящие исследования, вследствие: n сокрытия цели того или иного вопроса; n введения в заблуждение относительно реальной длительности интервью; n ложного обещания вознаграждения с целью обеспечения сотрудничества; n умолчания о необходимости повторного интервью в будущем;
Этические вопросы Иногда права респондентов ущемляют даже те компании, которые проводят настоящие исследования, вследствие: n использования проекционных методик и методов скрытого измерения, чтобы обойти необходимость получения согласия со стороны респондента; n использования скрытых диктофонов для записи личных интервью; n проведения ложного тестирования; n сокрытия от респондента цели исследования.
Обработка и анализ данных Данные количественного маркетингового исследования подвергаются статистическому анализу, который направлен на оценку параметров совокупности в целом. Считается что распределение данных маркетинговых исследований является нормальным, форма которого определяется средним и стандартным отклонением. Характерное свойство нормального распределения состоит в том, что 68% всех его наблюдений лежат в диапазоне ± 1, а диапазон ± 2 стандартных отклонений содержит 95% значений.
Обработка и анализ данных
Обработка и анализ данных Среднеквадратичное отклонение рассчитывается по формуле:
Обработка и анализ данных Для характеристики величины варьирующего признака пользуются структурными средними модой и медианой.
Обработка и анализ данных Выборочное обследование по 12 пунктов продажи позволило зафиксировать различные цены на исследуемый товар. № 1 2 3 4 5 6 7 8 9 10 1 1 1 2 Цена 450 4560 45 45 45 4 456 45 4 4 0 40 35 50 00 60 5 0 70 60 5 5 7 00 0
Обработка и анализ данных Медиана лежит в середине ранжированного ряда и делит его пополам.
Обработка и анализ данных Значения признака в возрастающем порядке 1 2 3 4 5 6 7 8 9 10 11 12 45 45 45 00 00 00 35 40 50 60 60 70 70
Обработка и анализ данных определим порядковый номер медианы по формуле: №Me = (n + 1)/2, в данном случае №Ме = 12+1 = 6, 5. Это означает, что медиана в данном случае расположена между шестым и седьмым значениями признака в ранжированном ряду. Таким образом, Ме равна средней арифметической из соседних значений: 4550, 4560. Me = (4550 + 4560)/2 =4555 руб.
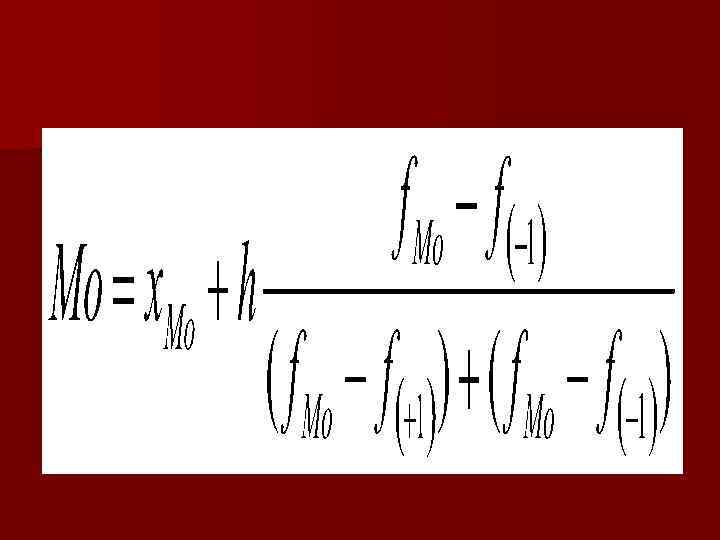
Обработка и анализ данных При нахождении медианы интервального вариационного ряда вначале определяют медианный интервал, в пределах которого находится медиана, а затем приближенное значение медианы по формуле:
Обработка и анализ данных
где нижняя граница медианного интервала; h величина интервала; S(-1) накопленная частота интервала, предшествующего медианному; f. Ме частота медианного интервала; n сумма частот или число членов ряда.
Мода это наиболее часто встречающееся значение признака у единиц данной совокупности. Она соответствует определенному значению признака.
Подготовка данных к анализу Проверка анкет Кодирование Очистка данных Статистическая корректировка данных Выбор стратегии анализа
Подготовка данных к анализу 1. Первый этап заключается в проверке анкет на полноту заполнения и качество интервьюирования.
Подготовка данных к анализу 2. Процедура кодирования заключается в присваивании кода, обычно цифрового, каждому возможному варианту ответа по каждому вопросу.
Подготовка данных к анализу Компьютерные разработки, помогающие исследователям обрабатывать информацию: n «GRi. DPAD» n «Form. Pro» n «Scan. Phone»
Подготовка данных к анализу 3. Процедура очищения данных заключается в проверке состоятельности собранных данных и работе с пропущенными ответами.
Подготовка данных к анализу На этом этапе также можно проверить анкеты по логическому критерию. Помимо этого, можно сравнить анкеты, собранные одним интервьюером, с остальными анкетами.
Подготовка данных к анализу Помимо логической проверки, данные анализируются на наличие выбросовнетипичных наблюдений. Они могут являться результатами неправильного ввода данных, ошибками заполнения анкет и т. п. и в этом случае подлежат исправлению или принадлежать нетипичной группе респондентов - и в этом случае должны анализироваться отдельно.
Подготовка данных к анализу Существует несколько методов работы с пропущенными ответами: ■ исключение объекта целиком. Это не очень хороший способ решения, т. к. он снижает значимость выводов, сделанных на основе собранных данных. Решение, отбросить значения или нет, зависит не только от размера пропущенной части значений, но также и от причины, почему поле содержит пропущенные значения.
Подготовка данных к анализу Существует несколько методов работы с пропущенными ответами: ■ попарное исключение. Вместо отбраковывания всех случаев с любыми отсутствующими значениями, исследователь во всех вычислениях рассматривает только наблюдения или респондентов, по которым есть полные ответы.
Подготовка данных к анализу Существует несколько методов работы с пропущенными ответами: ■ генерация пропущенных значений по вероятностным распределениям «непропущенных» записей. При этом подходе на основе «непропущенных» значений в записях определяется их вероятностное распределение.
Подготовка данных к анализу Существует несколько методов работы с пропущенными ответами: ■ замена пропущенного значения средней (модой, медианой): – подстановка средней, рассчитанной по всем наблюдениям. – подстановка средней, рассчитанной по однородным кластерам.
Подготовка данных к анализу Существует несколько методов работы с пропущенными ответами: ■ использование квалификационной модели для пропущенных записей. Метод основан на установлении закономерностей между значениями заполненных переменных и присутствующими значениями в переменных с пропусками.
Подготовка данных к анализу Существует несколько методов работы с пропущенными ответами: ■ Кросс-табуляция индикативной и категориальной переменной. Опция «Шаблоны» позволяет проанализировать, как распределены пропущенные значения в совокупности.
Подготовка данных к анализу Выбор стратегии анализа собранных данных основывается на итогах предыдущих этапов процесса маркетинговых исследований, известных характеристиках информации, свойствах конкретных статистических методов, а также на опыте и взглядах исследователя.
Подготовка данных к анализу Методы анализа данных: n Описательные статистики служат для предварительного анализа данных, определения центра распределения, вариации признака.
Подготовка данных к анализу Методы анализа данных: n Корреляционный анализ позволяет выявлять взаимосвязь между переменными.
Подготовка данных к анализу Методы анализа данных: n Построение таблиц сопряженности признаков, кросс-табуляция статистический метод, который одновременно характеризует две и более пе ременных и заключается в создании таблиц сопряженности признаков, отражающих совместное распределение двух и более переменных с ограниченным числом категорий или определенными значениями.
Подготовка данных к анализу Они позволяют ответить, к примеру, на следующие вопросы: n Как много мужчин среди приверженцев данной торговой марки? n Связано ли использование товара с отдыхом на открытом воздухе? n Связана ли осведомленность о новом товаре с возрастом и уровнем образования? n Связана ли покупка товара с доходом?
Подготовка данных к анализу Методы анализа данных: n Анализ множественных ответов, который используют, когда на вопрос анкеты можно дать несколько ответов одновременно. Позволяет рассчитать частоты и таблицы сопряженностей для данных, представленных в таком виде.
Подготовка данных к анализу Методы анализа данных: n Методы проверки статистических гипотез о виде распределения и параметров, в частности, служат для сравнения средних в двух совокупностях. Используются для сравнения данных в контрольной и экспериментальной группах при проведении маркетингового исследования.
Подготовка данных к анализу Методы анализа данных: n Дисперсионный анализ статистический метод, предназначенный для оценки влияния различных факторов на результат эксперимента, а также для последующего планирования аналогичных экспериментов. Предназначен для проверки статистической значимости различий выборочных средних для двух или больше совокупностей, например, для различных групп потребителей.
Подготовка данных к анализу Методы анализа данных: n Дискриминантный анализ включает в себя статистические методы классификации многомерных наблюдений в ситуации, когда наблюдатель обладает так называемыми обучающими выборками. Решаемые задачи: для принятия решения о том, какие переменные наилучшим образом различают две или более возникающие совокупности; классификация новых объектов на основе выявленных зависимостей; составление карты восприятия.
Подготовка данных к анализу Методы анализа данных: n Кластерный анализ позволяет провести классификацию объектов на относительно однородные группы, исходя из рассматриваемого набора переменных. Решаемые задачи: сегментация потребителей; понимание поведения покупателей; выбор тестовых рынков; сокращение размерности данных; определение возможностей нового товара.
Подготовка данных к анализу Методы анализа данных: n Многомерное шкалирование– это класс методов для представления восприятий и предпочтений респондентов в пространстве с помощью наглядного изображения (карты восприятия, позиционирование брендов).
Подготовка данных к анализу Методы анализа данных: n Факторный анализ - класс методов, используемых для сокращения числа переменных и их обобщения. Решаемые задачи: определение основных факторов, которые объясняют связи в наборе переменных; определение нового, меньшего по размеру, набора некоррелирующих переменных, заменяющих исходный набор коррелирующих переменных, на основании которого дальше выполняется многомерный анализ.
Подготовка данных к анализу Методы анализа данных: n Анализ соответствий - метод факторного анализа для качественных данных.
Подготовка данных к анализу Методы анализа данных: n Регрессионный анализ статистический метод, предназначенный для оценки влияния различных факторов на результат эксперимента, прогноза неизвестных значений зависимой переменной.
Подготовка данных к анализу Позволяет ответить на следующие вопросы: n Можно ли вариацию в объеме продаж объяснить расходами на рекламу? n Какова форма этой зависимости и можно ли ее выразить в виде уравнения, описывающего прямую линию? n Чему равен вклад расходов на рекламу в объяснении вариации объема продаж при контролируемых переменных уровнях цен и распределения? n Какие объемы продаж можно ожидать, исходя из данных уровней расходов на рекламу, цен и уровня распределения?
Подготовка данных к анализу Методы анализа данных: n Совместный анализ определяет относительную важность, придаваемую потребителями ясно выраженным характеристи камтовара, а также полезность, которую потребители связывают с уровнями характеристик.
Надежность и достоверность измерения информации Проблема надежности и достоверности измерения маркетинговой информации решается путем выявления n правильности измерения, n устойчивости и n обоснованности.
Надежность и достоверность измерения информации При изучении правильности устанавливается общая приемлемость данного способа измерения. Непосредственно понятие правильности связано с возможностью учета в результате измерения различного рода систематических ошибок. Систематические ошибки имеют некоторую стабильную природу возникновения: либо они являются постоянными, либо меняются по определенному закону.
Надежность и достоверность измерения информации Устойчивость характеризует степень совпадения результатов измерения при повторных применениях измерительной процедуры и описывается величиной случайной ошибки. Она определяется постоянством подхода респондента к ответам на одинаковые или подобные вопросы.
Надежность и достоверность измерения информации Обоснованность связана с доказательством того, что измерено вполне определенное заданное свойство объекта, а не некоторое другое, более или менее на него похожее.
Правильность выбранного инструмента измерения. Отсутствие разброса ответов по значениям шкалы. Попадание ответов в один пункт свидетельствует о полной непригодности измерительного инструмента – шкалы. Такая ситуация может возникнуть или из за «нормативного» давления в сторону общепринятого мнения, или из за того, что градации шкалы не имеют отношения к распределению данного свойства у рассматриваемых объектов.
Правильность выбранного инструмента измерения. Использование части шкалы. Довольно часто обнаруживается, что практически работает лишь какая то часть шкалы, какой то один из ее полюсов с прилегающей более или менее обширной зоной.
Правильность выбранного инструмента измерения. Неравномерное использование отдельных пунктов шкалы. Случается, что некоторое значение признака систематически выпадает из поля зрения респондентов, хотя соседние градации, характеризующие более низкую и более высокую степень выраженности признака, имеют существенное наполнение.
Правильность выбранного инструмента измерения. Слишком большая дробность: будучи не в состоянии оперировать всеми градациями шкалы, респондент выбирает лишь несколько базовых. Например, зачастую десятибалльную шкалу респонденты расценивают как некоторую модификацию пятибалльной, предполагая, что «десять» соответствует «пяти» , «восемь» – «четырем» , «пять» – «трем» и т. д. При этом базовые оценки используются значительно чаще, чем другие.
Формализация сбора данных.ppt