Prezentatsia_po_MiEET.pptx
- Количество слайдов: 84
ФИЗИЧЕСКИЕ ПРОЦЕССЫ В ДИЭЛЕКТРИКАХ
ПОЛЯРИЗАЦИЯ ДИЭЛЕКТРИКОВ Поляризацией называют состояние диэлектрика, характеризующееся наличием электрического момента у любого элемента его объема. Способоность различных материалов поляризоваться в электриеском поле характеризуется относительной диэлектрической проницаемостью , где: - ёмкость конденсатора с данным диэлектриком; - ёмкость того же конденсатора в вакууме (т. е. геометрическая ёмкость между электродами). Количественной характеристикой поляризации служит поляризованность диэлектрика. Поляризованностью Р называют векторную физическую величину, равную отношению электрчиеского момента dр элемента диэлектрика к объёму d. V этого элемента и выражаемую в : где - диэлектрическая восприимчивость.
МЕХАНИЗМЫ ПОЛЯРИЗАЦИИ Эквивалентная схема диэлектриков сложного состава с различными механизмами поляризации
Частотная зависимость составляющих комплексной диэлектрической проницаемости.
Кривые температурной зависимости диэлектрической проницаемости при электронной , дипольнорелаксационной и ионно-релаксационной поляризациях.
ТЕМПЕРАТУРНЫЙ КОЭФФИЦИЕНТ Изменение при изменении температуры характеризуется температурным коэфициентом диэлектрической проницаемости, выражаемым в :
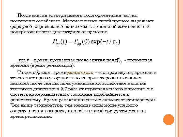
После снятия электрического поля ориентация частиц постепенно ослабевает. Математически такой процесс выражают формулой, отражающей зависимость дипольной составляющей поляризованности диэлектрика от времени: , где t – время, прошедшее после снятия поля; времени (время релаксации). - постоянная Таким образом, время релаксации – это промежуток времени в течение которого упорядоченность ориентированных полем диполей после снятия поля уменьшается вследствие наличия теплового движения в 2, 7 раза от первоначального значения, т. е. система из неравновесного состояния приближается к равновесному. Время релаксации сильно зависит от температуры. Чем выше температура, тем меньше силы молекулярного сопротивления повороту диполей в вязкой среде, тем меньше время релаксации.
КЛАССИФИКАЦИЯ ДИЭЛЕКТРИКОВ ПО МЕХАНИЗМАМ ПОЛЯРИЗАЦИИ В зависимости от влияния напряжённости электрического поля на значение относительной диэлектрической проницаемости материала все диэлектрики подразделяют на линейные и нелинейные. Для линейных диэлектриков с малыми потерями энергии зависимость заряда конденсатора от напряжения (переменной полярности) имеет вид показанный на рисунке а). Для нелинейных диэлектриков (сегнетоэлектриков) в этих условиях зависимость заряда от напряжения принимает форму петли гистерезиса - б). Зависимости заряда конденсатора от напряжения для линейных диэлектриков (а) и для сегнетоэлектриков (б) (по осям абсцисс отложены U и E=U/h, по осям ординат Q, D=Q/S и )
ЛИНЕЙНЫЕ ДИЭЛЕКТРИКИ Линейные диэлектрики можно подразделить в несколько групп, положив в основу классификации механизмов поляризации. Неполярными диэлектриками являются газы, жидкости и твёрдые вещества в кристаллическом и аморфном состояниях, обладающие в основном только электронной поляризацией. К ним относятся водород, бензол, парафин, сера, полиэтилен и др. Полярные (дипольные) диэлектрики – это органические жидкие, полужидкие и твёрдые вещества, имеющие одновременно дипольнорелаксационную и электронную поляризации. К ним относятся нитробензол, кремнийорганические соединения, феноло-формальдегидные смолы, эпоксидные компаунды, хлорированные углеводороды, капрон и др. Ионные соединения составляют твёрдые неорганические диэлектрики с ионной, электронной, ионно- и электронно-релаксационными поляризациями. В этой группе ввиду существенного различия их электрических характеристик целесообразно выделить две подгруппы материалов: 1) диэлектрики с ионной и электронной поляризациями; 2) диэлектрики с ионной, электронной и релаксационными поляризациями. К первым преимущественно относятся кристаллические вещества с плотной упаковкой ионов, например, кварц, слюда, корунд (Al 2 O 3), рутил (Ti. O 2), перовскит (Ca. Ti. O 3) и др. Ко вторым принадлежат неорганические стёкла, многие виды керамики, кристаллические диэлектрики с неплотной упаковкой частиц в решётке.
ВЛИЯНИЕ АГРЕГАТНОГО СОСТОЯНИЯ НА ДИЭЛЕКТРИЧЕСКУЮ ПРОНИЦАЕМОСТЬ ЛИНЕЙНЫХ ДИЭЛЕКТРИКОВ Значение относительной диэлектрической проницаемости вещества, характеризующее степень его поляризуемости, в первую очередь, определяется механизмами поляризации. Однако величина в большой мере зависит и от агрегатного состояния вещества, так как при переходах из одного состояния в другое существенно меняются плотность вещества, его вязкость и изотропность.
ДИЭЛЕКТРИЧЕСКАЯ ПРОНИЦАЕМОСТЬ ГАЗОВ Газообразные вещества характеризуются весьма малыми плотностями вследствие больших расстояний между молекулами. Благодаря этому поляризация всех газов незначительна и диэлектрическая проницаемость их близка к единице. Поляризация газа может быть чисто электронной и дипольной, если молекулы газа полярны, однако и в этом случае основное значение имеет электронная поляризация. Диэлектрическая проницаемость различных газов тем больше, чем больше радиус молекулы газа, и численно близка к квадрату коэффициента преломления света для этого газа. Зависимость диэлектрической проницаемости газа от температуры и давления определяется числом молекул в единице объёма, которое пропорционально давлению и обратно пропорционально абсолютной температуре. У воздуха в нормальных условиях относительная диэлектрическая проницаемость равна 1, 0006, а её температурный коэффициент имеет значение около – 2*10 -6 К-1.
ТАБЛИЦА ПАРАМЕТРОВ НЕКОТОРЫХ ГАЗОВ ГАЗ Радиус молекулы (ангстрем) Показатель преломления n 2 ε Водород 1, 35 1, 00014 1, 00028 1, 00027 Кислород 1, 82 1, 00027 1, 00054 1, 00055 Азот 1, 91 1, 00030 1, 00060
ДИЭЛЕКТРИЧЕСКАЯ ПРОНИЦАЕМОСТЬ ЖИДКИХ ДИЭЛЕКТРИКОВ Жидкие диэлектрики могут состоять из неполярных и полярных молекул. Значение относительной диэлектрической проницаемости неполярных жидкостей определяется электронной поляризацией, поэтому оно невелико, близко к значению квадрата показателя преломления света и обычно не превышает 2, 5. Зависимость диэлектрической проницаемости неполярной жидкости от температуры связана с уменьшением числа молекул в единице объёма, т. е. с уменьшением плотности; по абсолютному значению близок к температурному коэффициенту объёмного расширения жидкости. Следует помнить что и отличаются знаком. Поляризация жидкостей, содержащих дипольные молекулы, определяется одновременно электронной и дипольнорелаксационной составляющими. Такие жидкости обладают тем большей диэлектрической проницаемостью, чем дольше значение электрического момента диполей и чем больше число молекул в единице объёма.
ПАРАМЕТРЫ НЕПОЛЯРНЫХ ЖИДКИХ ДИЭЛЕКТРИКОВ жидкость Показатель преломлени я ε TKε*103 K- TKv K-1 Бензол 1, 5 2, 218 -0, 93 1, 240 Толуол 1, 5 2, 294 -1, 16 1, 100 CCl 4 1, 46 2, 163 -0, 91 1, 227 1
ДИЭЛЕКТРИЧЕСКАЯ ПРОНИЦАЕМОСТЬ ТВЁРДЫХ ДИЭЛЕКТРИКОВ Диэлектрическая проницаемость неполярных твёрдых диэлектриков: Материал n n 2 Парафин 1, 43 2, 06 Полистирол 1, 55 2, 40 Материал n n 2 1, 9 -2, 2 Сера 1, 92 3, 69 3, 6 -4, 0 2, 4 -2, 6 Алмаз 2, 40 5, 76 5, 6 -5, 8 Значение и Кристалл Каменная соль (Na. Cl) Корунд (Al 2 O 3) ионных кристаллов: Кристалл 6 10 +150 Рутил (Ti. O 2) 110 -750 +100 Титанат кальция (Ca. Ti. O 3) 150 -1500
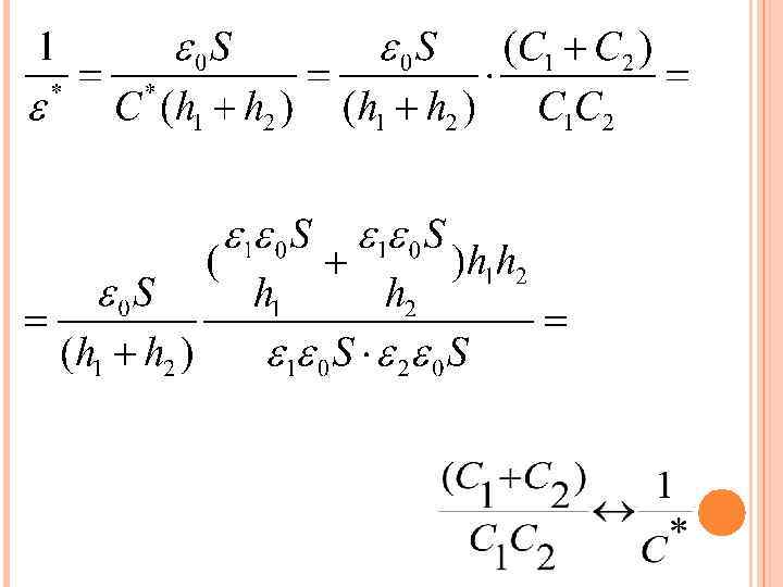
ДИЭЛЕКТРИЧЕСКАЯ ПРОНИЦАЕМОСТЬ СЛОЖНЫХ ДИЭЛЕКТРИКОВ Диэлектрическую проницаемость сложных диэлектриков, представляющих собой смесь химически невзаимодействующих друг с другом компонентов с различными диэлектрическими проницаемостями, можно в первом приближении (при малых различиях ) определить на основании уравнения Лихтенеккера, с помощью которого в общем случае рассчитывают самые различные свойства (например, теплопроводность, показатель преломления и др. ): (6. 5) Здесь - соответственно относительные диэлектрические проницаемости смеси и отдельных компонентов; - объёмные концентрации компонентов, величина, характеризующая распределение компонентов и принимающая значения от +1 до -1. При параллельном включении компонентов х=+1 выражение имеет вид: При последовательном включении компонентов, когда x=-1: Если оба компонента распределены хаотически (например, в керамике), то после преобразования уравнения Лихтенеккера и подстановки х=0, получим. (6. 6) Температурный коэффициент диэлектрической проницаемости сложного диэлектрика определяют дифференцированием (6. 6) по температуре:
Параллельное соединение 1 S 1 2 C 1 S 2 h y 1 и y 2 -объемные концентрации C 2 y 1 + y 2 =1(100%)
Последовательное соединение S 1 1 2 h 1 h 2 S 2 C 1 C 2
Термокомпенсированный конденсатор С 1 * ТКС=0 C 1 С 2 h C 2 Условия термокомпенсации При параллельном соединении При последовательном соединении
Для случая хаотической смеси условия термокомпенсатора
ОСОБЕННОСТИ ПОЛЯРИЗАЦИИ СЕГНЕТОЭЛЕКТРИКОВ НАЛИЧИЕ ДОМЕННОЙ СТРУКТУРЫ И СПОНТАННОЙ ПОЛЯРИЗАЦИИ Кристаллическая решётка сегнетоэлектриков характеризуется тем, что даже в отсутствие внешнего поля ионы располагаются несимметрично, образуя макроскопические области (домены), обладающие электрическими моментами. При этом направление ориентации электрических моментов в разных доменах различно. Наложение внешнего поля способствует преимущественной ориентации электрических моментов доменов в направлении поля, что даёт эффект очень сильной поляризации, а следовательно, и сверхвысокое значение (у керамического сегнетоэлектрического материала ВК-2, например, может достигать 50 000). Наличие точки Кюри. Диэлектрическая проницаемость сегнетоэлектриков резко зависит от температуры, причём сегнетоэлектрические свойства большинства наиболее употребительных сегнетоэлектриков проявляются при всех температурах, вплоть до некоторой предельной, при которой происходит изменение структуры материала, после чего сегнетоэлектрические свойства исчезают. Эту температуру называют точкой Кюри. Титанат бария. tk – точка Кюри.
ОБЪЯСНЕНИЕ МЕХАНИЗМА ПОЛЯРИЗАЦИИ ТИТАНАТА БАРИЯ: а) Элементарная кристаллическая ячейка титаната бария при температуре выше точки Кюри; б) Смещение иона титана к одному из ионов кислорода при температуре ниже точки Кюри; в) Изменение структуры ячейки кристалла титаната бария при температуре ниже точки Кюри; г) Схема расположения доменов в материале до и после наложения внешнего электрического поля.
ОБЩИЕ СВЕДЕНИЯ ОБ ЭЛЕКТРИЧЕСКИХ СВОЙСТВАХ ДИЭЛЕКТРИКОВ
Диэлектрик в электрическом поле проявляет совокупность электрических свойств, численно характеризуемых рядом параметров. Электропроводность. Свойство материалов проводить не изменяющийся во времени электрический ток под действием не изменяющегося во времени электрического поля называется электропроводностью. Численно электропроводность диэлектриков характеризуют либо удельной объёмной проводимостью и удельной поверхностной проводимостью , либо обратными величинами – удельным объёмным сопротивлением и удельным поверхностным сопротивлением.
Поляризация. Под поляризацией понимают процесс в веществе, характеризуемый тем, что электрический момент некоторого объёма этого вещества становится отличным от нуля. Способность диэлектриков поляризоваться оценивают по величине диэлектрической проницаемости. При работе диэлектриков в знакопеременном поле поляризационные процессы значительно преобладают над процессами электропроводности, т. е. диэлектрик можно рассматривать как ёмкость.
Диэлектрические потери. Это электрическая мощность, рассеиваемая в диэлектрике, находящемся в электрическом поле. Способность диэлектриков к диэлектрическим потерям обычно характеризуют тангенсом угла диэлектрических потерь.
Пробой. Явление в диэлектрике, приводящее к образованию канала высокой проводимости, называют пробоем. Численной характеристикой стойкости диэлектриков к пробою является электрическая прочность, или пробивная напряжённость электрического поля.
Вещества, обычно используемые в качестве электрополяризационных материалов и диэлектриков конденсаторов, имеют в рабочих условиях следующие значения параметров: Не ниже 107 ом*м; Не ниже 107 ом; От 1 до 106; От 0, 0001 до 0, 1; От 106 до 108 в/м;
Зависимость тока I в диэлектрике от времени воздействия электрического поля. постоянного Сопротивление диэлектрика при постоянном напряжении, т. е. сопротивление изоляции Rиз, определяющее величину тока утечки, можно вычислить по формуле: Где U – приложенное напряжение; I – наблюдаемый ток; - сумма токов, вызванных различными видами поляризации.
Удельное объёмное сопротивление численно равно сопротивлению куба, мысленно вырезанного из исследуемого материала, если ток проходит через две противоположные грани этого куба. Практически удобно определять для куба с ребром, равным 1 см, и выражать в омосантиметрах (ом*см). В системе СИ определяют для куба с ребром, равным 1 м, и выражают в омометрах (ом*м). При этом 1 ом*м=100 ом*см. Удельное объёмное сопротивление плоского образца при одномерном поле рассчитывают по формуле где R – объёмное сопротивление образца, ом; S – площадь электрода, м 2; h – толщина образца, м.
Удельное поверхностное сопротивление численно равно сопротивлению квадрата (любых размеров), мысленно выделенного на поверхности материала, если ток проходит через две противоположные стороны этого квадрата. Удельное поверхностное сопротивление измеряют в омах и рассчитывают по формуле: где поверхностное сопротивление образца материала между параллельно поставленными электродами шириной d, отстоящими друг от друга на расстоянии l. В системе СИ удельная объёмная проводимость выражается в сим*м-1, а удельная поверхностная проводимость – соответственно в сим. Полная проводимость твёрдого диэлектрика, соответствующая его сопротивлению изоляции Rиз, складывается из объёмной и поверхностной проводимостей; поэтому сопротивление изоляции рассчитывают по формуле: Размещение электродов 1 на поверхности образца из диэлектрического материала 2 при измерении.
ОБЪЁМНАЯ ЭЛЕКТРОПРОВОДНОСТЬ ДИЭЛЕКТРИКОВ В РАЗЛИЧНЫХ АГРЕГАТНЫХ СОСТОЯНИЯХ Электропроводность газов. Газы при небольших значениях напряжённости электрического поля обладают исключительно малой проводимостью. Ток в газах может существовать только при наличии в них ионов или свободных электронов, которые возникают в результате ионизации молекул газа. Ионизация происходит либо под действием внешних факторов, либо вследствие соударений ионов и электронов, ускоренных электрическим полем, с молекулами газа (ударная ионизация). Зависимость тока I от напряжения U для газа.
Электропроводность жидкостей. Электропроводность жидких диэлектриков носит ионный характер. Она тесно связана со строением молекул жидкости.
Электропроводность твёрдых диэлектриков. Электропроводность твёрдых диэлектрических материалов обусловлена главным образом передвижением ионов. У некоторых материалов при определённых рабочих условиях она может быть вызвана также наличием свободных электронов. При ионной электропроводности число диссоциированных ионов находится в экспоненциальной зависимости от температуры: где n – общее число ионов в 1 м 3; Эд – энергия диссоциации; k. T – тепловая энергия. Температурная зависимость удельной проводимости , характеризующая области собственной и примесной электропроводности диэлектрика. Сплошной линией показана собственная электропроводность, штриховыми линиями – примесная электропроводность (N 1>N 2>N 3>N 4, где N – концентрация примеси. )
ПОВЕРХНОСТНАЯ ЭЛЕКТРОПРОВОДНОСТЬ ТВЁРДЫХ ДИЭЛЕКТРИКОВ Поверхностная электропроводность обусловлена увлажнением поверхности диэлектрика, а также её загрязнением твёрдыми проводящими частицами. Вода отличается, как указывалось выше, значительной удельной проводимостью. Достаточно на поверхности диэлектрика появиться тончайшему слою влаги, чтобы возникла заметная проводимость. Поскольку сопротивление адсорбированной плёнки влаги связано с природой материала, на поверхности которого она находится, поверхностную электропроводность обычно рассматривают как свойство самого диэлектрика.
ДИЭЛЕКТРИЧЕСКИЕ ПОТЕРИ При постоянном напряжении, приложенном к диэлектрику, электрические потери Pa обусловлены явлением сквозной электропроводности и могут быть определены из выражения: Углом диэлектрических потерь называется угол, дополняющий до 90 о угол сдвига фаз между напряжением, приложенным к диэлектрику, и протекающим в нём током. В идеальном диэлектрике угол равен нулю. Чем больше рассеиваемая в диэлектрике мощность, тем больше угол диэлектрических потерь.
ПАРАЛЛЕЛЬНАЯ И ПОСЛЕДОВАТЕЛЬНАЯ ЭКВИВАЛЕНТНЫЕ СХЕМЫ ДИЭЛЕКТРИКА С ПОТЕРЯМИ Для параллельной схемы: Для последовательной схемы:
Для доброкачественных диэлектриков можно пренебречь значением (оно очень мало по сравнению с 1) и считать. Выражения для мощности, рассеиваемой в диэлектрике, в этом случае будут также одинаковы для обеих схем: вт, где U – напряжение, в; – угловая частота, сек-1; С – ёмкость, ф.
Если потери в конденсаторе или изоляторе обусловлены главным образом сопротивлением проводящих и соединительных проводов, а также сопротивлением самих электродов (обкладок), то для расчёта можно применить последовательную схему, и рассеиваемая мощность будет возрастать пропорционально квадрату частоты: Из последнего выражения следует весьма важный практический вывод: у конденсаторов и изоляторов, предназначенных для работы на высокой частоте, сопротивление электродов, соединительных проводов и переходных контактов должно быть по возможности мало.
ВИДЫ ДИЭЛЕКТРИЧЕСКИХ ПОТЕРЬ Изучение физической природы и особенностей диэлектрических потерь позволило подразделить их на три основных вида: 1) Потери сквозной электропроводности; 2) Поляризационные (релаксационные) потери; 3) Ионизационные потери. 4)Резонансные потери
ПОТЕРИ СКВОЗНОЙ ЭЛЕКТРОПРОВОДНОСТИ Частотные (а) и температурные (б) зависимости потерь сквозной электропроводности. если известны значения и , измеренные: первое на постоянном токе, второе при данной частоте. где А и b – постоянные материала.
ПОЛЯРИЗАЦИОННЫЕ (РЕЛАКСАЦИОННЫЕ) ПОТЕРИ. Поляризационные (релаксационные) потери в диэлектриках: а – положение минимумов тангенса угла диэлектрических потерь в зависимости от температуры Т при различных частотах (f 1
ДИЭЛЕКТРИЧЕСКИЕ ПОТЕРИ В ГАЗАХ Кривую часто называют кривой ионизации. Зависимость тангенса угла диэлектрических потерь твёрдой изоляции с воздушными включениями от напряжения U.
ДИЭЛЕКТРИЧЕСКИЕ ПОТРИ В ЖИДКИХ ДИЭЛЕКТРИКАХ В нейтральных жидкостях, не содержащих примесей с дипольными молекулами, диэлектрические потери обусловлены только электропроводностью. Полярные жидкости в определённых температурных и частотных условиях могут обладать заметными потерями, обусловленными не только электропроводностью, но и дипольнорелаксационной поляризацией. Суммарные релаксационные потери в дипольных диэлектриках
ДИЭЛЕКТРИЧЕСКИЕ ПОТЕРИ В ТВЁРДЫХ ДИЭЛЕКТРИКАХ Зависимость тангенса угла диэлектрических потерь пропитанной компаундом, от температуры t. конденсаторной бумаги, Состав компаунда: 80% канифоли и 20% трансформаторного масла.
ПРОБОЙ ГАЗОВ Схематическое изображение распространения стримера при пробое газа
Зависимость электрической прочности газа от давления Зависимость пробивного напряжения воздуха от расстояния между электродами в неоднородном поле
Зависимость пробивного напряжения воздуха от расстояния между электродами при различных частотах.
ПРОБОЙ ЖИДКИХ ДИЭЛЕКТРИКОВ Зависимость электрической прочности от содержания воды в масле
ПРОБОЙ ТВЁРДЫХ ДИЭЛЕКТРИКОВ Различают четыре вида пробоя твёрдых диэлектриков: 1) Электрический пробой макроскопически однородных диэлектриков; а) 2) Электрический пробой неоднородных диэлектриков; 3) Тепловой (электротепловой) пробой; 4) Электрохимический пробой.
ТЕПЛОВОЙ И ЭЛЕКТРИЧЕСКИЙ ПРОБОЙ
ТЕПЛОВОЙ И ЭЛЕКТРИЧЕСКИЙ ПРОБОЙ Тепловой пробой сводится к разогреву материала в электрическом поле до температур , соответствующих хотя бы местной потере электроизоляционных свойств, связанной с чрезмерным возрастанием сквозной электропроводности или диэлектрических потерь Электрический пробой Является чисто электронным процессом, в котором основную роль играет ударная ионизация. Имеет место в тех случаях, когда исключено влияние электропроводности и диэлектрических потерь, обусловливающих нагрев диэлектрика. Пробивная напряженность является воспроизводимой характеристикой электрической прочности самого вещества.
ЗНАЧЕНИЯ ЭЛЕКТРИЧЕСКОЙ ПРОЧНОСТИ НЕКОТОРЫХ ТВЁРДЫХ ДИЭЛЕКТРИКОВ В ОДНОРОДНОМ ПОЛЕ ПРИ ЧАСТОТЕ Материал - Стекло - Каменная соль - Слюда - Пропитанная бумага - Органические плёнки (полистирол, триацетат целлюлозы) 50 Ц Г Епр. действ, МВ/м Особенности структуры 100 -300 100 -150 100 -300 90 -120 Однородные плотные диэлектрики и слоистые, если поле перпендикулярно слоям - Керамика - Микалекс - Пластические массы с наполнителем (фенолформальдегидные, аминопласты) 10 -30 10 -15 Неоднородные по структуре диэлектрики с защитными или сообщающимися между собой капиллярами - Мрамор - Пористая керамика - Дерево - Непропитанная кабельная бумага 4 -5 1, 5 -2, 5 4 -6 7 -10 Диэлектрики с открытыми крупными порами
ТЕПЛОВОЙ ПРОБОЙ Электротепловой (сокращённо тепловой) пробой сводится к разогреву материала в электрическом поле до температур, соответствующих хотя бы местной потере им электроизоляционных свойств, связанной с чрезмерным возрастанием сквозной электропроводности или диэлектрических потерь. Если считать, что всё изменение температуры происходит вне диэлектрика, то рабочее напряжение можно найти, приравняв тепловыделение количеству тепла, отводимого при заданной температуре с поверхности изолятора: где U – напряжение, В; В*А; - реактивная мощность, - угловая частота, с-1; С – ёмкость изолятора, Ф; тангенс угла потерь при рабочей температуре; - коэффициент теплоотдачи, Вт/(м 2*К); S – поверхность изолятора, м 2; tраб и t 0 – температуры поверхности изолятора и окружающей среды, К.
По кривой 1 можно рассчитать допустимое рабочее напряжение: где соответствует . По кривой 2 может быть рассчитано пробивное напряжение изолятора. В данном случае критическая температура совпадает с рабочей и напряжение на изоляторе должно рассматриваться как критическое, т. е. пробивное: где значение температуре соответствует критической. Кривые зависимости Ра (1 и 2) от Для плоского конденсатора при толщине диэлектрика температуры при разном h и отводе тепла через электроды, температуру приложенном к изолятору которых принимаем равной t 0, находим (в напряжении (U 1
СРАВНИТЕЛЬНЫЕ ХАРАКТЕРИСТИКИ ЭЛЕКТРИЧЕСКОГО И ТЕПЛОВОГО ПРОБОЯ Электрический пробой Малое время развития пробоя Малая зависимость электрической прочности от частоты приложенного напряжения Малая зависимость электрической прочности от температуры Сравнительно маловыраженная зависимость эл. прочности отразмеров диэлектрика и электродов Электрический пробой возникает у краев электродов , в области наибольшего сгущения линий электрического поля Тепловой пробой Электрическая прочность зависит от частоты , уменьшаясь с ростом частоты Электрическая прочность зависит от температуры, уменьшаясь с её ростом Электрическая прочность зависит от времени приложения напряжения Электрическая прочность определяется коффициентом теплопроводности, коэффициентом потерь, и температурным коэффициентом потерь При тепловом пробое велика вероятность у средней части электродов, где наиболее трудные условия охлаждения
ЭЛЕКТРОХИМИЧЕСКИЙ ПРОБОЙ Этот вид пробоя обусловлен медленными изменениями химического состава и структуры диэлектрика , которые развиваются под действием электрического поля или разрядов в окружающей среде. Этот вид пробоя имеет большое значение при повышенных температурах и высокой влажности
ФУНКЦИИ ДИЭЛЕКТРИКОВ ВРЭА Полупроводниковые ИС ГИС и микросборки Радиоэлектронные функциональные узлы Подзатворный диэлектрик МОП транзистора , а) Подложки, г) Монтажнокоммутационные основания – платы Защита p-n-переходов, б) Диэлектрические слои конденсаторов, г) Межэлементная изоляция, б) - Элементы конструкций дискретных компонентов и приборов Изоляция пересечения проводников, в) - Изоляция кабелей и проводов Герметизирующие покрытия - Детали корпусов -
ПОДЗАТВОРНЫЙ ДИЭЛЕКТРИК МОП ТРАНЗИСТОРА , И – исток, З – затвор, С – сток. А)
ЗАЩИТА P-NПЕРЕХОДОВ, Б) К – коллектор, Э – эмиттер, Б - база
МЕЖЭЛЕМЕНТНАЯ ИЗОЛЯЦИЯ, В)
ПОДЛОЖКИ, Г)
ХИМИЧЕСКИЙ СОСТАВ И СВОЙСТВА ОКСИДНЫХ СТЁКОЛ Оксиды, входящие в состав стекла Повышают параметр Снижают параметр Механические Модуль упругости Твёрдость Плотность Газонепроницаемость Al 2 O 3 Si. O 2 Ba. O, Zn. O, Pb. O Si. O 2 B 2 O 3, Pb. O, Na 2 O Si. O 2, B 2 O 3 Al 2 O 3 Теплофизические Нагревостойкость Стойкость к теплосменам Теплопроводность ТКЛР Химическая стойкость Si. O 2, Al 2 O 3 Si. O 2, B 2 O 3, Al 2 O 3 Na 2 O Si. O 2, Zn. O, Al 2 O 3 Pb. O, Na 2 O Si. O 2, B 2 O 3, Ti. O 2 Na 2 O, P 2 O 5, B 2 O 3 Электрические ТК-100 Диэлектрическая проницаемость Епр ТК Si. O 2, Pb. O, B 2 O 3 Ti. O 2, Pb. O, B 2 O 3, Hf. O 2 Si. O 2, Al 2 O 3, Y 2 O Al 2 O 3, YI 2 O Na 2 O Si. O 2 Bi 2 O 3, Hf. O 2, Na 2 O Si. O 2, La 2 O 3 Si. O 2, B 2 O 3
ТЕХНИЧЕСКИЕ МАРКИ СТЁКОЛ Щелочное Изоляторное Ti. O 2 Pb. O Na 2 O Ca. O С 38, С 39, С 40 С 47, С 48, С 49 С 87, С 88, С 89 Al 2 O 3 Электровакуумно е группы: -Вольфрамовая -Молибденовая - Платиновая Y 2 O 3 Марка B 2 O 3 Назначение Si. O 2 Процентное содержание 75 18 - 3 - 68 20 70 2 320 5, 5 70 63 17 Бесщелочное 54 10 Герметизирующее А-5 П-65 24 7 8 18 85 15 Конденсаторное Боросиликатное Иттрийборосиликатное Алюмосиликатное 9 14 Оптическое 60 6 Механическая прочность и химическая стойкость - Для стеклотканей Низкий ТКЛР 8 15 Малощелочное Флинт ы, кроны Используемые свойства 14 65 65 Низкая температура размягчения 77 Беспористость 13 10 Малый показатель преломления, бессвильность, низкая пузырность
Значение параметра Наименование параметра Стекло С 52 -1 Стеклокерамик а Ситалл ПГБ 30 Прочность, МПа 0, 3… 0, 5 0, 4… 0, 6 1, 1… 1, 2 52 60 58 49 10 10 Электрическая прочность, МВ/м 6 - 5 Температура начала деформации, К 850 1000 Нагревостойкость, К 450 600 700 ТКЛР,
ВИДЫ И ПРИМЕНЕНИЕ КЕРАМИКИ Виды Керамики Грубая Строительная Тонкая Огнеупорная Установочная Детали ЭВП, Компоненты Пористая (фаянс) Плотная (фарфор) Конденсаторная (Ti. O 2) Пьезо (ТБ) Подложки, ГИС Вакуумплотная (поликор), ГИС СВЧ
СЛОИСТЫЕ ПЛАСТИКИ – МАТЕРИАЛЫ ДИЭЛЕКТРИЧЕСКИХ ОСНОВАНИЙ ПЕЧАТНЫХ ПЛАТ Печатные платы (ПП) являются типовыми несущими конструкциями современной РФА и ЭВА. Печатная плата представляет собой слоистую структуру, в состав которой входит диэлектрическое основание и печатные проводники (медная фольга). Основания ПП изготавливают из слоистых пластиков композиций, состоящих из волокнистого листового наполнения – бумаги, ткани, стеклоткани, пропитанных и склеенных между собой различными полимерными связующими. Слоистые пластики отличаются от других материалов тем, что применяемый наполнитель располагается параллельными слоями. Такая структура обеспечивает Высокие механические характеристики, а использование полимерных связующих – достаточно высокое удельное электрическое сопротивление, электрическую прочность и малое значение.
ТИПЫ СЛОИСТЫХ ПЛАСТИКОВ Наименование слоистого пластика Наполнитель Связующее Гетинакс Пропиточная бумага толщиной 0, 1 мм Фенолформальдегидная смола (ФФС) Текстолит Хлопчатобумажная и синтетическая ткани (Саржа, бязь, шифон, бельтинг, лавсан) ФФС Стеклотекстоли т Стеклоткани из бесщелочного алюмоборосиликатного стекла Совмещённая эпоксидная и ФФС. Совмещённая эпоксикремнийорганическа я смола
КАЧЕСТВО ПЕЧАТНЫХ ПЛАТ ХАРАКТЕРИЗУЕТСЯ СЛЕДУЮЩИМИ СВОЙСТВАМИ I. Прочность является одним из основных свойств, поскольку печатные платы выполняют роль не только диэлектрического основания, но и несущей конструкции. Часто требуется вибропрочность, которой, особенно при больших размерах плат, стеклотекстолит не обладает. II. Нагревостойкость фольгированных слоистых пластиков определяется по отсутствию вздутий, расслаивания и отклеивания фольги, возникающих при пайке. Критерием является время, в секундах, в течение которого разрушения не наблюдаются при нагреве от 533 К (260 о). Минимальная нагревостойкость – 5 с, у лучших марок – 20 с. III. Стабильность размеров – изменение длины при смене температур в процессе пайки, когда вся плата перегревается примерно до 393 К (120 о) ; ТКЛР стеклотекстолита при толщине 1, 5 мм составляет 8*10 -6 К-1, т. е. отличается от ТКЛР меди более чем в 2 раза, поэтому при больших размерах плат возможен обрыв или отслоение фольги. IV. Электрическая прочность стеклотекстолита анизотропна: в продольном направлении она в несколько раз выше, чем в направлении толщины. Причина этому – анизотропия самого материала и наличие микротрещин, уменьшающих эффективную толщину, но не длину и ширину. С увеличением толщины электрическая прочность падает. Так, для плат толщиной - 0, 5 и 10 мм значение Епр соответственно 30 и 10 к. В/мм.
ПЕЧАТНЫЕ ПЛАТЫ НА ТЕРМОПЛАСТАХ Применение термопластов для изготовления ПП имеет следующие преимущества: 1) Повышение нагревостойкости до 700 К. 2) Возможность применения в СВЧ-аппаратуре благодаря малым значениям. 3) Упрощение технологии изготовления переходных процессов отверстий, возможность формовки углублений, монтажных фланцев. Лучшим материалом для этой цели является фторопласт, армированный стеклотканью и фольгированный с двух сторон. Его выпускают в виде листов толщиной 0, 5 мм под маркой фторопласт-4 Д армированный, фольгированный (ТУ 6 -05 -164 -78). Он нагревостоек до Т=520 К, имеет =0, 0007 при частоте 1010 Гц и пригоден для СВЧ-техники
МАГНИТНЫЕ СВОЙСТВА ДИЭЛЕКТРИКОВ
ОБЩИЕ СВЕДЕНИЯ О МАГНИТНЫХ СВОЙСТВАХ МАТЕРИАЛОВ Намагниченность тела J характеризуется величиной магнитного момента единицы объёма, равного сумме магнитных моментов атомов (молекул), отнесённой к этому объёму. Намагниченность J связана с напряжённостью магнитного поля H соотношением а/м Где - магнитная восприимчивость материала.
Напряжённость магнитного поля Н имеет ту же размерность, что и J, поэтому оказывается безразмерной величиной. Магнитное поле в материале характеризуется магнитной индукцией тл, где магнитная постоянная, или магнитная проницаемость вакуума; индукция магнитного поля в вакууме; магнитная индукция, обусловленная намагниченностью материала.
где - магнитная проницаемость данного вещества, показывающая, во сколько раз магнитная индукция в материале отличается от магнитной индукции в вакууме; абсолютная магнитная проницаемость.
С изменением напряжённости Н внешнего магнитного поля суммарная индукция также меняется. На рисунке приведены типичные зависимости для диа-, пара- и ферромагнетика. Для ферромагнетика, кроме того, приведена зависимость. В слабых полях (при малых Н) В в ферромагнетике быстро возрастает с ростом Н, вследствие быстрого роста J. В сильных полях (при больших значениях Н), где J достигает насыщения ( ), В растёт только за счёт увеличения Н. Зависимость индукции В от напряжённости Н внешнего магнитного поля диамагнетика (1), парамагнетика (2), и ферромагнетика (3); кривая 4 – зависимость намагниченности J ферромагнетика от напряжённости поля.
ДИАМАГНЕТИЗМ К диамагнетикам относят материалы, у которых магнитный момент каждого атома равен нулю. Во внешнем магнитном поле в атомах диамагнетика возникают магнитные моменты (так называемые диамагнитные добавки), направленные против внешнего поля, из-за чего явление диамагнетизма иногда называют антимагнетизмом. Образец диамагнитного материала выталкивается из зазора между полюсами магнита (если магнитное поле неоднородно). Из-за незначительной величины диамагнитной добавки, направленной противоположно внешнему магнитному полю, у диамагнетиков магнитная восприимчивость является малым отрицательным числом ( ).
ПАРАМАГНЕТИЗМ В парамагнетиках (слабомагнитных веществах) магнитные моменты в атомах отличны от нуля, но в макрообъёме при отсутствии внешнего магнитного поля они компенсируют друга. Под действием внешнего поля создаётся преимущественное направление в расположении элементарных магнитных моментов и тело оказывается намагниченным в направлении поля. У парамагнетиков магнитная восприимчивость больше нуля, но также мала по величине ( ). Для диа- и парамагнетиков при определённой температуре практически не зависит от напряжённости поля, а с изменением температуры меняется несущественно. Из-за слабого взаимодействия с магнитным полем диа - и парамагнетики относят к немагнитным материалам.
ФЕРРОМАГНЕТИЗМ В ферромагнетиках (веществах, подобных железу), имеющих особую структуру электронных оболочек атомов (не все внутренние оболочки заполнены), существуют сильные поля, которые стремятся расположить магнитные моменты отдельных атомов в определённом порядке. Магнитная восприимчивость их значительно больше нуля и достигает значений 105 – 106. Для них характерна определённая температура (точка) Кюри, выше которой они теряют ферромагнитные свойства и становятся парамагнетиками. Именно эти вещества на практике относят к магнитным материалам.
ФЕРРИМАГНЕТИКИ Для ряда кристаллических веществ наиболее устойчивому состоянию отвечает антипараллельное расположение спинов с некоторым преобладанием одного направления над другим. Эти материалы называют ферримагнетиками. Они обладают доменной структурой, точкой Кюри, к ним применимы все характеристики, которые были введены для ферромагнитных веществ. Ферримагнетиками являются сложные оксидные материалы, получившие в практике название ферритов.
АНТИФЕРРИМАГНЕТИКИ Это полностью скомпенсированный ферримагнетик. На рисунке представлены типы атомных магнитных порядков, соответствующих ферромагнетику, антиферромагнетику и ферримагнетику Типы атомных магнитных порядков с направлениями спинов, соответствующими ферромагнетику (а), антиферромагнетику (б) и ферримагнетику (в).
Изменение доменной структуры магнетика в процессе снятия основной кривой намагничивания.
Гистерезисные циклы при различных предельных значениях величины напряжённости внешнего магнитного поля Н 1, Н 2, Н 3. 0, 1, 2, 3 – точки, лежащие на основной кривой намагничивания.


