3a4181e367ecb9caa2c9e410145e2532.ppt
- Количество слайдов: 154
FINANSIJSKA MATEMATIKA Prof. dr Jelena Kočović Ekonomski fakultet Beograd
• • • U uslovima ograničenih finansijskih sredstava potrebno je doneti adekvatnu odluku gde uložiti sredstva: Da li kupiti neko dobro danas ili sutra? Da li uložiti novac u banku? Da li zaradu u dinarima konvertovati u devize? Da li kupiti kola za gotovinu, kredit ili ih uzeti na lizing? U koje hartije od vrednosti uložiti novac? Kod koje banke uzeti kredit?
ZNAČAJ FINANSIJSKO - MATEMATIČKIH OBRAČUNA 1. Za privredne subjekte i građane - Banke, osiguravače i dr. finansijske institucije 2. Zakonska regulativa 3. Sudski sporovi 4. Edukacija kadrova i građana
PRIMENE PROCENTNOG RAČUNA
PROCENTNI RAČUN G : P = 100 : p gde je: G - osnovna veličina ili glavnica P - prihod ili prinos koji se ostvaruje p – procenat (G+P): (100+p)=G: 100 (G-P): (100 -p)=G: 100
1 procent nekog broja = stoti deo tog broja Znak % označava “podeli sa sto” Primer: 15% od 150= 150 · 0, 15 = 22, 5 Primer: Broj 15 izraziti kao procenat broja 40 15/40= 0, 375 =37, 5%
Primer: Broj 110 je za 10% veći od broja 100. Uopšteno: Broj koji je za p procenata veći od broja S jednak je: S+i. S=(1+i)S Gde je:
Broj za q procenata manji od broja S: (1 -d) S Gde je: Primer: Broj 100 je za 9, 0909% manji od broja 110.
Primer: Broj 100 je uvećan za 10%. Za koliko procenata treba smanjiti tako uvećani broj da bi dobili prvobitni broj 100?
Primer: U Srbiji za većinu roba PDV iznosi 20%. PDV ulazi u prodajnu cenu robe. Koliko je procentualno učešće PDV-a u prodajnoj ceni robe? Rešenje: Cena robe bez PDV-a neka je 100 din. Prodajna cena iznosi 100+20= 120 din 120. . 100% 20. . x 120 : 100 = 20 : x
Primer: Neki proizvod je poskupeo u januaru 10%, a u februaru još 10%. Za koliko je procenata poskupeo proizvod za 2 meseca? Prvobitna cena = 100 Cena proizvoda je uvećana za 21% u odnosu na prvobitnu.
Primer: Cena robe u iznosu od 800 din je smanjena, kao rezultat dva sniženja za istu procentnu stopu. Sada cena iznosi 512 dinara. Za koliko se procenata snižavala cena svaki put?
Primer: Plata jednog radnika je za godinu dana porasla 1, 5 puta. Za koliko procenata se uvećala njegova plata u tom periodu?
Primer: U jednoj godini inflacija je iznosila 150%. Izračunati koliko puta su porasle cene.
Primer: Cena robe povećana je 2, 5 puta. Za koliko je % uvećana cena te robe?
Rast za p% rast Smanjenje za p% smanjenje puta Primer: Cena akcija se smanjila za godinu dana za 20%. Čemu je jednak koeficijent promene cena? X-0, 2 X=(-0, 2+1)X=0, 8 X
Rast k puta rast za (k-1)· 100% Primer: Cena neke knjige povećana je 2, 5 puta. Za koliko je % povećana cena knjige? X· 2, 5 (2, 5 -1) · 100 =150 %
Procentni poeni • Ako je kamatna stopa uvećana za p procentnih poena, novi iznos kamatne stope je (i+p)%. • Ako je i=3% i uveća se za 0, 5 procentnih poena, novi iznos kamatne stope je 3, 5%. • Ako je i=10% i procentna stopa se smanji za 6 procentnih poena, novi iznos kamatne stope je 4%. Ako bi stopa bila smanjenja za 6%, novi iznos kamatne stope bi bio 0, 1 -0, 1∙ 0, 06=0, 094=9, 4%
Uticaj inflacije na kamatnu stopu Fišerova formula p=(1+p 1)(1+i)-1 p - nominalna godišnja kamatna stopa p 1 - realna godišnja stopa i - stopa inflacije Primer: Očekuje se da će u tekućoj godini očekivana stopa inflacije iznositi 10%. Odrediti nominalnu godišnju kamatnu stopu na uloge u banci da bi realna godišnja stopa bila 5%. p=(1+p 1)(1+i)-1=(1+0, 05)(1+0, 1)-1=15, 5%
Ako se glavnica G 0 poveća ili smanji za p%, onda je njen novi iznos: G = G 0 (1 ± p) Primer 1. Kolika je cena nekog proizvoda od 100 dinara ako se ona: a)poveća za 18%, b) smanji za 18% ? G = G 0 (1 + p) = 100 (1 + 0, 18) = 100∙ 1, 18 = 118 G = G 0 (1 - p) = 100 (1 - 0, 18) = 100∙ 0, 82 = 82
Ako je glavnica G u toku nekog perioda n više puta povećana (smanjena), redom za stope p 1, p 2 , . . . , pn, onda će iznos te glavnice na kraju perioda n porasti na: Gn = G (1 + p 1) (1 + p 2). . . (1 + pn), odnosno, opasti na: Gn = G (1 - p 1) (1 - p 2). . . (1 - pn). Kada je p 1 = p 2 =. . . = pn, krajnja vrednost glavnice je: Gn = G (1 + p 1)n, odnosno Gn = G (1 - p 1)n. Primer 2. Ako je u toku jednog perioda cena nekog proizvoda od 65 dinara povećana zaredom četiri puta, uz stope 10%, 20%, 40% i 50%, kolika će biti krajnja cena tog proizvoda posle svih povećanja? Gn = 65 (1 + 0, 1) (1 + 0, 2) (1 + 0, 4) (1 + 0, 5) = 180, 18
Ako je glavnica G više puta u toku jednog perioda povećana (smanjena) redom za procentne stope p 1, p 2 , . . . , pn, onda je stopa p njenog ukupnog rasta: p = ( 1 + p 1) (1 + p 2). . . (1 + pn) – 1, a stopa p njenog ukupnog pada: p = 1 - ( 1 - p 1) (1 - p 2). . . (1 - pn). Ako su stope jednake, odnosno, p 1 = p 2 =. . . = pn, stopa ukupnog rasta glavnice je: p = (1 + p 1)n – 1, odnosno, stopa ukupnog pada glavnice je: p = 1 - (1 - p 1)n
Primer 3. Ako je u nekom vremenskom periodu vrednost novčane jedinice imala redom tri devalvacije, za stope 12%, 15%, 13%, koliki je procenat ukupnog obezvređenja? p = 1 - ( 1 – 0, 12) (1 – 0, 15) (1 – 0, 13) = 0, 34924∙ 100 = 34, 924% Vrednost novčane jedinice posle devalvacije će biti: Gn = 1 (1 – 0, 12) (1 – 0, 15) (1 – 0, 13) = 0, 65076. Primer 4. Ako je u toku godine cena nekog proizvoda od 23 dinara četiri puta povećana za istu stopu od 20%, kolika će biti krajnja cena te usluge, a koliki je ukupni godišnji procenat povećanja te cene? Gn = 23 (1 + 0, 20)4 = 47, 6928 p = (1 + 0, 20)4 – 1 = 1, 0736∙ 100 = 107, 36%.
Primer 5. Kolika je stopa inflacije za jednu godinu, ako je mesečni rast cena u toj godini iznosio 7, 2%? p = (1 + p 1)n – 1 = (1 + 0, 072)12 – 1 = 1, 30323∙ 100 = 130, 323%.
Ako se glavnica poveća ili smanji za stope prinosa p 1, p 2 , . . . , pn, gde se svi prinosi izračunavaju na istu glavnicu G, krajnji iznos glavnice u slučaju povećanja iznosi: Gn = G [1 + (p 1 + p 2 +. . . + pn)], a za slučaj smanjenja: Gn = G [1 - (p 1 + p 2 +. . . + pn)], gde je za slučaj smanjenja p 1 + p 2 +. . . + pn < 1. Primer 7. Bruto zarada radnika iznosi 16540 dinara. Kolika će biti njegova neto zarada, ako je bruto zarada opterećena doprinosima čije su stope 16%, 3%, 2, 8% i 11, 5%? Gn = G [1 - (p 1 + p 2 +p 3 + p 4)] Gn = 16540 [1 - (0, 16 + 0, 03 + 0, 028 + 0, 115)] = 11032, 18.
PROCENTNI RAČUN U PRAKSI 1. Preduzeće je uplatilo svom dobavljaču 450000 dinara bruto (zajedno sa PDV-om). Stopa PDV-a je 20%. Izračunati neto iznos. (G+P): (100+p)=G: 100 G=(G+P)100/(100+p) G=450000*100/120=375000
PROCENTNI RAČUN U PRAKSI 2. Rezervacije za štete osiguravajuće kompanije iznosile su u 2011. godini 7000000 evra. U 2012. godini ove rezervacije su iznosile 8200000 evra. a) Za koliko procenata su rezervacije iz 2012. godine veće od rezervacija u 2011. godini? G: P=100: p; G=7000000, P=1200000; p=P*100/G=1200000*100/7000000=17, 14% b) Za koliko procenata treba uvećati rezervacije iz 2011. godine, da bi njihov iznos u 2012. godini bio 8200000 evra? 7000000+p/100*7000000=8200000; p=17, 14% c) Za koliko su procenata rezervacije iz 2011. godine bile manje u odnosu na rezervacije iz 2012. godine? (G-P): (100 -p)=G: 100; G-P=7000000, G=8200000 100 -p=(G-P)*100/G=7000000*100/8200000=85, 36 p=100 -85, 36=14, 63% d) Za koliko procenata treba smanjiti rezervacije iz 2012. godine da bi se dobile rezervacije iz 2011. godine? 8200000 -p/100*8200000=7000000; p=14, 63%
PROST INTERESNI RAČUN
Interesni račun uključuje - vreme (t). K : I = 100 : pg gde je: K - kapital ili glavnica I - interes ili kamata p – kamatna stopa g - vreme iskazano u godinama
K : I = K : I 100 : pg (1) = 1200 : pm (2) K : I = 36000 : pd K : I = 36500 : pd (3) (3 a) Računanje broja dana: prvi dan se ne uzima u obzir, a poslednji se uzima.
Primer: Uloženo je 100 evra uz godišnju stopu 12% na devet meseci. Izračunati interes. I=K∙i∙t ili I=Kpm/1200 evra ili I=100*12*9/1200 = 9 evra
BUDUĆA VREDNOST (Kn) Kt=K+K∙i∙t= K(1+i∙t) Gde je: Kt- buduća vrednost, uvećana vrednost K- osnovna veličina, sadašnja vrednost (glavnica) i- godišnja kamatna stopa t- vreme u godinama Primer 1: Na koji iznos će se uvećati 800 evra uz 9% prostog interesa za 4 meseca? Kt= K(1+i∙t)= evra
Primer 2. K=1000 € i=0, 04 t=10 Kt= K(1+i∙t)=1000 (1+0, 04∙ 10)=1000 ∙ 1, 4=1400 €
Primer 3. Kt=5000 € i=0, 1 K=?
Primer 4. K=9893, 78 Kt=10000 t=180/360=0, 5 godina i=? Kt= K(1+i∙t) I=Kt-K=10000 -9893, 78=106, 22 I=K∙i∙t i=2, 147%
Primer 5. K=3500 evra i = 0, 10 t = 270/360 Kt=? Kt= K(1+i∙t)
Primer 6. Kt = 2539, 62 evra K = 2443, 02 t = 200/360=5/9 _________ i=? Kt= K(1+i∙t) i = 0, 07117 i = 7, 117%
OBRAČUN ZATEZNE KAMATE • Zatezna kamata predstavlja potraživanje poverioca zbog toga što dužnik nije blagovremeno ispunio svoju novčanu obavezu. • Zakon o zateznoj kamati (Sl. glasnik RS, br. 119/12, u primeni od 25. 12. 2012) propisuje način obračuna zatezne kamate. • Zatezna kamata u smislu ovog zakona obračunava se za kalendarski broj dana perioda docnje u izmirivanju obaveza u odnosu na kalendarski broj dana u godini (365, 366), primenom prostog interesnog računa od 100, i dekurzivnog načina obračuna, bez pripisa obračunate zatezne kamate glavnici istekom obračunskog perioda. – Dakle, dan dospeća duga se ne uzima u obzir, već se zatezna kamata obračunava za broj dana počev od prvog dana kašnjenja, zaključno sa danom povraćaja duga, iako to u samoj regulativi nije sasvim jasno iskazano.
OBRAČUN ZATEZNE KAMATE • Prema ranijem Zakonu o visini stope zatezne kamate (“Službeni list SRJ”, br. 9/2001), propisana stopa zatezne kamate obuhvatala je mesečnu stopu rasta cena na malo i fiksnu stopu od 0, 5% mesečno, a zatezna kamata je utvrđivana primenom konformnog metoda. • Prema Odluci Ustavnog suda RS (“Službeni glasnik RS” br. 73/2012), koja je stupila na snagu 27. 07. 2012. godine, konformni metod obračuna zatezne kamate nije u skladu sa Ustavom RS, i zamenjen je proporcionalnim metodom. – Poslovne banke su u prethodnom periodu za obračunavanje zatezne kamate na svoje obaveze prema NBS primenjivale proporcionalni metod, a na svoja potraživanja prema dužnicima konformni metod, čime su neopravdano bile stavljene u odnosu na povlašćeni položaj prema ostalim ekonomskim subjektima. • Nova regulativa je usklađena sa odgovarajućom Direktivom EU (Directive 2000/35/EC)
OBRAČUN ZATEZNE KAMATE • Za obračunavanje zakonske zatezne kamate se primenjuje: – Konformni metod (do donošenja Zakona o visini zatezne kamatne stope, tj. do 03. 2001. godine), – Proporcionalni metod (na bazi mesečne stope rasta cena na malo) u skladu sa Odlukom Ustavnog suda RS počev od 03. 2001. godine, do donošenja Zakona o zateznoj kamati 25. 12. 2012. godine) K = stopa zatezne kamate; Kp = stopa rasta potrošačkih cena u RS (Indeks potrošačkih cena – 100) 0, 5 = fiksna stopa. – Proporcionalni metod (na bazi referente kamatne stope uvećane za 8 p. p. ) od donošenja Zakona o zateznoj kamati, tj. od 25. 12. 2012. godine.
OBRAČUN ZATEZNE KAMATE PREMA ODLUCI USTAVNOG SUDA • Primer 1. Izračunati iznos zatezne kamate na dugovanje od 10. 000 dinara za period docnje od 10 dana tokom novembra 2011. godine. mesečna stopa rasta cena na malo (novembar 2011): 0, 9% mesečna stopa zatezne kamate: 100((1+0, 9/100)(1+0, 5/100)-1)=1, 4045% dnevna stopa zatezne kamate u nov. 2011. : 1, 4045%/30=0, 0468167% stopa zatezne kamate za 10 dana docnje: 10*0, 0468167%=0, 468167% Iznos zatezne kamate: 0, 468167% 10000=46, 8167 dinara
POREĐENJE KONFORMNOG I PROPORCIONALNOG METODA OBRAČUNA ZATEZNE KAMATE • Primer 2. Umesto 31. 01. 2010. godine, dužnik je izmirio svoj dug od 100. 000 dinara 31. 05. 2010 godine. Uzračunati zateznu kamatu za dati period docnje primenom konformnog i proporcionalnog metoda. KONFORMNI METOD PERIOD BROJ DANA MES. STOPA (%) OSNOVICA KAMATA ZA PERIOD 31. 01. -28. 02. 28 1, 2035% 100000 1203, 50 28. 02. -31. 03. 31 2, 108% 101203, 5 2133, 36 31. 03. -30. 04. 30 1, 6055% 103336, 86 1659, 073 30. 04. -31. 05. 31 1, 505% 104995, 9 1580, 188 UKUPAN DUG: 106576, 13 PROPORCIONALNI METOD PERIOD BROJ DANA MES. STOPA (%) OSNOVICA KAMATA ZA PERIOD 31. 01. -28. 02. 28 1, 2035% 100000 1203, 5 28. 02. -31. 03. 31 2, 108% 100000 2108 31. 03. -30. 04. 30 1, 6055% 100000 1605, 5 30. 04. -31. 05. 31 1, 505% 100000 1505 UKUPAN DUG: 106422
OBRAČUN ZATEZNE KAMATE PREMA NOVOM ZAKONU • Prema Zakonu o zateznoj kamati, zatezna kamata se obračunava prema sledećem obrascu: k=G*p*d/(100*Gd) gde su: k – iznos zatezne kamate, G – iznos duga, p – propisana godišnja stopa zatezne kamate, d – kalendarski broj dana docnje u obračunskom periodu, Gd – kalendarski broj dana u godini (365, 366) – U skladu sa prethodno uvedenom notacijom, zatezna kamata Iz može biti izračunata primenom obrasca: Iz=K*i*t, gde je t=n/365, odnosno t=n/366.
OBRAČUN ZATEZNE KAMATE PREMA NOVOM ZAKONU • Na iznos duga koji glasi u dinarima, stopa zatezne kamate se prema Novom zakonu utvrđuje na godišnjem nivou kao: REFERENTA KAMATNA STOPA NBS + 8 procentnih poena • Za iznos duga koji glasi u evrima, za stopu zatezne kamate uzima se referentna kamatna stopa Evropske centralne banke na glavne operacije za refinansiranje, uvećana za 8 procentnih poena. – Za iznos duga koji glasi na drugu stranu valutu, uzima se referentna/osnovna kamatna stopa koju pri sprovođenju glavnih operacija propisuje i/ili koristi centralna banka zemlje domicilne valute, uvećana za 8 procentnih poena. • Podaci o referentnim i zateznim kamatnim stopama se objavljuju na Internet prezentaciji Narodne banke Srbije.
STOPE ZATEZNE KAMATE UVEĆANJE REFERENTNE KAMATNE STOPA ZATEZNE KAMATE PERIOD VAŽENJA 11, 25% 8, 00 procentnih poena 19, 25% 25. 12. 2012. -17. 01. 2013. 11, 50% 8, 00 procentnih poena 19, 50% 18. 01. 2013. -05. 02. 2013. 11, 75% 8, 00 procentnih poena 19, 75% počev od 06. 02. 2013. 8, 00 procentnih poena 8, 75% počev od 25. 12. 2013. REFERENTNA KAMATNA STOPA ZA IZNOSE U DINARIMA ZA IZNOSE U EVRIMA 0, 75% Izvor: Narodna banka Srbije (www. nbs. rs)
OBRAČUN ZATEZNE KAMATE PREMA NOVOM ZAKONU • Primer 2. Dužnik nije platio svoj dug od 20. 000 dinara o roku dospeća, tj. 04. 01. 2013. godine, već 16. 01. 2013. godine. Izračunati zateznu kamatu i ukupan iznos koji je dužnik platio. K=20000, d(04. 01. -16. 01. )=12, p=19, 25% Iz=20000*12*19, 25/(365*100)=126, 57 dinara K+Iz=20000+126, 57=20126, 57 dinara Primer 3. Dužnik nije platio svoj dug u iznosu od 5. 000 evra 28. 12. 2012. već 28. 01. 2013. godine. Izračunati zateznu kamatu. K=5000, d(28. 12. 2012. -28. 01. 2013. )=31, p=8, 75% Iz=5000*8, 75*31/(365*100)=37, 67 evra
OBRAČUN ZATEZNE KAMATE PREMA NOVOM ZAKONU • Primer 4. Preduzeće nije izmirilo dug u iznosu od 150. 000 dinara 10. 01. 2013. već 20. 02. 2013. godine. Izračunati zateznu kamatu i ukupan plaćeni iznos. K=150000, d 1(10. 01. -17. 01. )=7, p=19, 25% d 2 (17. 01. -05. 02)=19, p=19, 5% d 3 (05. 02. -20. 02)=15, p=19, 75% Iz 1=150000*7*19, 25/(365*100)=553, 767 Iz 2=150000*19*19, 5/(365*100)=1522, 60 Iz 3=150000*15*19, 75/(365*100)=1217, 47 K+Iz 1+Iz 2+Iz 3= 153293, 84
OBRAČUN ZATEZNE KAMATE – primena na primeru lombardnog zajma • Primer 5. Dug na osnovu založenih 250 komada obveznica iznosi 40 000 dinara Va 20. 01. 2013. godine. Kamatna stopa na odobreni zajam je 18%. Dužnik nije platio dug 20. 01. 2013. godine, već 20. 02. 2013. godine, kada je dao na ime otplate 20000 dinara, i odvojeno platio zatezni interes i redovni interes na ostatak duga za naredna tri meseca. Koliko je dužnik platio na dan regulisanja dela duga?
Ukoliko je iznos od K novčanih jedinica uložen za vremenski period t uz prost interes po stopi prinosa i, njegova krajnja vrednost će iznositi: Kt = K (1 + i∙t) Izraz 1 + i∙t predstavlja faktor akumulacije ili faktor rasta kod prostog interesnog računa. Ako imamo Kt (uvećanu vrednost kapitala za prost interes), i data nam je diskontna stopa d, početnu vrednost kapitala utvrđujemo na sledeći način: K = Kt (1 – d∙t) Izraz 1 – d∙t predstavlja diskontni faktor kod prostog interesnog računa.
Primer: Banka daje kredit od 5000 evra na 3 godine sa diskontnom stopom 5% godišnje. Odrediti koji će iznos dobiti klijent u momentu dobijanja kredita. P=5000(1 -0, 05∙ 3)=5000 ∙ 0, 85=4250 evra
Primer: Preduzeće uzima kredit od banke u iznosu od 10. 000 evra na 3 meseca. Koliko treba da vrati za 3 meseca ako uzme kredit sa 8% diskonta? 10000=Kn(1 -0, 8∙ 0, 25) Kn= 10204, 08 evra
Primer: Izračunajmo koliko treba da vrati firma banci iz prethodnog primera ako uzme kredit sa kamatnom stopom 8%. Kn=10. 000(1+0, 08∙ 0, 25)=10. 200 evra
Primer: Firma treba da plati za mašinu 1. 000 € za 5 godina i još 500. 000 € za 10 godina od danas. Firma želi da brže reguliše obavezu, da uplati 600. 000 € za 3 godine, a ostatak duga da plati za 7 godina od danas. Koji iznos treba da bude plaćen za 7 godina, ako je kamatna stopa 8%.
STOPA PRINOSA I DISKONTNA STOPA Stopa prinosa it definiše se kao prirast kapitala kroz početnu vrednost kapitala: Diskontna stopa dt definiše se kao prirast kapitala kroz krajnju vrednost kapitala:
Stopa prinosa i diskontna stopa su medjusobno ekvivaletne ako primena obe stope daje istu sadašnju vrednost iznosa raspoloživog u budućnosti: IZRAŽAVANJE DISKONTNE STOPE IZRAŽAVANJE STOPE PRINOSA PREKO STOPE PRINOSA: PREKO DISKONTNE STOPE:
Primer 1. Na koji iznos će se uvećati kapital od 800 evra uz kamatnu stopu 9% za četiri meseca? Primer 2. Neki kapital je bio uložen 9 meseci, uz stopu prinosa 10% i narastao na iznos od 5000 evra. Odrediti taj kapital? Primer 3. Godišnja diskontna stopa je d = 5, 66%. Odrediti stopu prinosa?
TABLICE ZA STOPU PRINOSA I ZA DISKONTNU STOPA/RAČUNANJE direktno obrnuto akumulacija diskontovanje akumulacija diskontni faktor akumulacije Stopa prinosa i Diskontna stopa d STOPA/FAKTOR Stopa prinosa i Diskontna stopa d
Primer 4. Za stopu prinosa od 20% i diskontnu stopu od 20% odrediti diskontni faktor i faktor akumulacije za mesec, tromesečje, pola godine i godinu. stopa diskontni faktor i 0, 9836 0, 9524 0, 9091 0, 8333 d 0, 9833 0, 95 0, 9 0, 8 i 1, 0166 1, 05 1, 1 1, 2 d 1, 0169 1, 0526 1, 1111 1, 25 stopa faktor akumulacije
FINANSIJSKO-MATEMATIČKI OBRAČUNI NA TRŽIŠTU NOVCA
OSNOVE PRIMENE FINANSIJSKE MATEMATIKE NA TRŽIŠTU NOVCA • Polazište razmatranja primene finansijskomatematičkih metoda na tržištu novca predstavlja objašnjenje stope prinosa i diskontne stope, kao i njihovog međusobnog odnosa. • Stopa prinosa i diskontna stopa dovode u vezu dve iste veličine: početnu i krajnju vrednost kapitala. Razlika među njima ogleda se u bazi u odnosu na koju se konkretna stopa primenjuje.
Stopa prinosa • Stopa prinosa se definiše kao prirast kapitala, tj. interes, u odnosu na početnu vrednost kapitala. Ukoliko je iznos od K novčanih jedinica uložen za vremenski period t uz prost interes po interesnoj stopi i, njegova krajnja vrednost će iznositi: • iz čega proizilazi sledeći izraz za utvrđivanje stope prinosa:
Diskontna stopa • Diskontna stopa se definiše kao prirast kapitala, tj. diskont, u odnosu na krajnju vrednost kapitala. Početna vrednost kapitala jednaka je: iz čega je diskontna stopa:
• Određivanjem početne vrednosti kapitala na osnovu jednakosti (1) i (2), dolazi se do izraza: odakle se sređivanjem dobija izraz za diskontnu stopu (d) i stopu prinosa (i):
IZRAČUNAVANJE CENA I PRINOSA KRATKOROČNIH HARTIJA OD VREDNOSTI • Cena koju je investitor spreman da plati za bilo koji finansijski instrument predstavlja sadašnju vrednost očekivanog budućeg neto novčanog toka po osnovu posedovanja datog instrumenta. • Vrednovanje finansijskih instrumenata tržišta novca se, s obzirom na njihovu kratkoročnu prirodu, najčešće vrši pomoću prostog interesnog računa.
Kratkoročne hartije od vrednosti su dugovni finansijski instrumenti koji svojim emitentima pružaju mogućnost brzog i jeftinog dolaska do potrebnih sredstava. Prema načinu formiranja cene i izračunavanja prinosa, kratkoročne hartije od vrednosti mogu biti: – Diskontne • Kratkoročne državne obveznice, • Komercijalni zapisi, • Bankarski akcepti, – Kamatonosne • Depozitni certifikati, • Kratkoročne obveznice državnih agencija, itd.
Diskontne hartije od vrednosti • Diskontne hartije od vrednosti se prodaju po ceni koja je niža od njihove nominalne vrednosti za diskont, odnosno za visinu prinosa obećanog investitoru. Prinos se realizuje isplatom instrumenta po nominalnoj vrednosti na dan dospeća. • Obračun prinosa D vrši se primenom diskontne stope d na nominalnu vrednost NV, uvažavajući broj dana n do roka dospeća hartije:
• U opštem slučaju, cena diskontne hartije od vrednosti koja se kupuje pre roka dospeća predstavlja razliku nominalne vrednosti i diskonta: • Uočljivo je da između cene instrumenta sa diskontnom, sa jedne, i diskontne stope i perioda posedovanja instrumenta, sa druge strane, postoji obrnuta srazmera. • Veća diskontna stopa, kao mera zahtevanog prinosa na ulaganje, podrazumeva manju cenu koju investitor plaća za dati instrument. • Kraći period posedovanja hartije podrazumeva manje odstupanje od nominalne vrednosti, i samim tim, veću cenu instrumenta.
• Izražavanjem cene diskontnog instrumenta pomoću ekvivalentne stope prinosa, umesto diskontne stope, dolazi se do izraza:
• Stopa prinosa do dospeća (engl. yield to maturity) koju ostvaruje investitor u finansijski instrument sa diskontom utvrđuje se primenom sledećeg obrasca: gde je n broj dana do dospeća hartije.
Kratkoročne državne obveznice • Država emituje kratkoročne obveznice radi finansiranja kratkoročnog budžetskog deficita ili refinansiranja ranije izdatih obveznica. • Visoka likvidnost i efikasnost tržišta, kao i država u ulozi garanta, uslovljavaju nerizičan tretman ove vrste hartija. • Usled navedenih investicionih kvaliteta, stopa prinosa kratkoročnih državnih obveznica je najniža u odnosu na stope drugih kratkoročnih hartija od vrednosti.
• Investitori mogu zadržati kupljene obveznice do roka dospeća, ili ih prodati po tržišnim cenama pre roka dospeća, posredstvom brokera i dilera na tržištu. • Razvijena tržišta novca karakteriše dominantno učešće kratkoročnih državnih obveznica u ukupnom obimu finansijskih instrumenata. – Takav je slučaj i u Sjedinjenim Američkim Državama, gde je sekundarna trgovina kratkoročnim obveznicama državne blagajne veoma aktivna. Zapisi glase na nominalnu vrednost od 10. 000 USD do 1. 000 USD. Njihovi rokovi dospeća iznose 13, 26 ili 52 nedelje, tj. 91, 182 ili 364 dana. Od američkog naziva ove vrste hartija – Treasury bills, potiče i globalno prihvaćeni skraćeni naziv T-bills.
• Trezor Ministarstva finansija Republike Srbije emituje kratkoročne obveznice (zapise) putem javnih aukcija, počev od 2003. godine. Aukcije se izvode više puta u toku meseca, prema utvrđenom kalendaru aukcija za datu budžetsku godinu. • Zapisi mogu biti tromesečni, šestomesečni ili dvanaestomesečni. • Nominalna vrednost zapisa iznosi 10. 000 RSD. • Zapise mogu kupovati sva domaća pravna i fizička lica, preko ovlašćenih učesnika. Zapisi trezora se, po pravilu, emituju kao diskontne hartije od vrednosti, tj. po ceni koja je niža od nominalne vrednosti za iznos prinosa koji će biti realizovan o roku dospeća hartije. • Usled kratkog roka dospeća, obračun cene ove vrste obveznica se zasniva na diskontovanju novčanog toka primenom prostog interesa. • Shodno članu 3. Uredbe o opštim uslovima za emisiju i prodaju kratkoročnih državnih hartija od vrednosti na primarnom tržištu, diskontovana cena državnih hartija utvrđuje se prema obrascu:
• Izračunavanje cene kratkoročne državne obveznice može biti ilustrovano na primeru koji se odnosi na državne zapise Republike Srbije. Na dan 22. 10. 2011. godine prodato je 200. 000 državnih zapisa, ukupne nominalne vrednosti 2. 000 RSD. Zapisi dospevaju na naplatu 22. 04. 2012. godine. Aukcija je izvedena po metodu jedinstvene cene, uz postignutu izvršnu stopu od 11, 65%. Ostvarena prodajna cena po komadu iznosi: • Ukoliko bi stopa od 11, 65% zaista bila diskontna stopa, ostvarena prodajna cena po komadu bila bi niža od izvršne: • Moguće je izračunati da je stvarna diskontna stopa u konkretnom slučaju iznosila:
• Nasuprot domaćoj praksi, kotacija kratkoročnih državnih obveznica koje emituje Trezor SAD obično se vrši po diskontnoj stopi. • Pri tome, specifično je da se korišćeni broj dana razlikuje u zavisnosti od toga da li se obračunava diskontna stopa ili stopa prinosa za investitora. • U prvom slučaju, primenjuje se 360, a u drugom 365 dana za kalkulaciju odgovarajuće stope. Na taj način, prinos diskontne hartije od vrednosti se dodatno umanjuje ako se meri na diskontnoj bazi u odnosu na situaciju kada se meri na bazi ekvivalentnog prinosa obveznice. • Obračun cene i prinosa za investitora u slučaju ulaganja u američke zapise Trezora može biti prikazan na praktičnom primeru.
• Zapis nominalne vrednosti 100. 000 USD i roka dospeća 91 dan emitovan je na dan 03. 09. 2011. godine, uz diskontnu stopu od 0, 150%. Cena datog zapisa iznosi: • Diskont, tj. razlika između nominalne i prodajne cene zapisa od 37, 917 USD predstavlja prinos za investitora, pod pretpostavkom držanja instrumenta do dospeća. U relativnom smislu, odgovarajući pokazatelj prinosa za investitora je stopa prinosa do dospeća (na godišnjem nivou): • Pretpostavimo da investitor odlučuje da proda kupljeni zapis na dan 01. 10. 2011. godine, kada je diskontna stopa na zapise iste ročnosti iznosila 0, 115%. Ostvarena prodajna cena zapisa će iznositi: • Ostvarena stopa prinosa u periodu posedovanja instrumenta može se izračunati kao: Naravno, investitoru je u konkretnom slučaju pogodovao pad diskontne stope u odnosu na dan emitovanja instrumenta. Da je diskontna stopa bila nepromenjena, ostvarena prodajna cena, a samim tim i stopa prinosa, bi bile niže.
Komercijalni zapisi • Komercijalni zapisi ili papiri (Commercial papers) su kratkoročne dugovne hartije koje izdaju nefinansijske institucije, prvenstveno velika preduzeća visokog boniteta. Cilj emisije je prikupljanje gotovine ili finansiranje obrtnog kapitala. • Sa aspekta njihovih emitenata, ove hartije predstavljaju relativno jeftinu zamenu za kratkoročne kredite banaka. Istovremeno, troškovi emisije komercijalnih zapisa su niži u odnosu na druge načine pribavljanja sredstava na finansijskom tržištu (tj. emisiju akcija i dugoročnih obveznica). • Mogućnost prilagođavanja veličine, ročnosti i dinamike emisije konkretnim potrebama preduzeća povećava fleksibilnost finansiranja. Pošto nisu garantovani zalogom, komercijalni zapisi omogućuju oslobađanje imovine od hipoteke. Emisijom ove vrste hartija preduzeća izgrađuju sopstveni tržišni rejting i obezbeđuju efikasniji pristup tržištu dugoročnog duga.
• Investitori u komercijalne zapise ostvaruju prinos u obliku diskonta, odnosno razlike između niže kupovne cene i više nominalne vrednosti po kojoj se vrši otkup zapisa o dospeću. Relativno veći kreditni rizik za investitore nadoknađuje se većim prinosom u odnosu na kratkoročne državne obveznice. Prinos na komercijalne zapise je približno na nivou prinosa na certifikate o depozitu. • Kreditni rejting emitenta ima ulogu garanta za investitore u komercijalne zapise. • Između kreditnog rejtinga zapisa i njegove stope prinosa postoji obrnuta srazmera. • Kreditni rizik može biti dodatno smanjen garancijom banke. Naime, moguće je da emitentu zapisa bude automatski odobren bankarski kredit u slučaju njegove nesposobnosti da izmiri dospele obaveze po osnovu emitovanog komercijalnog zapisa. U tom slučaju, cena finasiranja za emitenta će biti uvećana premijom koja mora biti plaćena banci na ime preuzetog kreditnog rizika. Istovremeno, cena finansiranja emitenta će biti umanjena usled smanjenja zahtevane stope prinosa za investitora.
• Kupci komercijalnih zapisa su obično banke, osiguravajuće kompanije, penzijski fondovi, investicioni fondovi i preduzeća. Emisija se najčešće ostvaruje posredstvom brokersko-dilerskih kuća, a ređe putem direktnih plasmana. • Rokovi dospeća komercijalnih zapisa u SAD iznose od 7 do 270 dana. S obzirom na vrlo kratke rokove dospeća u praksi, sekundarna trgovina zapisima nije značajnije razvijena. • Komercijalni zapisi se vrlo često emituju sa rokovima koji su prethodno ugovoreni sa investitorima, kako bi ih oni držali do dospeća. Na tržištu novca Srbije komercijalni zapisi nisu prisutni u prometu od 2004. godine.
• Pretpostavimo da investitor želi da kupi dana 11. 09. 2011. godine komercijalni zapis koji je izdao L’Oreal i koji dospeva na naplatu 11. 12. 2012. godine. Prilikom izdavanja zapisa aktuelna kamatna stopa na tržištu novca je 2, 42%, a njegova nominalna vrednost je 100. 000 EUR. Tržišna cena zapisa utvrđuje se primenom diskontnog faktora za datu stopu prinosa: Dakle, cena finansiranja za emitenta komercijalnog zapisa u konkretnom slučaju iznosi 2, 42%, što odgovara stopi prinosa do dospeća za investitora (na godišnjem nivou).
Blagajnički zapisi • Blagajnički zapisi predstavljaju kratkoročne dužničke hartije od vrednosti koje emituju poslovne banke radi prevazilaženja trenutnih problema nedovoljne likvidnosti. Kupci zapisa mogu biti preduzeća, druga pravna i fizička lica. Pored poslovnih, blagajničke zapise može emitovati i centralna banka, u cilju apsorpcije viškova likvidnosti iz monetarnog sistema. U tom slučaju, zapise mogu kupovati isključivo banke. • Po svojoj prirodi, blagajnički zapisi su analogni zapisima trezora, odnosno komercijalnim zapisima, uz razliku u pogledu subjekta koji se nalazi u ulozi emitenta. Relativno nizak rizik ulaganja u blagajničke zapise praćen je relativno niskim prinosom za investitore.
• Nakon perioda veoma aktivnog prometa na Beogradskoj berzi, od jula 2002. godine prestala je trgovina blagajničkim zapisima poslovnih banaka u Srbiji. Kada su u pitanju blagajnički zapisi Narodne banke Srbije, njihovo emitovanje je ponovo započelo od 21. septembra 2005. godine, nakon više od četiri godine izostanka sa tržišta. Zapisi NBS se izdaju sa nultom kamatnom stopom i rokom dospeća od 360 dana, u funkciji obavljanja REPO transakcija NBS. • Pored toga, u periodu od novembra 2006. godine do februara 2009. godine, NBS je emitovala blagajničke zapise sa rokom dospeća od 6 meseci, koje je koristila za obavljanje trajnih transakcija HOV. – Prodaja blagajničkih zapisa NBS ostvaruje se na primarnom tržištu van organizovanog tržišta hartija od vrednosti u vidu redovnih aukcija. Zapisi se emituju kao diskontne hartije od vrednosti, pri čemu se prodajna cena utvrđuje prema unapredviđenom obrascu, uzimajući u obzir stopu prinosa.
• Na primer, 22. 09. 2008. godine NBS je organizovala aukciju blagajničkih zapisa pojedinačne nominalne vrednosti 100. 000 RSD, sa rokom dospeća 23. 03. 2009. godine. Prosečna ponderisana kamatna stopa na aukciji je iznosila 14, 95%. Pojedinačna prodajna cena zapisa pri datoj stopi iznosi: • Sekundarna trgovina blagajničkim zapisima NBS između banaka se takođe ostvaruje vanberzanski. Zapisi mogu biti podneti na naplatu NBS pre isteka njihovog roka dospeća samo u izuzetnim okolnostima. U svim ostalim slučajevima, vlasniku zapisa se o roku dospeća isplaćuje nominalna vrednost na koju zapisi glase.
Bankarski akcepti • Bankarski akcept (Banker’s acceptance-BA) je trasirana menica na banku i akceptirana od banke, kojom se neopozivo naređuje isplata menične sume imaocu menice po naredbi izdavaoca menice na određeni dan. • Akcepti su najstarije hartije od vrednosti na tržištu novca. • Prilikom prodaje bankarskog akcepta, vrši se eskontovanje primenom eskontne (diskontne) stope. • O roku dospeća akcepta, banka donosiocu isplaćuje ukupnu nominalnu vrednost instrumenta.
• Rok dospeća akcepta je od 30 do 270, a najčešće 90 dana. Najznačajniji investitori u bankarske akcepte kao komercijalne hartije od vrednosti su investicioni fondovi tržišta novca, preduzeća i lokalne zajednice. Sekundarno tržište bankarskih akcepata organizovano je kao dilersko i obično je vrlo aktivno. • Pretpostavimo da investitor kupuje 21. 06. 2012. godine bankarski akcept nominalne vrednosti 100. 000 USD, čiji je rok dospeća 20. 09. 2012. godine. Diskontna stopa na akcept je 6, 60%. Cena koju investitor plaća u konkretnom slučaju je: Kupovinom datog instrumenta i njegovim držanjem do roka dospeća moguće je ostvariti prinos od 1. 668, 33 USD u apsolutnom, odnosno 6, 71% u relativnom smislu.
Kamatonosne hartije od vrednosti • Hartije od vrednosti sa kamatonosnim prinosom se emituju po ceni koja je jednaka njihovoj nominalnoj vrednosti i imaju određeni rok dospeća. Kupac ostvaruje kamatu I, koju emitent obećava da plati na nominalnu vrednost o roku dospeća: Dakle, cena o roku dospeća kamatonosne hartije od vrednosti se izračunava kao zbir nominalne vrednosti i pripadajuće kamate:
• Cena kamatonosne hartije u izabranom trenutku nakon njenog emitovanja predstavlja sadašnju vrednost iznosa koji će biti primljen po dospeću, diskontovanog primenom aktuelne kamatne stope na tržištu novca: gde su: P’ - tržišna cena hartije u određenom trenutku između dana emitovanja i roka dospeća, ic - kamatna stopa pri izdavanju instrumenta, im - kamatna stopa na tržištu na dan izračunavanja cene, nc - broj dana od dana emitovanja do roka dospeća hartije, nm - preostali broj dana od dana kada se izračunava cena do roka dospeća.
• Ukoliko je hartija prethodno kupljena na dan emitovanja, i zatim prodata pre roka dospeća po ceni Pʹ, investitor bi ostvario prinos u iznosu: gde je n broj dana posedovanja hartije.
• Moguće je da investitor kupi kamatonosnu hartiju nakon dana emitovanja, i zatim je proda pre dana dospeća. Ostvareni prinos u periodu posedovanja hartije može biti utvrđen prema obrascu: gde su: i-ostvareni prinos u periodu posedovanja hartije, im-kamatna stopa pri kupovini instrumenta, is-kamatna stopa pri prodaji instrumenta, nm-broj dana od kupovine do roka dospeća, ns-broj dana od prodaje do roka dospeća, n-broj dana posedovanja instrumenta
Depozitni certifikati • Depozitni certifikat (Certificate of deposit-CD) je potvrda koja glasi na određenu sumu novca deponovanog u banci, na određeni rok i uz određenu kamatnu stopu. • Zbog svoje likvidnosti i činjenice da su depoziti kod poslovnih banaka osigurani, depozitni certifikati se smatraju sigurnim finansijskim instrumentom. – Ipak, postoje i certifikati o depozitu koji nisu osigurani. U pitanju su tzv. „džambo“ (jumbo) CDs, koji se izdaju sa nominalnom vrednošću većom od 100. 000 USD. • Za banke kao njihove emitente, depozitni certifikati predstavljaju alternativu pribavljanju sredstava putem klasičnog depozita, i instrument za upravljanje rizikom kamatne stope.
• U cilju ilustracije obračuna cene CD, pretpostavimo da je banka izdala depozitni certifikat 28. 08. 2011. godine sa rokom dospeća 25. 05. 2012. godine, na nominalni iznos od 80. 000 EUR i sa kuponskom kamatnom stopom 4, 27% na dan izdavanja. Donosilac ovog instrumenta bi na dan dospeća dobio iznos od:
Na dan 20. 10. 2008. godine kamatna stopa na tržištu novca je iznosila 4, 19%. Cenu ovog depozitnog certifikata na sekundarnom tržištu moguće je izračunati na sledeći način:
• Prinos za investitora u slučaju prodaje instrumenta pre roka dospeća bi bio jednak razlici nominalne vrednosti i kupovne cene instrumenta, tj. iznosio bi 528, 149 EUR. Odgovarajuća stopa prinosa, uvažavajući vremenski period posedovanja instrumenta, bila bi jednaka:
• Na dan 19. 11. 2011. godine kamatna stopa na tržištu novca je smanjena na 4%. Moguće je da investitor koji je kupio depozitni certifikat 20. 10. 2011. godine na sekundarnom tržištu, odluči da proda instrument na dan 19. 11. 2011. godine. Ostvarena stopa prinosa za 30 dana posedovanja instrumenta iznosila bi:
• Znanja o primeni razmotrenih modela su od interesa kako za investitore, tako i za emitente kratkoročnih finansijskih instrumenata. • U cilju donošenja adekvatnih investicionih odluka, subjekti na strani ponude kratkoročnih finansijskih sredstava vrše poređenje prinosa po osnovu različitih alternativa ulaganja. Istovremeno, subjekti na strani tražnje za kratkoročnim finansijskim sredstvima vrše poređenje troškova različitih alternativa za finansiranje trenutnih potreba, radi što racionalnijeg poslovanja. • Kvalitetno obavljanje ovakvih aktivnosti zasniva se na metodološkim osnovama tržišta novca koje pruža finansijska matematika. • Konačno, upravo analizirani modeli se, pored uspostavljanja neophodnih makroekonomskih i institucionalnih uslova, javljaju kao veoma važan faktor razvoja tržišta novca u celini.
SLOŽENI INTERES • Osnovni elementi finansijskih modela su vreme i novac. • Vremenska vredost novca je osnova finansijske matematike: Ista suma novca u različiti vremenskim trenucima različitu vrednost. – Jedan dinar danas vredi više nego isti dinar nakon n godina, usled mogućnosti njegovog ulaganja i ostvarenja prinosa (kamate, interesa) u međuvremenu. Početak obračuna -2 prošlost -1 0 sadašnjost 1 2 budućnost
Princip ekvivalencije godina vreme • Shodno principu ekvivalencije, novčani iznosi koji se odnose na različite vremenske trenutke su međusobno uporedivi (ekvivalentni) tek kada se svi svedu na jedan isti vremenski trenutak.
Na kraju 1. godine Na kraju 2. godine Na kraju treće godine. . . Na kraju n-te godine
• FAKTOR AKUMULACIJE • Na koju sumu će nakon n godina narasti kapital od K 0 dinara, koji je uložen uz p%(pa)d interesa i godišnje kapitalisanje?
Primer 1. Štediša uloži 100 evra u banku koja plaća 6% godišnje. Koji će iznos kamata štediša ostvariti nakon 4 -te godine? 100*1, 06=106 106*1, 06=112, 36 ili 100*1, 062=112, 36 100*1, 063=100*1, 19101=119, 10 100*1, 064=100*1, 2624=126, 24
Primer 2. Kolika je uvećana vrednost 300 evra uloženih uz 5% godišnje: a) nakon 6 godina b) nakon 12 godina? a) 300*(1+0, 05)6=402, 03 evra b) 300*(1+0, 05)12 =538, 75 evra
Primer 3. Ukoliko danas uložimo 1000 dinara u banku koja računa interes po stopi 5% (pa)d, koliko ćemo imati na računu na kraju pete godine, ako je kapitalisanje: a) godišnje, b) tromesečno?
Primer 4. Dužnik treba da uplati 15. 400 posle 4 godine i 17. 350 posle 6 godina. Umesto ovih uplata on bi hteo da uplati 1 iznos posle 7 godina uz 5% (pa)d interesa. Izračunati ovaj iznos. 15. 400 0 1 2 3 4 17. 350 5 6 X 7
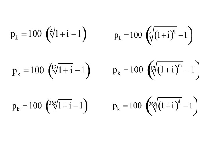
VRSTE KAMATNIH STOPA • NOMINALNA KAMATNA STOPA je neto stopa (bez uključenih troškova) na godišnjem nivou. • RELATIVNA STOPA odgovara kraćem vremenskom periodu od jedne godine i dobija se deljenjem nominalne stope sa brojem obračunskih perioda u toku godine. • EFEKTIVNA KAMATNA STOPA je bruto stopa(sa uključenim propisanim bankarskim troškovima) na godišnjem nivou. Sam obračun efektivne kamatne stope(bez troškova) se izvodi kada je prisutan veći broj obračunskih perioda u toku godine. • KONFORMNA KAMATNA STOPA predstavlja onu kamatnu stopu koja pri m puta godišnjem kapitalisanju daje isti iznos interesa kao i nominalna kamatna stopa pri godišnjem kapitalisanju. Ova stopa je uvek manja od relativne stope.
Zašto efektivna kamatna stopa? • Realna - stvarna kamatna stopa koju plaća zajmoprimac • Realno izražava ukupnu cenu kredita (sve troškove u vezi kredita) • Isključuje obmanu klijenata • Uređenje tržišta bankarskih usluga • Sprečavanje nelojalne konkurencije
OBRAČUN NOMINALNE, RELATIVNE, KONFORMNE I EEKTIVNE KAMATNE STOPE Relativna kamatna stopa kada je kapitalisanje: polugodišnje: kvartalno: mesečno: dnevno: gde je p nominalna kamatna stopa. Primer : Godišnjoj stopi od 20% za 85 dana u običnoj godini odredite relativnu stopu.
Konformna kamatna stopa l + i = (l + ik)m ik = pk /100
Primer 1. Odrediti polugodišnju komformnu kamatnu stopu ako nominalna godišnja kamatna stopa iznosi 6%. Primer 2. Odrediti kvartalnu komformnu kamatnu stopu ako je godišnja stopa 54%.
Primer 3. Naći komformnu kamatnu stopu za 32 dana ako godišnja kamatna stopa iznosi 86%.
EFEKTIVNA KAMATNA STOPA Ako je kapitalisanje polugodišnje: Ako je kapitalisanje kvartalno: Ako je kapitalisanje mesečno: Ako je kapitalisanje dnevno:
Kod kontinuelnog ukamaćenja efektivna kamatna stopa je: Primer: Ako je nominalna kamatna stopa i=7, 2%, kolika je efektivna stopa pri kontinuelnom ukamaćenju?
Primer: Nominalna kamatna stopa je 8% na depozit koji je uložen na godinu dana, sa kvartalnim obračunavanjem kamate. Kolika je efektivna stopa?
Primer: Nominalnoj stopi sa mesečnim obračunom interesa odgovara efektivna godišnja stopa od 7, 5%. Kolika je nominalna kamatna stopa?
DISKONTNI FAKTOR Diskontni faktor pokazuje kolika je sadašnja (početna) vrednost kapitala koji je bio uložen n godina uz p%(pa)d i godišnje kapitalisanje, ako je njegova uvećana vrednost na kraju n-te godine iznos od jedne novčane jedinice. Diskontovati neki iznos kapitala Kn znači umanjiti ga za interes za koji je taj kapital uvećan tokom n godina i svesti ga na njegovu sadašnju (početnu) vrednost.
Primer: Koji će kapital za 7 godina uz 4% (pa)d interesa da poraste na 50000 dinara kapitalisanje godišnje? K 0 50000 0 7
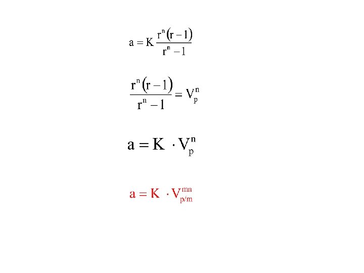
FAKTOR DODAJNIH ULOGA (III tablice) a) Anticipativni ulozi Početkom svake godine u toku n godina ulaže se po u dinara godišnje uz p%(pa)d interesa na interes pri godišnjem kapitalisanju. Odrediti krajnju vrednost zbira uloga. u u 0 1 u 2 u 3 u u Sn 4 n-1 n u ∙rn-1 u ∙rn-2 u ∙ r Sn = u ∙rn+ u ∙rn-1+ u ∙rn-2+. . . + u ∙r 2+ u ∙r
b) Dekurzivni ulozi Krajem svake godine u toku n godina ulaže se po u dinara godišnje uz p%(pa)d interesa na interes pri godišnjem kapitalisanju. Odrediti krajnju vrednost zbira uloga. u 0 u u S’n u 1 2 3 4 n-1 n u · r n-1 u · r n-2. . . u. S'n = u ·rn-1+ u ·rn-2+ u ·rn-3+. . . + u ·r 2+ u ·r+ u S'n = u (l + r 2 +. . . + rn-2 + r n-1)
Primer: a) Ukoliko u banku koja plaća interes po stopi od 6% (pa)d, kapitališe jedanput godišnje ulažemo 10 puta uzastopno početkom godine po 1000 dinara, koliko će iznositi suma ovih uloga na kraju 10 -te godine? b) Koliko iznosi suma ovih uloga ukoliko se uplaćuju krajem svake godine? a) b)
ULAGANJE ČEŠĆE OD OBRAČUNAVANJA INTERESA gde je: - broj uloga u obračunskom periodu; n- broj godina; m- broj kapitalisanja godišnje.
Primer: Ulagano je u banku početkom svakog tromesečja po 1000 dinara. Koliki je zbir ovih uloga krajem dvadesete godine, ako je interes računat po stopi 16% uz godišnje kapitalisanje?
FAKTOR AKTUALIZACIJE IV tablice a) Dekurzivni ulozi Krajem svake godine u toku n godina ulaže se po a dinara godišnje uz p%(pa)d interesa na interes pri godišnjem kapitalisanju. Odrediti sadašnju vrednost zbira uloga. C 0 a 1 a 2 0 1 2 an 3 n
b) Anticipativni ulozi Početkom svake godine u toku n godina ulaže se po a dinara godišnje uz p%(pa)d interesa na interes pri godišnjem kapitalisanju. Odrediti sadašnju vrednost zbira uloga. C 0 a a 0 1 2 n-1 n
Primer: • Kolika je neto sadašnja vrednost investicije od 25. 000 evra uz diskontnu stopu 5%, ako se od investicije očekuju jednaki godišnji neto novčani tokovi od 9000 u toku 4 godine? • Odrediti internu stopu prinosa.
SADAŠNJA VREDNOST ODLOŽENIH DEKURZIVNIH ULOGA Ako se posle d godina u toku narednih n godina ulaže po a novčanih jedinica dekurzivno uz interesnu stopu p%(pa)d i godišnje kapitalisanje, onda će sadašnja vrednost tih uloga biti izračunata na sledeći način: C 0 -d 0 a d a a d+1 d+2 d+3 a d+n
SADAŠNJA VREDNOST ODLOŽENIH ANTICIPATIVNIH ULOGA Ako se posle d godina u toku narednih n godina ulaže po a novčanih jedinica anticipativno uz interesnu stopu p%(pa)d i godišnje kapitalisanje, onda će sadašnja vrednost tih uloga biti izračunata na sledeći način: C 0 -d’ 0 a a a d d+1 d+2 a d+n-1 d+n
Primer: Ulaže se krajem svake godine posle 7 -me godine 14 puta po 4900 dinara. Odrediti sadašnju vrednost ovih uloga u momentu t = 0, ako je interesna stopa 8% (pa)d, a kapitalisanje je godišnje.
FAKTOR POVRAĆAJA (AMORTIZACIJA ZAJMA) Zajam od K novčanih jedinica amortizuje se jednakim godišnjim anuitetima od a novčanih jedinica krajem svake godine tokom n godina, pri kamatnoj stopi p%(pa)d i godišnjem kapitalisanju. Odrediti visinu zajma, odnosno anuiteta. K a a 0 1 2 3 n
Zakon otplata • Neka se zajam amortizuje n godina jednakim godišnjim anuitetima uz p%(pa)d i godišnje kapitalisanje. Obeležimo anuitete sa a, a otplate od prvog do n-tog perioda sa b 1, b 2, . . . , bn. • Za dva bilo koja uzastopna perioda k i k+1, Rk-1 predstavlja ostatak duga na početku k-tog perioda, a bk i bk+1 otplate k-tog i (k-1)-og perioda. • Anuitet plaćen na kraju k-tog perioda biće: ak = Rk-1 ∙ i + bk • Anuitet plaćen na kraju (k+1)-og perioda biće: ak+1 = (Rk-1 –bk)∙ i + bk+1 • Pošto su anuiteti jednaki, sledi da je: Rk-1 ∙ i + bk = (Rk-1 –bk)∙ i + bk+1 Odavde je: bk+1=bk(1+i)
Računanje prve otplate K = b 1 + b 2 +. . + bn Pošto je po zakonu otplate bk+1=bk(1+i), imaćemo na kraju prve, druge i n-te godine sledeće otplate: b 1 b 2=b 1(1+i) b 3=b 2(1+i)=b 1(1+i) … K = b 1 [ 1 + (1 + i)2 +. . . + (1 + i)n-1]
Računanje prve otplate • Prethodna jednakost može biti zapisana u obliku: odnosno: Odavde možemo izračunati otlatu b 1:
Računanje ma koje otplate pomoću anuiteta • Pošto je prva otplata: a zajam K je: sledi da je: odnosno: Pošto svaku otplatu možemo izraziti preko prve, otplata na kraju k-tog perioda biće: odnosno
Računanje interesa plaćenog u bilo kom periodu • Interes u k-tom periodu jednak je Ik = a - bk odnosno:
Otplaćeni deo duga sa prvih c- plaćenih anuiteta Oc = b 1 + b 2 +. . . + bc Ostatak duga posle prvih c- plaćenih anuiteta Rc = K - Oc
Anuiteti jednaki i češći od kapitalisanja Gde je - broj anuiteta u toku kapitalisanja m- broj kapitalisanja n- broj godina amortizacije zajma
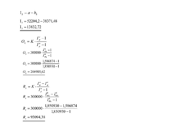
Primer: Zajam od 300. 000 evra amortizuje se jednakim godišnjim anuitetima u toku 6 godina i uz interes 4% (pa)d i godišnje kapitalisanje. Izraditi plan amortizacije.
Period Kredit Kamata Otplata Anuitet 1 300000, 00 12000, 00 45228, 57 57228, 57 2 254771, 43 10190, 86 47037, 71 57228, 57 3 207733, 72 8309, 35 48919, 22 57228, 57 4 158814, 50 6352, 58 50875, 99 57228, 57 5 107938, 51 4317, 54 52911, 03 57228, 57 6 55027, 48 2201, 09 55027, 48 57228, 57 43371, 42 300000, 00 343371, 42 Ukupno
Primer: Zajam od 300. 000 evra amortizuje se 8 godina jednakim anuitetima uz 8% interesa i godišnje kapitalisanje. Odrediti: anuitet, otplaćeni deo duga sa 6 plaćenih anuiteta, prvu otplatu, petu otplatu i peti interes, ostatak duga posle 6 plaćenih anuiteta.
Primer: Odobren je kredit od 40. 000 evra. Godišnja nominalna kamatna stopa je 8, 5% i godišnji obračun kamate. Odrediti mesečni anuitet koristeći konformnu kamatnu stopu.
Primer: Odobren je kredit od 40. 000 €. Godišnja nominalna kamatna stopa je 8, 5%, i godišnji obračun kamate. Odrediti mesečni anuitet koristeći relativnu kamatnu stopu. Korišćenjen konformne kamatne stope u prethodnom primeru ukupan interes je 29. 581, 43. Razlika je 1319, 82 evra.


