Скачать презентацию Фенолы Повторение 2 Что называют спиртами Скачать презентацию Фенолы Повторение 2 Что называют спиртами

фенолы.pptx

  • Количество слайдов: 30

Фенолы Фенолы

Повторение 2. Что называют спиртами ? Повторение 2. Что называют спиртами ?

Повторение 3 2 1 Повторение 3 2 1

Повторение 4. При взаимодействии каких веществ можно получить следующее вещество? А Б Повторение 4. При взаимодействии каких веществ можно получить следующее вещество? А Б

Повторение Повторение

Классификация фенолов По числу бензольных колец по числу гидроксогрупп, связанных с бензольным кольцом Пирокатехин, Классификация фенолов По числу бензольных колец по числу гидроксогрупп, связанных с бензольным кольцом Пирокатехин, резорцин, гидрохинон пирогаллол

Сравните ароматические спирты и фенолы Фенолы Ароматические спирты Сравните ароматические спирты и фенолы Фенолы Ароматические спирты

Нахождение в природе Каменный уголь, А также: Нахождение в природе Каменный уголь, А также:

Физические свойства Бесцветные кристаллы (при хранении розовеют) Характерный запах Температура плавления +430 С Температура Физические свойства Бесцветные кристаллы (при хранении розовеют) Характерный запах Температура плавления +430 С Температура кипения +1820 С Хорошо растворим в ацетоне Ограниченно растворим в холодной воде. Неограниченно смешивается с водой при температуре +660 С

Строение молекулы Химические свойства обусловлены наличием и бензольного кольца, и гидроксогруппы Строение молекулы Химические свойства обусловлены наличием и бензольного кольца, и гидроксогруппы

Реакции по гидроксогруппе Молекулы фенола диссоциируют в водных растворах по кислотному типу Главное отличие Реакции по гидроксогруппе Молекулы фенола диссоциируют в водных растворах по кислотному типу Главное отличие фенолов от спиртов: Фенол является слабой кислотой, в отличие от спиртов, которые являются неэлектролитами.

Реакции по гидроксогруппе Реакции по гидроксогруппе

Реакции по гидроксогруппе Реакции по гидроксогруппе

Реакции по гидроксогруппе Фенол (карболовая кислота) – очень слабая. Феноляты легко разлагаются при действии Реакции по гидроксогруппе Фенол (карболовая кислота) – очень слабая. Феноляты легко разлагаются при действии кислот (даже угольной)

Реакции по бензольному кольцу Реакции по бензольному кольцу

Реакции по бензольному кольцу Реакции по бензольному кольцу

Реакции по бензольному кольцу Реакции по бензольному кольцу

Качественная реакция на фенол Реактив – хлорид железа (III) Одноатомные фенолы образуют с Fe. Качественная реакция на фенол Реактив – хлорид железа (III) Одноатомные фенолы образуют с Fe. Cl 3 комплексные феноляты, имеющие фиолетовую окраску

Получение üПервый промышленный способ – из хлорбензола в жестких условиях ü Из каменноугольной смолы, Получение üПервый промышленный способ – из хлорбензола в жестких условиях ü Из каменноугольной смолы, получаемой при коксовании каменного угля ü Прямым окислением бензола

Кумольный способ Кумольный способ

Применение фенола Применение фенола

Какие относятся к фенолам, какие – к спиртам Какие относятся к фенолам, какие – к спиртам

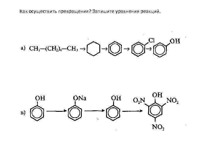
Как осуществить превращения? Запишите уравнения реакций. Как осуществить превращения? Запишите уравнения реакций.

Домашнее задание • Параграф 10, стр 79: Вопросы 1, 2, 3, 4, задачи 5, Домашнее задание • Параграф 10, стр 79: Вопросы 1, 2, 3, 4, задачи 5, 6

Задачи повышенного уровня Задачи повышенного уровня