Федеральный бюджет.ppt
- Количество слайдов: 19
Федеральный бюджет Выполнила: ст. гр. ЭУС-108 Николина А. К.
Федеральный бюджет - это общественные отношения по поводу формирования и использования централизованной федеральной властью фонда денежных средств.
По экономическому содержанию федеральный процесс: • это форма образования и использования централизованного фонда денежных средств РФ; • является главным средством перераспределения национального дохода и валового внутреннего продукта, через него мобилизуются финансовые ресурсы, необходимые для регулирования экономического развития страны, реализации социальной политики на территории всей России, укрепления обороноспособности государства; • это значительная часть распределительного процесса, которая заключается в распределении денежных средств между отраслями народного хозяйства, производственной и не производственной сферами, регионами страны.
Структура доходов федерального бюджета определяется: - потребностями государства в финансовых ресурсах; - возможностями государства по мобилизации этих ресурсов; - особенностями проводимой экономической политики. Структура расходов федерального бюджета определяется: - функциями государства.
Бюджетный процесс 1. Правительство России вносит на рассмотрение Государственной Думы проект федерального бюджета на очередной финансовый год. 2. Федеральный бюджет рассматривается Госдумой в трёх чтениях. 3. После принятия федерального бюджета Госдумой он утверждается Советом Федерации и подписывается Президентом РФ.
Доходы федерального бюджета: - собственные налоговые доходы федерального бюджета (за исключением налоговых доходов, передаваемых в виде регулирующих доходов бюджетам других уровней бюджетной системы РФ), а именно федеральные налоги и сборы, таможенные пошлины, таможенные сборы и иные таможенные платежи и государственная пошлина; - доходы от использования имущества, находящегося в государственной собственности; - доходы федеральных целевых бюджетных фондов;
Доходы федерального бюджета: - доходы от платных услуг, оказываемых бюджетными учреждениями, находящимися в ведении органов государственной власти Российской Федерации; - доходы от продажи имущества, находящегося в государственной собственности; - часть прибыли унитарных предприятий, созданных Российской Федерацией, остающаяся после уплаты налогов и иных обязательных платежей; - доходы от внешнеэкономической деятельности; - прибыль Банка России.
Расходы федерального бюджета: • обеспечение деятельности президента РФ, Федерального собрания РФ, Счетной палаты РФ, Центральной избирательной комиссии РФ, федеральных органов исполнительной власти и их территориальных органов; • функционирование федеральной судебной системы; • осуществление международной деятельности; • национальная оборона и обеспечение безопасности государства, осуществление конверсии оборонных отраслей промышленности; • фундаментальные исследования и содействие научнотехническому прогрессу; • государственная поддержка железнодорожного, воздушного и морского транспорта; • государственная поддержка атомной энергетики; • ликвидация последствий чрезвычайных ситуаций и стихийных бедствий федерального масштаба;
Расходы федерального бюджета: • исследование и использование космического пространства; • формирование федеральной собственности; • обслуживание и погашение государственного долга Российской Федерации; • компенсация государственным внебюджетным фондам расходов на выплату государственных пенсий и пособий, других социальных выплат, подлежащих финансированию в соответствии с законодательством Российской Федерации за счет средств федерального бюджета; • федеральная инвестиционная программа; • официальный статистический учет; • обустройство государственной границы; • образование государственных, материальных и финансовых резервов.
Основные характеристики федерального бюджета на 2012 год и на плановый период 2013 и 2014 годов (млрд руб. ) Показатель 2009 г. 2010 г. 2011 г. Доходы, всего 7337, 8 8305, 4 нефтегазов ые доходы 2984 ненефтегаз овые доходы Проект 2012 г. 2013 г. 2014 г. 11366 12677 12705, 9 14091, 8 3830, 7 5462 5574, 9 5645, 8 6127, 2 4353, 8 4474, 7 5904 7102. 1 7060, 1 7964, 6 Расходы, всего 8686, 3 9064, 7 10935 12745, 2 13730, 6 14582, 9 Дефицит/ профицит — 1348, 5 — 759, 3 — 431 — 68, 2 — 1024, 7 — 491, 1 Ненефтегаз овый дефицит — 5306, 3 — 5642, 7 — 5491, 9 — 6451, 4 — 6670, 6 — 6618, 3 в том числе:
13, 2 % 36, 8 % 0, 23 % 11, 5 % 10, 9 %
4, 3 % 20, 6 % 7, 7 % 16, 6 % 6, 2 %
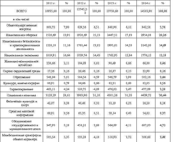
2011 г. % 2012 г. % 2013 г. % 2014 г. % ВСЕГО 10935, 00 100, 00 12745, 2 0 100, 00 13730, 60 100, 00 14582, 90 100, 00 в том числе: Общегосударственные вопросы 863, 72 7, 90 829, 56 6, 51 840, 90 6, 12 842, 58 5, 78 Национальная оборона 1520, 69 13, 91 1928, 69 15, 13 2447, 51 17, 83 2954, 08 20, 26 Национальная безопасность и правоохранительная деятельность 1220, 18 11, 16 1761, 44 13, 82 1995, 61 14, 53 2142, 00 14, 69 Национальная экономика 1819, 91 16, 64 1839, 74 14, 43 1762, 95 12, 84 1776, 12 12, 18 Жилищно-коммунальное хозяйство 230, 66 2, 11 104, 09 0, 82 90, 49 0, 66 66, 80 0, 46 Охрана окружающей среды 17, 36 0, 16 20, 46 0, 16 20, 87 0, 15 22, 98 0, 16 Образование 548, 04 5, 01 584, 54 4, 59 546, 79 3, 98 502, 16 3, 44 Культура, кинематография 86, 91 0, 79 84, 46 0, 66 82, 31 0, 60 82, 05 0, 56 Здравоохранение 463, 11 4, 24 520, 75 4, 09 476, 02 3, 47 477, 89 3, 28 Социальная политика 3128, 29 28, 61 3963, 96 31, 10 4301, 26 31, 33 4439, 72 30, 44 Физическая культура и спорт 42, 07 0, 38 40, 40 0, 32 32, 19 0, 23 26, 20 0, 18 Средства массовой информации 60, 91 0, 56 65, 35 0, 51 59, 14 0, 43 54, 02 0, 37 347, 93 3, 18 458, 21 3, 68 564, 09 4, 11 687, 83 4, 72 585, 54 5, 35 533, 28 4, 18 510, 93 3, 72 508, 60 3, 49 Обслуживание государственного и муниципального долга Межбюджетные трансферты общего характера
Заключение Федеральный бюджет, показывая размеры необходимых государству финансовых ресурсов и реально имеющих резервов, определяет налоговый климат страны, а фиксируя конкретные направления расходования средств, является конкретным выражением экономической политики государства. Через бюджет происходит перераспределение национального дохода и внутреннего валового продукта. Бюджет выступает инструментом регулирования и стимулирования экономики, инвестиционной активности повышения эффективности производства, именно через бюджет осуществляется социальная политика. Таким образом, бюджет, объединяя в себе основные финансовые категории, является ведущим звеном финансовой системы любого государства и играет как важную экономическую, так и политическую роль в любом современном обществе.
Федеральный бюджет.ppt