09.Ароматические у.-в.23.08.09.ppt
- Количество слайдов: 38
Фарм. Ф Лекция 9 Органическая химия АРОМАТИЧЕСКИЕ УГЛЕВОДОРОДЫ (АРЕНЫ)
Фарм. Ф Органическая химия Ароматические углеводороды (арены) – это соединения, содержащие ароматическую систему, что определяет их общие признаки в структуре и химических свойствах.
Фарм. Ф Органическая химия БЕНЗОИДНЫЕ АРЕНЫ
Фарм. Ф Органическая химия
Фарм. Ф Органическая химия НЕБЕНЗОИДНЫЕ АРЕНЫ
Фарм. Ф Органическая химия
Фарм. Ф Органическая химия Способы получения ароматических углеводородов 1. Бензол, толуол, ксилолы, нафталин – выделяются из каменноугольной смолы, образующейся при коксовании угля. 2. Некоторые сорта нефти содержат бензол и толуол.
Фарм. Ф Органическая химия Но основной путь получения аренов из нефти – это её ароматизация: каталитическая циклизация и дегидрирование алканов. Например:
Фарм. Ф Органическая химия 3. Получение алкилбензолов
Фарм. Ф Органическая химия 4. Получение дифенила
Фарм. Ф Органическая химия 5. Получение дифенилметана (по Фриделю-Крафтсу)
Фарм. Ф Органическая химия Химические свойства ароматических углеводородов 1. Реакции электрофильного замещения (SЕ) Механизм реакций SЕ:
Фарм. Ф Органическая химия Влияние заместителей на скорость и направление реакций SЕ. Различные заместители меняют электронную плотность в бензольном кольце, причем она становится не одинаковой на различных атомах углерода. Это изменяет скорость реакций SЕ и делает её неодинаковой для различных положений цикла.
Фарм. Ф Органическая химия
Фарм. Ф Органическая химия Особое положение занимают заместителигалогены: За счет +М-эффекта они ориентируют реакцию в орто- и пара-положения (как заместители I рода), но их –I -эффект по абсолютной величине превышает мезомерный: общая электронная плотность в цикле снижается и скорость реакции SE уменьшается.
Фарм. Ф Органическая химия
Фарм. Ф Органическая химия Ориентация в дизамещенных бензола 1. Согласованная ориентация:
Фарм. Ф Органическая химия 2. При несогласованной ориентации учитываются: а) влияние более сильно активирующей группы:
Фарм. Ф Органическая химия б) пространственные затруднения:
Фарм. Ф Органическая химия Виды реакций электрофильного замещения 1. Галогенирование
Фарм. Ф Органическая химия 2. Нитрование
Фарм. Ф Органическая химия 3. Сульфирование
Фарм. Ф Органическая химия Алкилироавние и ацилирование по Фриделю-Крафтсу 4. Алкилирование
Фарм. Ф Органическая химия 5. Ацилирование
Фарм. Ф Органическая химия 2. Реакции бензола с разрушением ароматической системы 1. Окисление
Фарм. Ф Органическая химия 2. Восстановление (гидрирование) 3. Радикальное хлорирование
Фарм. Ф Органическая химия 3. Реакции боковых цепей алкилбензолов 1. Радикальное замещение
Фарм. Ф Органическая химия Другие алкилбензолы хлорируются в α-положение:
Фарм. Ф Органическая химия 2. Окисление Все моноалкилбензолы при окислении KMn. O 4 в щелочной среде дают бензойную кислоту:
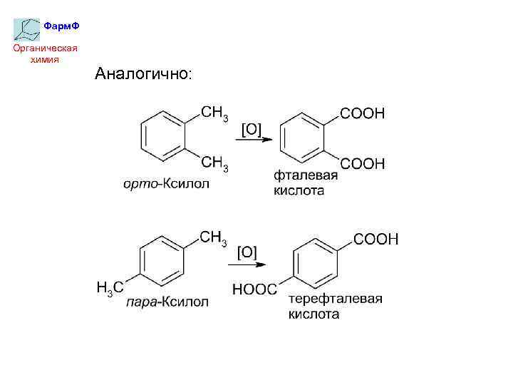
Фарм. Ф Органическая химия Аналогично:
Фарм. Ф Органическая химия 4. Реакции многоядерных аренов Реакции дифенилметана Бензольные кольца дифенилметана изолированы, и по реакционной способности он подобен алкилбензолам (толуол):
Фарм. Ф Органическая химия Реакции дифенила Бензольные кольца дифенила почти копланарны и сопряжены. Реакции SE идут поочередно в оба цикла:
Фарм. Ф Органическая химия Реакции нафталина 1. Электрофильное замещение
Фарм. Ф Органическая химия
Фарм. Ф Органическая химия 2. Восстановление (гидрирование)
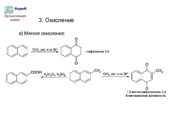
Фарм. Ф Органическая химия 3. Окисление а) Мягкое окисление
Фарм. Ф Органическая химия а) Жесткое окисление
Фарм. Ф Органическая химия Отдельные представители аренов – см. учебник ЛИТЕРАТУРА: 1. Белобородов В. Л. , Зурабян С. Э. , Лузин А. П. , Тюкавкина Н. А. – Органическая химия (основной курс) – ДРОФА, М. , 2003 г. , с. 249 – 293. 23. 08. 09


