22.Липиды 20.09.09.ppt
- Количество слайдов: 34
Фарм. Ф Лекция 22 Органическая химия ЛИПИДЫ
Фарм. Ф Органическая химия Липиды – это большая группа природных веществ разнообразных по химическому строению и объединенных общим физико-химическим свойством: они нерастворимы в воде и хорошо растворимы в неполярных органических растворителях.
Фарм. Ф Органическая химия Классификация липидов Многие липиды гидролитически расщепляются в кислой и щелочной средах. Такие липиды называются омыляемыми (омыление – щелочной гидролиз).
Фарм. Ф Органическая химия Жирные кислоты Жирными кислотами называются монокарбоновые кислоты с длинной углеродной цепью. Эти вещества впервые были выделены из жиров, откуда и получили свое название. Длина углеродной цепи жирных кислот (Жр. К) различна, но наиболее распространены кислоты с 16 -ю и 18 -ю атомами углерода. Среди Жр. К есть не содержащие двойных связей – насыщенные, а также содержащие одну или несколько двойных связей – соответственно ненасыщенные и полиненасыщенные.
Фарм. Ф Органическая химия Наиболее распространены следующие жирные кислоты: а) Насыщенные жирные кислоты
Фарм. Ф Органическая химия б) Ненасыщенные жирные кислоты
Фарм. Ф Органическая химия
Фарм. Ф Органическая химия Насыщенные Жр. К образуются в организме из ацетил-Ко. А - метаболически активной формы уксусной кислоты. Из ненасыщенных Жр. К в организме образуется только олеиновая. Полиненасыщенные Жр. К – линолевая, линоленовая и арахидоновая – в организме не образуются и необходимо их поступление с пищей (витамин F).
Фарм. Ф Органическая химия ПРОСТЫЕ ЛИПИДЫ Воски – это сложные эфиры высших жирных кислот и высших одноатомный спиртов.
Фарм. Ф Органическая химия
Фарм. Ф Органическая химия Восковые вещества образуют защитную смазку на коже человека и животных, предохраняют растения от высыхания. В фармации воски используются как компоненты мазей.
Фарм. Ф Органическая химия Жиры и масла (триглицериды) Триглицериды – это сложные эфиры глицерина и жирных кислот.
Фарм. Ф Органическая химия Консистенция триглицерида зависит от его ненасыщенности. Насыщенные триглицериды – твердые: это жиры, главным образом, животные. С увеличением количества двойных связей температура плавления вещества снижается: ненасыщенные триглицериды – жидкие: это масла, главным образом, растительные.
Фарм. Ф Органическая химия Общее количество двойных связей в маслах оценивается при помощи их реакции с йодом - йод присоединяется по двойным связям. Йодное число – это количество г йода, которое присоединяется к 100 г вещества.
Фарм. Ф Органическая химия В организме животных и человека триглицериды играют роль энергетического депо: калорийность жиров примерно в 2 раза выше, чем углеводов. Они также являются структурным материалом жировой ткани.
Фарм. Ф Органическая химия Химические свойства жиров 1) Гидролиз: Жиры, как сложные эфиры, гидролитически расщепляются в кислой или щелочной среде, образуя глицерин и жирные кислоты или их соли. Щелочной гидролиз жиров – омыление, его продукты – глицерин и соли жирных кислот – мыла:
Фарм. Ф Органическая химия
Фарм. Ф Органическая химия 2) Гидрирование (гидрогенизация): Триглицериды в присутствии катализатора присоединяют по двойным связям водород, и жидкие масла превращаются в твердые жиры:
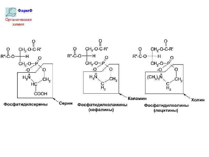
Фарм. Ф СЛОЖНЫЕ ЛИПИДЫ Органическая химия Фосфолипиды – это производные фосфатидных кислот:
Фарм. Ф Органическая химия Отдельные виды фосфолипидов образуются при этерификации фосфатидной кислоты спиртами – серином, этаноламином, холином и инозитом:
Фарм. Ф Органическая химия
Фарм. Ф Органическая химия
Фарм. Ф Органическая химия Фосфолипиды – бифильные соединения, в них сочетаются липофильность и гидрофильность, они обладают свойствами ПАВ и являются природными эмульгаторами:
Фарм. Ф Органическая химия Химические свойства фосфолипидов Молекулы фосфолипидов содержат 4 сложноэфирные связи, которые разрываются при кислотном или щелочном гидролизе. При этом образуются глицерин, две жирных кислоты, аминоспирт и фосфорная кислота:
Фарм. Ф Органическая химия
Фарм. Ф Органическая химия Сфинголипиды – аналоги фосфолипидов, содержащие вместо глицерина фрагмент непредельного аминоспирта – сфингозина:
Фарм. Ф Органическая химия Гликолипиды содержат в качестве гидрофильной части углеводный остаток: Сфинголипиды и гликолипиды – специфические вещества нервной ткани.
Фарм. Ф Органическая химия СТРОЕНИЕ КЛЕТОЧНОЙ МЕМБРАНЫ Основой клеточной мембраны является двойной фосфолипидный слой:
Фарм. Ф Органическая химия В состав мембраны включаются белки, погруженные в липидный слой своей гидрофобной частью:
Фарм. Ф Органическая химия Липидная основа мембраны придает ей высокое электрическое сопротивление и непроницаемость для ионов и полярных веществ. Неполярные вещества проходят через мембрану. В частности, большинство анестезирующих веществ хорошо растворяются в липидах и проходят через мембраны нервных клеток.
Фарм. Ф Органическая химия ПЕРЕКИСНОЕ ОКИСЛЕНИЕ ЛИПИДОВ (ПОЛ) В организме входящее в состав гемоглобина железо (Fe 2+) восстанавливает кислород с образование перекисных радикалов: Образующиеся радикалы инициируют самопроизвольный процесс окисления липидов, в результате которого молекулы липидов расщепляются с образованием альдегидов и карбоновых кислот:
Фарм. Ф Органическая химия
Фарм. Ф Органическая химия Этот процесс разрушает клеточные мембраны. Умеренное ПОЛ играет положительную роль, способствуя обновлению мембран, если же уровень ПОЛ слишком высок, то происходит разрушение клеток.
Фарм. Ф Органическая химия ЛИТЕРАТУРА: Основная 1. Тюкавкина Н. А. , Зурабян С. Э. , Белобородов В. Л. и др. – Органическая химия (специальный курс), кн. 2 – Дрофа, М. , 2008 г. , с. 251 -289. 2. Тюкавкина Н. А. , Бауков Ю. И. – Биоорганическая химия – ДРОФА, М. , 2007 г. , с. 444 -464. Дополнительная 2. Овчинников Ю. А. – Биоорганическая химия – М. , Просвещение, 1987, с. 513 -547. 20. 09


