Лекция 29. Электромагнитные колебания.ppt
- Количество слайдов: 10
Электромагнитные колебания Периодические колебания электрических зарядов, токов, электрических и магнитных полей называются электромагнитными колебаниями. Колебания зарядов, токов и полей неразрывно связаны друг с другом, происходят в электрических цепях. Колебания полей в отрыве от зарядов и токов образуют электромагнитные волны. Модуль 4 Лекция 29 1
Колебательный контур –электрическая цепь, в которой могут происходить электромагнитные колебания R -омическое сопротивление L - индуктивное сопротивление C - электроемкость Если электрические и магнитные поля пространственно разобщены и локализованы в небольших областях, то колебательный контур называется закрытым ( т. е. со сосредоточенными параметрами). Модуль 4 Лекция 29 2
Электромагнитные колебания Периодические колебания электрических зарядов, токов, электрических и магнитных полей называются электромагнитными колебаниями. эл эл Модуль 4 Лекция 29 эл 3
Собственные незатухающие электромагнитные колебания. . эл Формула Томсона Модуль 4 Лекция 29 4
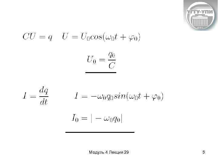
Модуль 4 Лекция 29 5
=0 Модуль 4 Лекция 29 6
зат при , т. е. кр кр R кр - критическое сопротивление контура При R > R кр колебания невозможны (апериодический разряд) Модуль 4 Лекция 29 7
Аналогия между механическими и электромагнитными колебаниями пот кин эл Модуль 4 Лекция 29 8
m Модуль 4 Лекция 29 9
UM q. М 0 Рез u, q IM 0 ω0 Рез Модуль 4 Лекция 29 10
Лекция 29. Электромагнитные колебания.ppt