Лекция 11 цепи с распределенными параметрами.ppt
- Количество слайдов: 65
Электрические цепи с распределенными параметрами 13 лекция © 2002 Томский политехнический университет, кафедра ТОЭ, автор Носов Геннадий Васильевич
Электрические цепи с распределенными параметрами 2
Это такие цепи, длина которых соизмерима с длиной электромагнитной волны 3
и напряжения и токи изменяются вдоль этих цепей 4
Примерами цепей с распределенными параметрами являются: 5
а) двухпроводная линия (связи) l x 6
б) трехфазная транспонированная линия (электропередачи) 7
“Земля” l x 8
Изменение напряжения и тока вдоль линии в функции x обусловлено наличием продольных сопротивлений и поперечных проводимостей 9
Линии, у которых напряжения и токи заметно изменяются вдоль их длины, называются длинными линиями 10
Для линий электропередачи при = 314 рад/с такое изменение заметно при l > 300 км 11
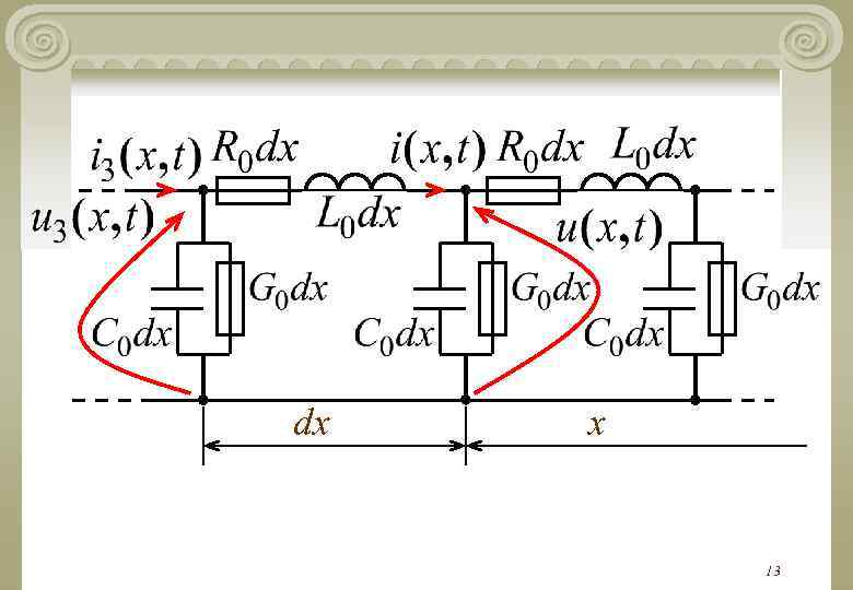
Б/м участок dx двухпроводной линии или трехфазной линии на одну фазу (в симметричном режиме) может быть представлен так 12
dx x 13
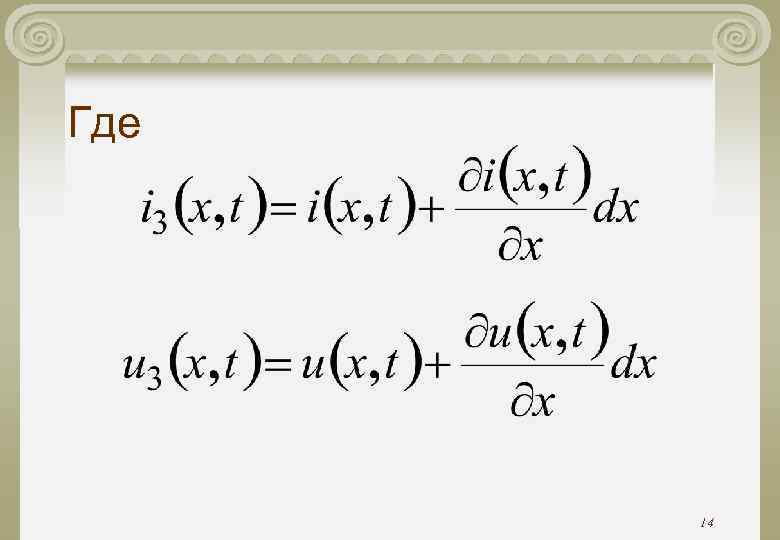
Где 14
R 0 (Ом/км), L 0 (Гн/км), G 0(См/км), C 0(Ф/км) – первичные (удельные) параметры линий 15
Ограничимся рассмотрением однородных линий, у которых первичные параметры постоянны 16
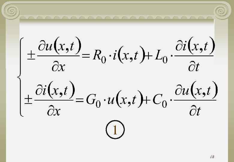
Для б/м участка линии длиной dx по законам Кирхгофа получаем основные уравнения в частных производных 17
1 18
Где: знак + - при отсчете x от конца линии знак – - при отсчете x от начала линии 19
Решение уравнений 1 при определенных начальных (t=0) и граничных условиях (x=0, x=l) позволяет определить u(x, t) и i(x, t) 20
Установившийся гармонический режим однородной линии 21
При напряжении имеем 22
Тогда для комплексов действующих значений 23
Из уравнений 1 получаем 2 24
Где (Ом/км) – – комплекс продольного сопротивления линии на единицу длины 25
(См/км) – – комплекс поперечной проводимости линии на единицу длины 26
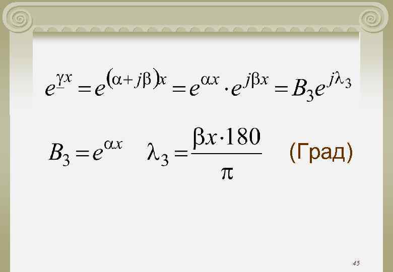
Решением уравнений 2 при отсчете х от конца линии будут следующие комплексы действующих значений 27
а) напряжения 3 28
б) тока 4 29
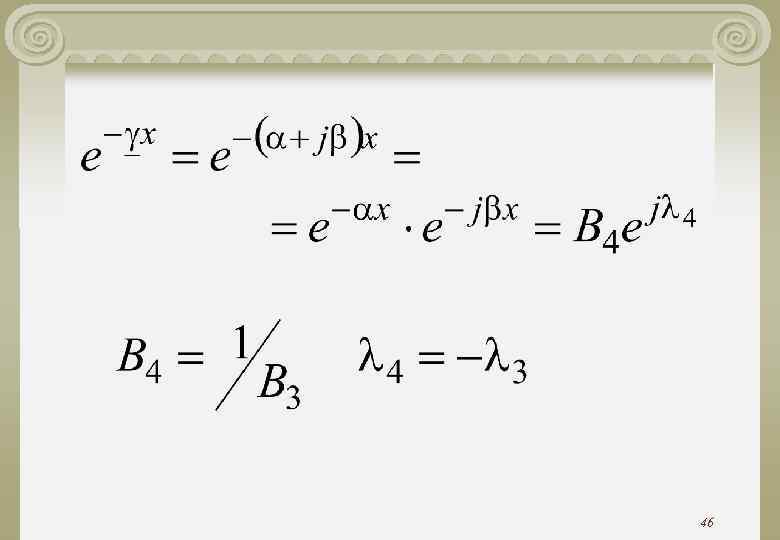
Где: - постоянные интегрирования 30
(Ом) – – волновое сопротивление 31
(1/км) – – постоянная распространения (передачи) 32
, (Нп/км) – коэффициент затухания (ослабления) , (рад/км) – коэффициент фазы 33
– комплексы действующих значений напряжения и тока в конце линии 34
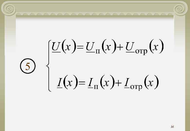
Напряжение и ток в линии можно рассматривать как сумму падающей (прямой) и отраженной (обратной) волн 35
5 36
Где: – комплексы действующих значений падающих волн напряжения и тока 37
– комплексы действующих значений отраженных волн напряжения и тока 38
При изменении x от 0 до l по формулам 3 и 4 можно рассчитать 39
и определить активную мощность которая монотонно возрастает к началу линии 40
Графики зависимостей U(x), I(x), P(x) и КПД используются для анализа установившегося режима линий 41
42
Примечания: - гиперболический синус 43
- гиперболический косинус 44
(Град) 45
46
При постоянных напряжениях и токах ( =0) имеем: 47
Бегущие волны 48
При и получаем мгновенные значения 49
а) напряжения 50
б) тока 51
Падающие и отраженные волны можно рассматривать как бегущие волны, затухающие в направлении своего движения 52
1. Падающую волну напряжения рассчитываем для трех моментов времени t 1
54
Падающая волна , постепенно затухая, движется от начала линии к ее концу с некоторой скоростью v 55
2. Отраженную волну напряжения рассчитываем для трех моментов времени t 1
57
Отраженная волна, постепенно затухая, движется от конца линии к ее началу с некоторой скоростью v 58
Аналогично можно сказать о падающей и отраженной волнах тока 59
При этом скорость v является фазовой скоростью – это скорость перемещения значений волн, фаза которых остается неизменной 60
Так, если для падающей волны напряжения фаза постоянна 61
Тогда или км/с 62
Длина волны - это расстояние между ближайшими точками линии, в которых фазы напряжения или тока отличаются на 2 63
Так для падающей волны напряжения 64
Тогда км причем v 5 3 10 км/c и при имеем =6000 км =314 1/с 65


