Электрические цепи с распределенными параметрами
































































Лек 18_1.ppt
- Количество слайдов: 64
Электрические цепи с распределенными параметрами 1
Это такие цепи, длина которых соизмерима с длиной электромагнитной волны 2
и напряжения и токи изменяются вдоль этих цепей 3
Примерами цепей с распределенными параметрами являются: 4
а) двухпроводная линия (связи) l x 5
б) трехфазная транспонированная линия (электропередачи) 6
“Земля” x l 7
Изменение напряжения и тока вдоль линии в функции x обусловлено наличием продольных сопротивлений и поперечных проводимостей 8
Линии, у которых напряжения и токи заметно изменяются вдоль их длины, называются длинными линиями 9
Для линий электропередачи при = 314 рад/с такое изменение заметно при l > 300 км 10
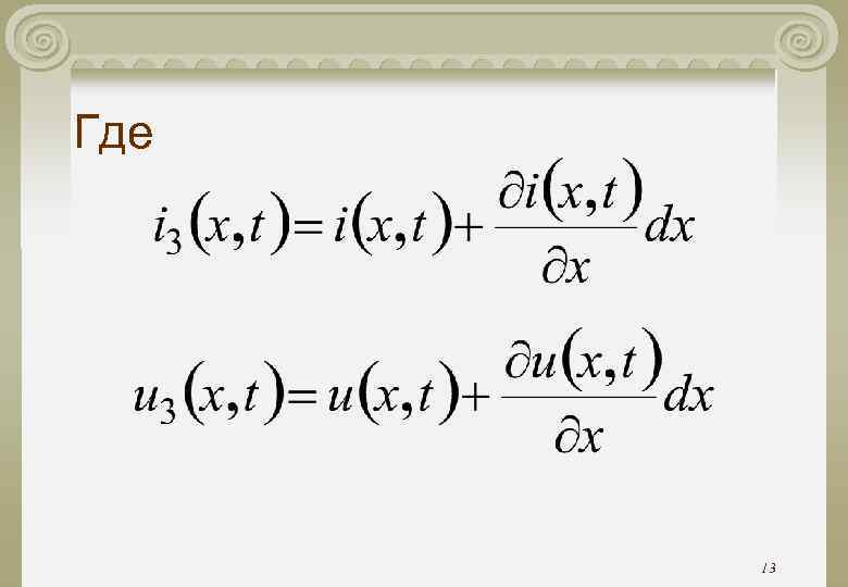
Б/м участок dx двухпроводной линии или трехфазной линии на одну фазу (в симметричном режиме) может быть представлен так 11
dx x 12
Где 13
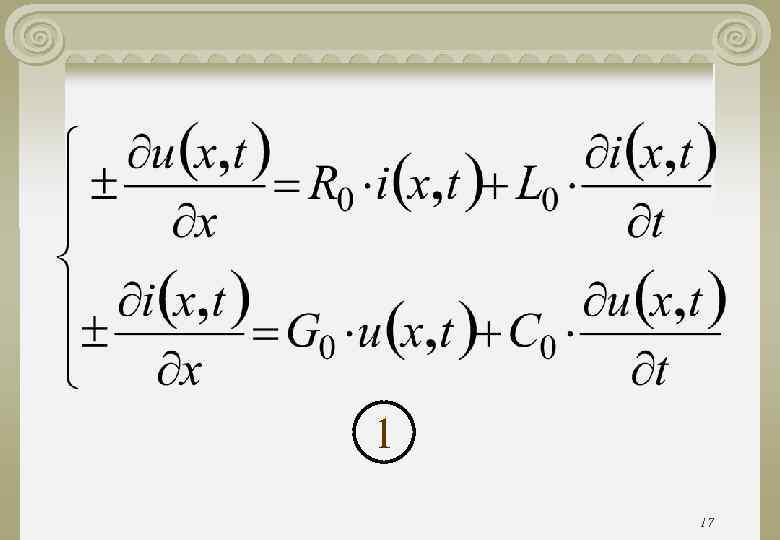
R 0 (Ом/км), L 0 (Гн/км), G 0(См/км), C 0(Ф/км) – первичные (удельные) параметры линий 14
Ограничимся рассмотрением однородных линий, у которых первичные параметры постоянны 15
Для б/м участка линии длиной dx по законам Кирхгофа получаем основные уравнения в частных производных 16
1 17
Где: знак + - при отсчете x от конца линии знак – - при отсчете x от начала линии 18
Решение уравнений 1 при определенных начальных (t=0) и граничных условиях (x=0, x=l) позволяет определить u(x, t) и i(x, t) 19
Установившийся гармонический режим однородной линии 20
При напряжении имеем 21
Тогда для комплексов действующих значений 22
Из уравнений 1 получаем 2 23
Где (Ом/км) – – комплекс продольного сопротивления линии на единицу длины 24
(См/км) – – комплекс поперечной проводимости линии на единицу длины 25
Решением уравнений 2 при отсчете х от конца линии будут следующие комплексы действующих значений 26
а) напряжения 3 27
б) тока 4 28
Где: - постоянные интегрирования 29
(Ом) – – волновое сопротивление 30
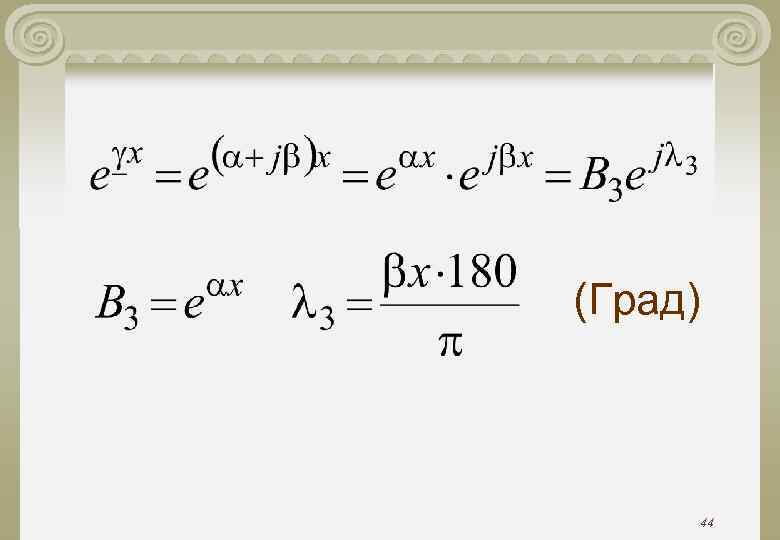
(1/км) – – постоянная распространения (передачи) 31
, (Нп/км) – коэффициент затухания (ослабления) , (рад/км) – коэффициент фазы 32
– комплексы действующих значений напряжения и тока в конце линии 33
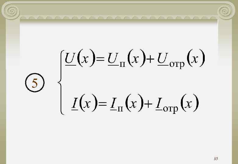
Напряжение и ток в линии можно рассматривать как сумму падающей (прямой) и отраженной (обратной) волн 34
5 35
Где: – комплексы действующих значений падающих волн напряжения и тока 36
– комплексы действующих значений отраженных волн напряжения и тока 37
При изменении x от 0 до l по формулам 3 и 4 можно рассчитать 38
и определить активную мощность которая монотонно возрастает к началу линии 39
Графики зависимостей U(x), I(x), P(x) и КПД используются для анализа установившегося режима линий 40
41
Примечания: - гиперболический синус 42
- гиперболический косинус 43
(Град) 44
45
При постоянных напряжениях и токах ( =0) имеем: 46
Бегущие волны 47
При и получаем мгновенные значения 48
а) напряжения 49
б) тока 50
Падающие и отраженные волны можно рассматривать как бегущие волны, затухающие в направлении своего движения 51
1. Падающую волну напряжения рассчитываем для трех моментов времени t 1
53
Падающая волна , постепенно затухая, движется от начала линии к ее концу с некоторой скоростью v 54
2. Отраженную волну напряжения рассчитываем для трех моментов времени t 1
56
Отраженная волна, постепенно затухая, движется от конца линии к ее началу с некоторой скоростью v 57
Аналогично можно сказать о падающей и отраженной волнах тока 58
При этом скорость v является фазовой скоростью – это скорость перемещения значений волн, фаза которых остается неизменной 59
Так, если для падающей волны напряжения фаза постоянна 60
Тогда или км/с 61
Длина волны - это расстояние между ближайшими точками линии, в которых фазы напряжения или тока отличаются на 2 62
Так для падающей волны напряжения 63
Тогда км причем v 3 10 км/c и при 5 =314 1/с имеем =6000 км 64

