Transport_v_selskom_khozyaystve.ppt
- Количество слайдов: 19
Эксплуатация транспортных и погрузочноразгрузочных средств в сельском хозяйстве. 1. Значение, объём и виды транспортных работ в сельском хозяйстве. 2. Классификация грузов и дорожных условий. 3. Виды погрузочно-разгрузочных средств. Сочетание работы транспортных и погрузочно-разгрузочных средств. 4. Маршруты движения и технико-экономические показатели работы транспортных средств.
На 1 га посева зерновых перевозится: 10… 20 т орг. удобрений; 0, 5… 1, 0 т семян и мин. удобрений; 3… 4 т зерна; 3… 4 т соломы; 2… 3 т ТСМ. В среднем 25 т на 1 га. На 1 га картофеля: 30… 40 т орг. удобрений; 20… 40 т продуктов урожая; 1… 3 т семян и мин. удобрений; до 3 т ТСМ. на 1 га заготовки сена перевозится 7… 8 т грузов. на 1 га заготовки силосных культур – до 80 т.
Наименова ние груза Зерно Картофель Овощи Свёкла Итого: % от общего объёма 9, 5 Наименова ние груза Молоко Корма 7, 3 (ст. период) 1, 2 Удобрения Прочие 4, 2 продукты 100, 0 % % от общего объёма 4, 3 34, 5 35, 0 4, 0
В зависимости от расстояния и технологии перемещения различают перевозки : • внутриусадебные • внутрихозяйственные • внехозяйственные
Классификация грузов: 1. В соответствии с возможностью использования транспортных средств все грузы подразделяются на классы, определяемые их объёмной (погрузочной) массой (т/м 3). Класс груза характеризуется статическим коэффициентом использования грузоподъёмности транспортного средства Класс γс І 1, 0 Виды грузов Мин. удобрения, навозная жижа песок, гравий, земля и др. ІІ Затаренные грузы в мешках, бочках (молоко), 0, 99… 0, 71 насыпное зерно, удобрения (мин. и орг. ), картофель и др. ІІІ Грузы в ящиках, тюках, рулонах (сено, солома), 0, 7… 0, 51 силос, комбикорм, уголь и др. ІV V 0, 5… 0, 41 Сено, солома, сенаж, капуста, фрукты и др. Менее 0, 4 Жидкость в стеклянной таре
2. По физико-механическим свойствам грузы делятся на: твёрдые жидкие газообразные 3. По занимаемому объёму различают грузы: малообъёмные многообъёмные 4. По способу погрузки и выгрузки грузы делятся на: штучные навалочные наливные
5. По трудоёмкости погрузки и разгрузки грузы подразделяются на 4 группы: 1 – навалочные сыпучие грузы, не требующие осторожности при погрузке и разгрузке 2 – грузы, затаренные в бочках, мешках и некоторые навалочные 3 – грузы, упакованные в ящиках, корзинах, связках, рулонах, тюках и многие навалочные 4 – грузы, неудобные для транспортировки, требующие осторожности при погрузке и разгрузке
6. По опасности при погрузке и транспортировке грузы делятся на 7 групп: 1 – малоопасные; 2 – опасные (горючие); 3 – опасные пылящие и горючие; 4 – опасные – обжигающие жидкости; 5 – баллоны со сжатым газом; 6 – опасные по габаритам; 7 – особой опасности.
7. По размерам различают грузы: габаритные – которые свободно размещаются в кузове транспортного средства; крупногабаритные – высота которых 2, 0… 2, 5 м и выступающие за борт транспортного средства не более чем на 2, 0 м; негабаритные – высота которых более 3, 8 м и выступающие за задний борт транспортного средства более чем на 2, 0 м; длинномерные – превышающие длину стандартного кузова более чем на 1/3.
8. По характеру организации транспортных операций грузы подразделяются на: массовые; мелкопорционные. 9. По срочности перевозок различают грузы: скоропортящиеся; срочной доставки, подлежащие перевозке в сжатые сроки; несрочной доставки, которые можно без ущерба для производства перевозить в любое время.
Погрузочно-разгрузочные машины и устройства По условиям эксплуатации Стационарное оборудование По кинематическим показателям и характеру перемещения грузов Передвижное оборудование Средства периодическ ого действия Средства непрерывн ого действия
Погрузо-разгрузочные средства всех типов, используемые в сельском хозяйстве, можно разделить на три основные группы: 1. Передвижные погрузчики, смонтированные на самостоятельной раме. Приводятся в действие электродвигателем или ДВС. Сюда входят все виды транспортёров и погрузчики специального назначения. 2. Тракторные погрузчики, смонтированные на базе колёсного или гусеничного трактора, работающие от его двигателя. Сюда входят погрузчики непрерывного действия для корнеклубнеплодов (СПС-4, 2), удобрений (ПНД-250) и универсальные погрузчики со сменными рабочими органами (П-10). 3. Автомобильные погрузчики, смонтированные на шасси грузовых автомобилей и приводимые в работу от их двигателей.
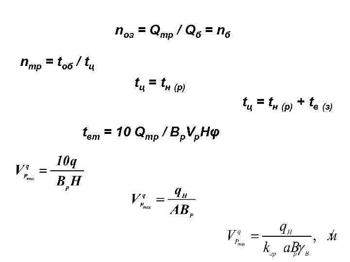
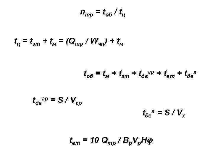
nтр = tоб / tц tц = tзт + tм = (Qтр / Wчп) + tм tоб = tм + tзт + tдвгр + tвт + tдвх tдвгр = S / Vгр tдвх = S / Vх tвт = 10 Qтр / Вр. Vр. Нφ
nоа = Qтр / Qб = nб nтр = tоб / tц tц = tн (р) + tв (з) tвт = 10 Qтр / Вр. Vр. Нφ
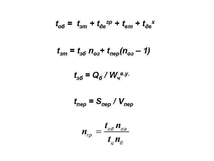
tоб = tзт + tдвгр + tвт + tдвх tзт = tзб nоа+ tпер(nоа – 1) tзб = Qб / Wчв. у. tпер = Sпер / Vпер
tн (р)=20 мин; tв (з)= tзб=3 мин; tпер=2 мин; tдвгр=30 мин; tдвх=20 мин; tвт=5 мин; nоа=2 агрегата; 0 20 40 80 tоб tож 3 tзб 100 120 140 t, мин tц tв tн 60 nб=3. tпер tдвгр tобф tвт tож tдвх tзт = tн + 3 tзб = 20 + 3*3 = 29 мин tоб = tзт + tдвгр + tвт + tдвх = 29 + 30 + 5 + 20 = 84 мин tц = 20 + 3 = 23 мин.
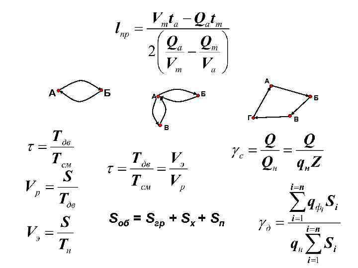
А А Б Б А Б Г В Sоб = Sгр + Sх + Sп В


