Скачать презентацию ЕГЭ ПО МАТЕМАТИКЕ 2012 часть 2 Лосева Екатерина Скачать презентацию ЕГЭ ПО МАТЕМАТИКЕ 2012 часть 2 Лосева Екатерина

14f5910c157a7e9192826e0c8e69fffa.ppt

  • Количество слайдов: 12

ЕГЭ ПО МАТЕМАТИКЕ 2012 (часть 2) Лосева Екатерина Анатольевна ЕГЭ ПО МАТЕМАТИКЕ 2012 (часть 2) Лосева Екатерина Анатольевна

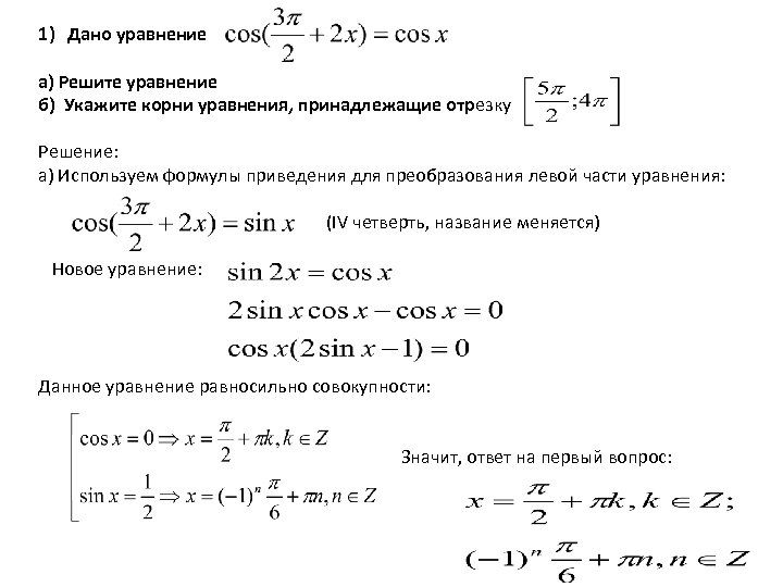
1) Дано уравнение а) Решите уравнение б) Укажите корни уравнения, принадлежащие отрезку Решение: а) 1) Дано уравнение а) Решите уравнение б) Укажите корни уравнения, принадлежащие отрезку Решение: а) Используем формулы приведения для преобразования левой части уравнения: (IV четверть, название меняется) Новое уравнение: Данное уравнение равносильно совокупности: Значит, ответ на первый вопрос:

Изобразим промежуток Отметим на единичной окружности точки из нашего решения. Осталось правильно их назвать: Изобразим промежуток Отметим на единичной окружности точки из нашего решения. Осталось правильно их назвать: Точка № 1 не попадает в промежуток Точка № 2 Точка № 3 Точка № 4 б) , Ответ: а) , б) , ,

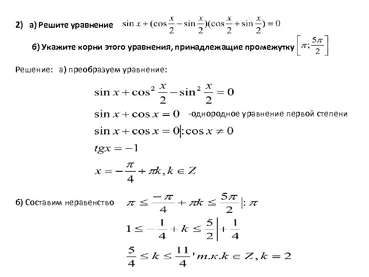
2) а) Решите уравнение б) Укажите корни этого уравнения, принадлежащие промежутку Решение: а) преобразуем 2) а) Решите уравнение б) Укажите корни этого уравнения, принадлежащие промежутку Решение: а) преобразуем уравнение: -однородное уравнение первой степени б) Составим неравенство

Значит на данном отрезке единственный корень Ответ: а) б) 3) а) Решите уравнение б) Значит на данном отрезке единственный корень Ответ: а) б) 3) а) Решите уравнение б) Укажите корни, принадлежащие промежутку Решение: Преобразуем левую часть уравнения: Коэффициент указывает на возможность группировки:

Это уравнение равносильно совокупности: нет решений ное уравнение II степени. -это ответ на первый Это уравнение равносильно совокупности: нет решений ное уравнение II степени. -это ответ на первый вопрос б) Ответ: а) б) однород-

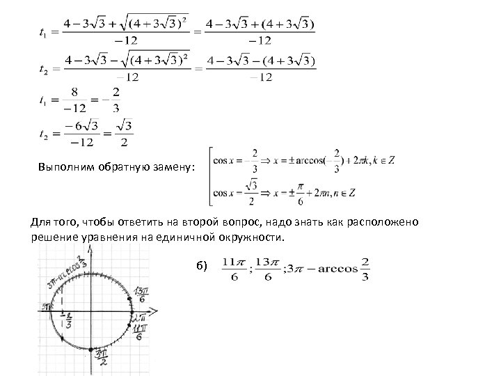
4) Сложный дискриминант и отбор корней. Решите уравнение: и найдите все его корни из 4) Сложный дискриминант и отбор корней. Решите уравнение: и найдите все его корни из промежутка Решение: а) преобразуем левую часть уравнения:

Выполним обратную замену: Для того, чтобы ответить на второй вопрос, надо знать как расположено Выполним обратную замену: Для того, чтобы ответить на второй вопрос, надо знать как расположено решение уравнения на единичной окружности. б)

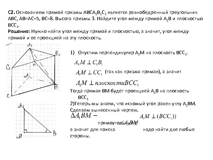
С 2. Основанием прямой призмы ABCA 1 B 1 C 1 является равнобедренный треугольник С 2. Основанием прямой призмы ABCA 1 B 1 C 1 является равнобедренный треугольник ABC, AB=AC=5, BC=8. Высота призмы 3. Найдите угол между прямой A 1 B и плоскостью BCC 1. Решение: Нужно найти угол между прямой и плоскостью, а значит, угол между прямой и ее проекцией на эту плоскость. 1) Опустим перпендикуляр А 1 М на плоскость ВСС 1. (так как призма прямая), а значит Тогда прямая BM будет проекцией A 1 B на плоскость BCC 1 2)Теперь мы знаем, что искомый угол равен углу A 1 BM. Сделаем вынесенный чертеж. прямоугольный ( а значит для поиска стороны. надо найти две любые

3) Найдем. В ( -медиана) , Значит, Найдем 4) (прямоугольном) из прямоугольного - гипотенуза. 3) Найдем. В ( -медиана) , Значит, Найдем 4) (прямоугольном) из прямоугольного - гипотенуза.

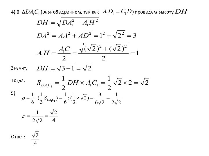
С 2. В правильной четырехугольной призме сторона основания равна , а высота равна 1. С 2. В правильной четырехугольной призме сторона основания равна , а высота равна 1. середина ребра. Найдите расстояние от точки до плоскости. Решение: 1) Удобно ввести в рассмотрение треугольную пирамиду. Ее высота из вершины на плоскость и даст нам искомое расстояние. 2) Рассмотрим объем этой пирамиды двумя способами: а) б) «Перевернем» пирамиду, взяв в качестве вершины 3) Эти два объема , естественно, равны, значит -искомое расстояние. Остается найти

4) В Значит, Тогда: 5) Ответ: (равнобедренном, так как ) проведем высоту 4) В Значит, Тогда: 5) Ответ: (равнобедренном, так как ) проведем высоту