Скачать презентацию ЕГЭ на Формулы и правила Производная сложной Скачать презентацию ЕГЭ на Формулы и правила Производная сложной

ЕГЭ. ПРоизводная.pptx

  • Количество слайдов: 15

ЕГЭ на ЕГЭ на

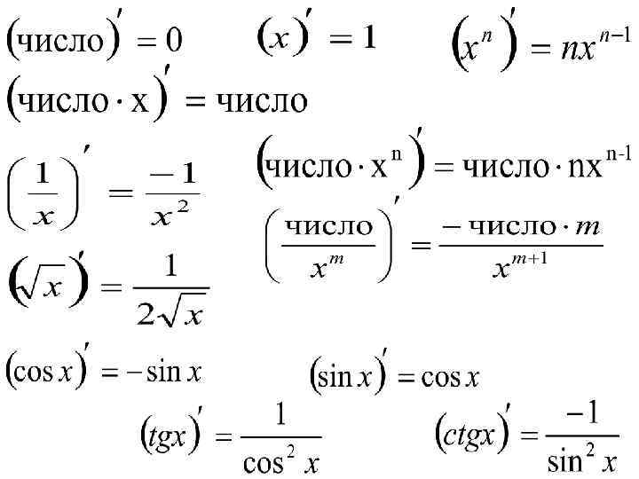
Формулы и правила Производная сложной функции. y = f(g(x)) – cложная функция ( композиция Формулы и правила Производная сложной функции. y = f(g(x)) – cложная функция ( композиция функций)

№ 1. Материальная точка движется прямолинейно по закону где х – расстояние от точки № 1. Материальная точка движется прямолинейно по закону где х – расстояние от точки отсчёта в метрах, t – время в секундах, измеренное с начала движения. В какой момент времени её скорость была равна 6 м/с? 7

№ 2. Материальная точка движется прямолинейно по закону где х – расстояние от точки № 2. Материальная точка движется прямолинейно по закону где х – расстояние от точки отсчёта в метрах, t – время в секундах, измеренное с начала движения. Найдите её скорость ( в метрах в секундах) в момент времени с? 4

№ 3 Найдите значение производной функции 3 № 4 Найдите значение производной функции в № 3 Найдите значение производной функции 3 № 4 Найдите значение производной функции в точке 32 в точке № 5 Найдите значение производной функции в точке 1, 6 № 6 Найдите значение производной функции -2 в точке

№ 7 Найдите точку минимума функции 8 № 8 Найдите точку максимума функции 6 № 7 Найдите точку минимума функции 8 № 8 Найдите точку максимума функции 6 № 9 Найдите точку минимума функции 11 № 10 Найдите точку минимума функции 6

№ 11 Найдите наименьшее значение 21 -253 функции на отрезке № 12 Найдите наименьшее № 11 Найдите наименьшее значение 21 -253 функции на отрезке № 12 Найдите наименьшее значение функции на отрезке № 13 Найдите наименьшее значение функции на отрезке -42 № 14 Найдите наименьшее значение функции на отрезке -10

№ 1 Материальная точка движется прямолинейно по закону где х – расстояние от точки № 1 Материальная точка движется прямолинейно по закону где х – расстояние от точки отсчёта в метрах, t – время в секундах, измеренное с начала движения. Найдите её скорость ( в метрах в секундах) в момент времени с?

№ 2 Материальная точка движется прямолинейно по закону где х – расстояние от точки № 2 Материальная точка движется прямолинейно по закону где х – расстояние от точки отсчёта в метрах, t – время в секундах, измеренное с начала движения. В какой момент времени ( в секундах) её скорость была равна 13 м/с?

№ 3 Найдите значение производной функции в точке № 4 Найдите значение производной функции № 3 Найдите значение производной функции в точке № 4 Найдите значение производной функции в точке № 5 Найдите значение производной функции в точке № 6 Найдите значение производной функции в точке

№ 7 Найдите точку максимума функции № 8 Найдите точку минимума функции № 9 № 7 Найдите точку максимума функции № 8 Найдите точку минимума функции № 9 Найдите точку максимума функции № 10 Найдите точку максимума функции

№ 11 Найдите наименьшее значение функции на отрезке № 12 Найдите наибольшее значение функции № 11 Найдите наименьшее значение функции на отрезке № 12 Найдите наибольшее значение функции на отрезке № 13 Найдите наибольшее значение функции на отрезке № 14 Найдите наибольшее значение функции на отрезке