f241fe234bf5ae1a3cca1b35c7df5a44.ppt
- Количество слайдов: 129
Дробові вирази. Раціональні вирази Мета уроку: Ø Ввести означення цілого, дробового та раціональних виразів, раціональний дріб, допустимі значення виразів; Ø Відпрацювати вміння виділяти названі види виразів серед запропонованих; Ø Вдосконалити вміння знаходження ОДЗ дробового виразу; Ø Розвивати логічне мислення;
Пригадаймо! Числовой вираз – це запис, що складається з чисел, сполучених знаками дій, і дужок, які вказують на порядок дій 45 : 5; 1, 3 – 1, 2; 3(6 -18) Одне число також вважається числовим виразом
Якщо в числовому виразі виконати вказані дії, зберігаючи прийнятий порядок дій, то дістанемо число, яке називають значенням виразу 9 (6 – 10) -36 числовий вираз значення виразу
Висновок: Ділити можна тільки на число, яке не дорівнює нулю. Якщо у виразі трапляється ділення на нуль, то говорять, що вираз не має змісту (на нуль ділити не можна)
Вираз із змінною – це вираз, що складається з чисел і букв, які сполучені знаками дій, і дужок, що вказують порядок дій 2 (a + b); 3 · a +2 · b; 9 ab
• Вирази першої групи не містять дії ділення на вираз зі змінними. Такі вирази називають цілими • Вирази другої групи містять дію ділення на вираз зі змінними. Такі вирази називають дробовими
Якщо вираз не містить інших дій, крім додавання, віднімання, множення, піднесення до степеня і ділення, його називають раціональним виразом
Раціональні вирази Цілі вирази Числові Дробові вирази Із змінними
Раціональні вирази 5 · 3, 5 а+8 в, цілі вирази (а + в)(а - в) дробові вирази 2 а, 5(2+1) числові 6, із змінними 7 а, 4 а+в,
Вираз Дріб Приклад: де A і B – деякі буквені або числові вирази, називають дробом де A і B – многочлени, називають раціональним дробом
Область допустимих значень змінних у виразі (ОДЗ) – усі такі значення змінних, при яких вираз має зміст. Умова знаходження ОДЗ для дробу B≠ 0
Приклад: Знайти ОДЗ виразу Рішення: a 2 -4≠ 0; (a-2)(a+2)≠ 0; a≠ 2 або a≠-2 ОДЗ: a≠± 2 або a≠ 2 і a≠-2 , або всі значення a, крім a=2 та a=-2
Умова рівності дробу нулю якщо
Приклад: При якому значенні змінної дріб дорівнює 0 Рішення: 1) ОДЗ: x-4≠ 0; x≠ 4; 2 -16=0; 2) x (x-4)(x+4)=0 x=4 або x=-4 3) x=4 ОДЗ, тому Відповідь: x=-4
Основна властивість дробу. Скорочення дробів Мета уроку: Ø Домогтися засвоєння учнями змісту основної властивості раціонального дробу, понять скорочення дробу та правила знаків; Ø Відпрацювати вміння відтворювати зміст названих понять та використовувати вивчені поняття для розв’язування вправ; Ø Розвивати логічне мислення;
Пригадаймо! Основна властивість звичайного дробу: Якщо чисельник і знаменник звичайного дробу помножити або поділити на одне й те саме натуральне число, то дістанемо дріб, який дорівнює даному
Основна властивість дробу Якщо чисельник і знаменник дробу помножити або поділити на один і той самий вираз, то дістанемо дріб, який тотожно дорівнює даному
1. Якщо - раціональний дріб(B≠ 0) і C≠ 0 – раціональний вираз -правило скорочення дробів
Приклад: Скоротіть дріб: Рішення:
2. Якщо -раціональний дріб (B≠ 0), то - правило знаків
Приклад: Скоротіть дріб: Рішення:
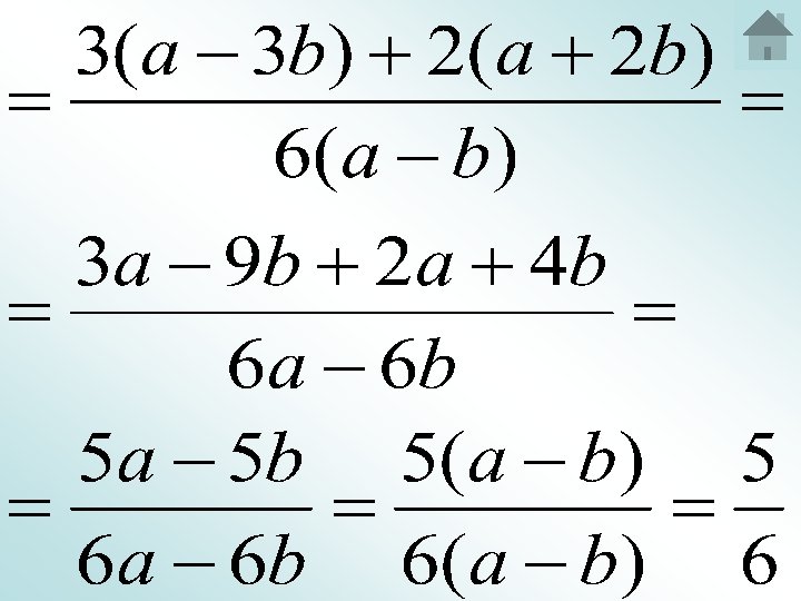
3. Якщо - раціональний дріб(B≠ 0) і C≠ 0 – раціональний вираз - правило зведення дробу до нового знаменнника
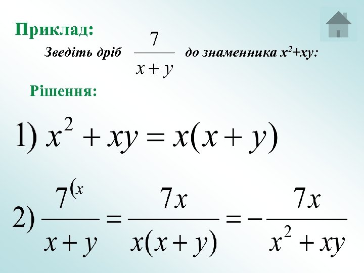
Приклад: Зведіть дріб Рішення: до знаменника x 2+xy:
Додавання і віднімання дробів з однаковими знаменниками Мета уроку: Ø Домогтися засвоєння учнями змісту правила та алгоритму додавання і віднімання дробів з однаковими знаменниками; Ø Відпрацювати вміння відтворювати вивчені правила та алгоритми та використовувати вивчені поняття для розв’язування вправ; Ø Розвивати логічне мислення;
Пригадаймо! Правило додавання (віднімання) звичайних дробів з однаковими знаменниками: Щоб додати (відняти) два дроби з однаковими знаменниками, треба додати (відняти) їхні чисельники, а знаменник залишити той самий
Додавання і віднімання дробів 1. Дроби з однаковими знаменниками додають (віднімають) за правилом: Для будь-яких A, B, C, де C≠ 0 правильна рівність:
Приклад: Спростіть вираз: Рішення:
Додавання і віднімання дробів 2. Дроби із протилежними знаменниками додають (віднімають) за правилом: Для будь-яких A, B, C, де C≠ 0 правильна рівність:
Приклад: Спростіть вираз: Рішення:
Додавання і віднімання дробів з різними знаменниками Мета уроку: Ø Домогтися засвоєння учнями змісту правила та алгоритму додавання і віднімання дробів з різними знаменниками; Ø Відпрацювати вміння відтворювати вивчені правила та алгоритми та використовувати вивчені поняття для розв’язування вправ; Ø Розвивати логічне мислення;
Пригадаймо! Правило додавання (віднімання) звичайних дробів з різними знаменниками: Щоб додати (відняти) два дроби з різними знаменниками, треба: 1) звести дроби до спільного знаменника; 2) додати (відняти)дроби за правилом додавання (віднімання) дробів з однаковими знаменниками
Пригадаймо! Правило зведення дробів до спільного знаменника: 1) розкласти знаменники дробів на множники, якщо це можливо; 2) знайти найменший спільний знаменник; 3) Знайти доповняльні множники для кожного дробу, для чого НСЗ поділити на знаменник відповідного дробу; 4) Помножити чисельник кожного дробу на доповняльний множник.
Додавання і віднімання дробів Дроби з різними знаменниками додають (віднімають) за правилом: Для будь-яких A, B, C і D, де B≠ 0, D≠ 0 правильна рівність:
Приклад: Спростіть вираз: Рішення:
Множення дробів. Піднесення дробу до степеня Мета уроку: Ø Домогтися засвоєння учнями змісту правила та алгоритму множення дробів та піднесення дробів до степеня; Ø Відпрацювати вміння відтворювати вивчені правила та алгоритми та використовувати вивчені поняття для розв’язування вправ; Ø Розвивати логічне мислення;
Пригадаймо! Правило множення звичайних дробів: Добутком двох звичайних дробів є дріб, чисельник якого дорівнює добутку чисельників цих дробів, а знаменник – добутку їх знаменників
Пригадаймо! Правило піднесення дробу до степеня: При піднесенні дробу до степеня, підносять до цього степеня чисельник, а потім знаменник дробу
Множення дробів виконується за правилом: Для будь-яких A, B, C і D, де B≠ 0, D≠ 0 правильна рівність:
Приклад: Виконайте множення: Рішення:
Піднесення дробу до степеня При піднесенні дробу до степеня користуються правилом: Для будь-яких A і B, де B≠ 0 правильна рівність:
Приклад: Спростіть вираз: Рішення:
Ділення дробів Мета уроку: Ø Домогтися засвоєння учнями змісту правила та алгоритму ділення дробів; Ø Відпрацювати вміння відтворювати вивчені правила та алгоритми та використовувати вивчені поняття для розв’язування вправ; Ø Розвивати логічне мислення;
Пригадаймо! Правило ділення звичайних дробів: Щоб поділити один дріб на другий, треба перший дріб помножити на дріб, обернений до другого
Ділення дробів виконується за правилом: Для будь-яких A, B, C і D, де B≠ 0, D≠ 0 правильна рівність:
Приклад: Виконайте ділення: Рішення:
x+5=3(8 -x) Цілі раціональні рівняння Дробові раціональні рівняння
Раціональне рівняння називається цілим, Раціональне рівняння називається Раціональні рівняння – це рівняння, якщо ліва іі правачастина його є цілими дробовим, якщо частина яких є ліва права його ліва, права або права і ліва частини –виразами раціональними дробові вирази
Наприклад: а) б) ОДЗ: x≠ 0 ОДЗ: 2 x+1≠ 0, x≠ 0 ОДЗ дробово-раціонального x≠ -0, 5 рівняння – це значення змінної, при ОДЗ: x-5≠ 0, x≠ 0 в) яких існують вирази в обох x≠ 5 частинах рівняння.
Раціональні рівняння Цілі Дробові Спосіб підстановки зворотні розпадні біквадратні (x + a)4 + (x + b)4 = c симетричні 3 -го і 4 -го порядку Однорідне 2 -го порядку (x + a)(x + b)(x + c)(x + d) = m
Раціональні рівняння Цілі Сума двох і більше дробів Дробові
Спосіб підстановки • При розв’язуванні деяких цілих раціональних рівнянь слід зробити заміну, позначивши деякий раціональний вираз новою буквою. • Наприклад, в рівнянні , де Р(х) – многочлен, робимо заміну y=Р(х), розв’язуємо отримане квадратне рівняння Назад в меню Приклад відносно y, а потім розв’язуємо рівняння Р(х)= yо, де yо – корінь рівняння
Приклад Розв’яжіть рівняння: (x 2 -5 x+7)2 -2(x 2 -5 x+6)=1 Розв’язання Заміна: x 2 -5 x+7=y y 2 -2(y-1)=1 y 2 -2 y+2=1 y=1 Назад в меню Відповідь: 2, 3
Розпадні рівняння • Раціональні рівняння називаються розпадними, якщо їх можно подати у вигляді , де – раціональний вираз із змінною х. • Для розв’язання виконаємо рівносильне перетворення • Способи розкладання на множники: Назад в меню - винесення спільного множника за дужки; - спосіб групування; -формули скороченого множення. Приклад
Приклад Розв’яжіть рівняння: x 4 -x 3 -4 x 2+4 x=0 Розв’язання Разкладаємо ліву частину рівняння на множники: Назад в меню Відповідь: -2, 0, 1, 2
Однорідні рівняння 2 -го порядку • При розв’язанні рівняння потрібно перевірити два випадки: 1) корені даного рівняння є розв’язками цієї системи 2) Якщо Q(x) ≠ 0, то після ділення даного рівняння на Q 2(x) отримаємо рівняння яке шляхом підстановки Назад Приклад в меню зводимо до квадратного рівняння В відповідь включаємо числа, які отримали в двох випадках.
Приклад Розв’яжіть рівняння: (x 2 – 2 х)2 – (x 2 – 2 х)(x 2 – х – 2) – 2(x 2 – х – 2)2 = 0. Розв’язання Можливі два випадки. • Розглянемо перший: Назад в меню Знайдено перший корінь рівняння: х=2.
Розглянемо другий випадок: розділимо рівняння на (x 2 – х – 2)2 (х ≠ -1 і х ≠ 2). t 2 – t – 2 = 0 t 1= -1, t 2= 2 Заміна: ОДЗ: х≠ -1 х = -0, 5 і х = -2 Назад в меню Відповідь: -2; -0, 5; 2
Біквадратне рівняння • Рівняння виду aх4+bх2+c=0. • Заміна: x 2 = t, тобто x 4 = t 2. Отримаємо квадратне рівняння at 2+bt+c=0. Знаходимо значення t і , виконуючи зворотну підстановку, знаходимо корені початкового рівняння. Примітка. При розв’язанні біквадратного рівняння можно отримати від 1 до 4 -х коренів або це ж рівняння Назад Приклад може не мати коренів. в меню
Приклад Розв’яжіть рівняння: x 4 – 3 х2 – 4 = 0. Розв’язання Заміна: x 2=t (t≥ 0) t 2– 3 t– 4=0, t 1= -1(не задов. ) і t 2= 4 x=± 2 Назад в меню Відповідь: -2; 2
Симетричні рівняння 3 -го порядку • Рівняння виду ах3+bх2+bх+а=0. • Групуємо доданки: а(х3+1)+bх(х+1)=0. Застосовуємо формулу суми кубів а(х+1)(х2 –х+1)+bх(х+1)=0 і розкладаємо на множники (х+1)(ах2+(b - а)х+а)=0. Отримали разпадне рівняння. Отже, х+1=0 або ах2+(b - а)х+а=0. Розв’язавши ці два рівняння, знайдемо Назад Приклад в меню корені даного рівняння.
Приклад Розв’яжіть рівняння: 2 x 3 – 3 х2 – 3 x+2= 0. Розв’язання 2(х3+1)– 3 х(х+1)=0 2(х+1)(х2 –х+1)– 3 х(х+1)=0, (х+1)(2 х2 – 5 х+2)=0. х+1=0 або 2 х2 – 5 х+2=0 х=-1 або х1=0, 5; х2=2 Назад в меню Відповідь: -1; 0, 5; 2
Симетричні рівняння 4 -го порядку • Рівняння виду ах4+bх3+сх2+bх+а=0. • Групуємо доданки і ділимо обидві частини рівняння на х2. Отримаємо Виконуємо заміну Назад в меню Приклад , тоді отримаємо квадратне рівняння a(t 2 -2)+bt+c=0. Знаходимо значення t і виконуємо зворотну підстановку.
Приклад Розв’яжіть рівняння: 2 x 4 + 3 х3 – 10 x 2+3 x+2= 0. Розв’язання • Розділимо обидві частини рівняння на x 2≠ 0 і групуємо: 2 t 2 +3 t – 14 = 0 t 1= 2, t 2= -3, 5 Назад в меню Заміна: Відповідь: 1;
Зворотні рівняння Рівняння виду ax 4 + bx 3 + cx 2 + dx + e = 0, де a≠ 0, b≠ 0 і називається поворотним рівнянням четвертого порядку Це рівняння зводиться до квадратного за допомогою підстановки Назад в меню Приклад
Приклад Розв’яжіть рівняння: x 4 + х3 – 6 x 2 -2 x+4= 0. Розв’язання Т. я. , дане рівняння є поворотним рівнянням четвертого порядку. Розділимо на x 2 і отримаємо: t 2 + t - 2 = 0 t 1 = -2 і t 2 = 1 Заміна: x 2 + 2 x - 2 = 0, x 1 = -1 і x 2 = 2 Назад в меню Відповідь: x 2 - x - 2 = 0
Рівняння виду (x + a)(x + b)(x + c)(x + d) = m • Якщо a + b = c + d , то це рівняння зводиться до квадратного рівняння. (x + a)(x + b) = x 2 + (a + b)x + ab (x + c)(x + d) = x 2 + (c + d)x + cd = = x 2 + (a + b)x + cd • Позначемо x 2 + (a + b)x = t, отримаємо квадратне рівняння (t + ab)(t + cd) = m З цього рівняння знайдемо значення t і, виконавши зворотну підстановку, р озв’язуємо дане рівняння. Назад в меню Приклад
Приклад Розв’яжіть рівняння: (x - 2)(x + 1)(x + 4)(x + 7) = 19. 19 Розв’язання Т. я. -2 + 7 = 1 + 4. Групуємо: [(x - 2)(x + 7)]·[(x + 1)(x + 4)] = 19 (x 2 + 5 x – 14 )(x 2 + 5 x + 4) = 19 t(t + 18) = 19 t 2 + 18 t - 19 = 0 Заміна: t = x 2 + 5 x - 14, t 1 = -19 і t 2 = 1 x 2 + 5 x - 14 = -19 і Назад в меню Відповідь: тоді x 2 + 5 x + 4 = t + 18 x 2 + 5 x - 14 = 1
Рівняння виду (x + a )4 + ( x + b )4 = c • Виконуємо заміну , рівняння зводимо до біквадратного рівняння відносно t. , отримаємо Підставивши в рівняння Позначимо і піднесемо кожен доданок до 4 -го степен. Після зведення подібних отримаємо біквадратне рівняння Назад в меню Приклад
Приклад Розв’яжіть рівняння: (x + 3)4 + (x - 1)4 = 82. Розв’язання Заміна: (t + 2)4 + (t - 2)4 = 82 t 4 + 8 t 3 + 24 t 2 + 32 t + 16 + t 4 - 8 t 3 + 24 t 2 - 32 t + 16 - 82 = 0 Заміна: t 2=y (y≥ 0) t 4 + 24 t 2 - 25 = 0 y 2+24 y-25 =0 y 1 = 1, y 2=-25 (не задов. ) Назад в меню t=± 1 x+1=± 1 x = -2 і x = 0 Відповідь: -2; 0
Рівняння виду - знайти ОДЗ: Q(х) ≠ 0. - розв’язати рівняння Р(х) = 0. - для кажного кореня рівняння Р(х) = 0 врахувати ОДЗ. - сторонній корінь у відповідь не включаємо Назад Приклад в меню
Приклад Розв’яжіть рівняння: а) Розв’язання ОДЗ: x 2 -16≠ 0 2 x-8=0 2 x=8 x≠ 4 або x≠-4 x=4 (не задов. ) Назад в меню Відповідь: Ø
Приклад Розв’яжіть рівняння: б) Розв’язання 2 x 2 -4 x=0 2 x(x-2)=0 2 x=0 або x-2=0 ОДЗ: x-2≠ 0 x=0 або x=2 (не задов. ) Назад в меню Відповідь: 0 x≠ 2
Приклад Розв’яжіть рівняння: в) Розв’язання ОДЗ: x 2 -2 x≠ 0 або x≠ 2 x=2 (не задов. ) Назад в меню Відповідь: 4
Рівняння виду • Заміна отримаємо рівняння виду • Множимо на і розв’яжемо отримане квадратне рівняння at 2+bt+c=0 відносно t. Виконуємо зворотну підстановку, де tо - корінь квадратного рівняння, і розв’язуємо отримане рівняння відносно х. Назад Приклад в меню
Приклад Розв’яжіть рівняння: Розв’язання Заміна: х = -1 Назад в меню Відповідь: -1
Рівняння, що є сумою двох і більше дробів 1 -й спосіб • Перенести всі члени рівняння в одну частину. • Привести рівняння до виду отриманого рівняння. і знайти корені 2 -й спосіб Назад в меню Приклад • Знайти О. Д. З. рівняння. • Помножити обидві частини рівняня на спільний знаменник дробів і отримати ціле рівняння. • Знайти корені отриманого рівняння і перевірити О. Д. З.
Приклад Розв’яжіть рівняння: а) Розв’язання ОДЗ: R 3(x-1)+2· 2 x=5 x 3 x-3+4 x=5 x x=-1, 5 Назад в меню Відповідь: -1, 5
Приклад Розв’яжіть рівняння: б) Розв’язання ОДЗ: х ≠ 3 3 x-6=0 x=2 Назад в меню Відповідь: 2
Приклад Розв’яжіть рівняння: в) Розв’язання ОДЗ: х ≠ ± 2 2 x-4 -3 x-6=0 -x-10=0 x=-10 Назад в меню Відповідь: -10
Приклад Розв’яжіть рівняння: г) Розв’язання ОДЗ: х ≠ 2 і х ≠ 0 x 2 – 6 х + 8 = 0 x 1 = 4 і x 2 = 2 (не задов. ) Назад в меню Відповідь: 4
Рівняння виду Дане рівняння зводиться до квадратного рівняння заміною змінної Назад в меню Приклад
Приклад Розв’яжіть рівняння: Розв’язання ОДЗ: (розділим чисельник і знаменник кожного дробу на x) Заміна: Назад в меню
Продовження розв’язання ОДЗ: t ≠ 5 і t ≠ -1. 2 t 2 - 13 t + 11 = 0 t 1 = 1 і t 2 = 11/2 Виконуємо зворотну підстановку і отримуємо два раціональних рівняння D<0, Ø Назад в меню x 1 = 2 і x 2 = 3/4 Відповідь:
Степінь з цілим від’ємним показником Мета уроку: Ø Ввести означення степеня з цілим від’ємним показником; Ø Повторити властивості степеня з натуральним показником; Ø Відпрацювати вміння відтворювати вивчені властивості та використовувати вивчені поняття для розв’язування вправ; Ø Розвивати логічне мислення;
Пригадаймо! Означення степеня з натуральним показником Степенем числа a з натуральним показником n, більшим від 1, називають добуток n множників, кожний з яких дорівнює a.
Степінь з натуральним показником a -основа, n -показник
Властивості степеня з натуральним показником 1)
Властивості степеня з натуральним показником 2)
Властивості степеня з натуральним показником
Означення Якщо n – натуральне число і a≠ 0, то
Приклад 1:
Приклад 2: Обчисліть: 1) 2) 3)
4)
Стандартний вигляд числа Мета уроку: Ø Ввести означення “стандартний вигляд числа”, “порядок числа”; Ø Сформувати вміння застосовувати вивчені поняття для означення запису числа у стандартному вигляді та запису даного числа у стандартному вигляді й визначення його порядку; Ø Розвивати логічне мислення;
Означення Стандартним виглядом додатнього числа k називають його запис у вигляді a· 10 n, де 1 a 10, n – ціле число. Число n - порядок числа k
Множення і ділення чисел, записаних у стандартному вигляді: Якщо k 1=a· 10 n, k 2=b· 10 m, то 1. k 1·k 2=(a· 10 n)·(b· 10 m)=(ab)(10 n+m) 2. k 1: k 2=(a· 10 n): (b· 10 m)=
Зауваження: Добуток і частку чисел k 1 і k 2, записаних у стандартному вигляді, також після виконання дій слід записати у стандартному вигляді
Приклад: Обчисліть:
Приклад: Обчисліть:
Мета уроку: Ввести означення оберненої пропорційності та розглянути її властивості; Сформувати вміння відтворювати та застосовувати вивчені властивості для побудови графіків та розв’язування різних вправ; Розвивати логічне мислення;
Означення Оберненою пропорційністю називається функція, яку можна задати формулою виду де х – незалежна змінна, k – відмінне від нуля число.
Властивості функції 1 Областю визначення функції є множина всіх чисел, відмінних від нуля. 2 Областю значень функції є множина всіх чисел, відмінних від нуля.
3 Графік функції Побудуємо по точкам графік функції
гіпербола
Графік функції Побудуємо по точкам графік функції
гіпербола
4 функція непарна Графік симетричний відносно (0; 0)
Особливості графіків Симетричність віток графіка відносно (0; 0) k>0 I, III четверть
Особливості графіків. Симетричність віток графіка відносно (0; 0) k<0 II, IV четверть
5 у у х функція спадна х функція зростаюча
Корисно запам'ятати у у х х
Завдання № 3 Задайте функцію оберненої пропорційності, якщо її графік проходить через точку: ( 1; 3 ) х у
Завдання № 4 Побудуйте графік функції Перевірка
I, III четверть Симетрично відносно О (0; 0)
Завдання № 4 Побудуйте графік функції Знайдіть за графіком: 1) Значення у, що відповідає 2) значенню х, рівному 2; 4; -1; -4; -5 Перевірка
х=2 у=4 х=4 у=2 х = -1 у = -8 х = -4 у = -2 х = -5 у = -1, 6
Завдання № 4 Побудуйте графік функції Знайдіть за графіком значення у, що відповідає значенню х, рівному 2; 4; -1; -4; -5 Знайдіть за графіком: значення х, якому відповідає значення у: -4; -2; 8 Перевірка
у = -4 х = -2 у = -2 х = -4 у=8 х=1
f241fe234bf5ae1a3cca1b35c7df5a44.ppt