de4ed9793bbc76af808d952b48137139.ppt
- Количество слайдов: 37
Dissipative relativistic hydrodynamics P. Ván Department of Theoretical Physics Research Institute of Particle and Nuclear Physics, Budapest, Hungary – Motivation Internal energy: – Problems with second order theories – Thermodynamics, fluids and stability – Generic stability of relativistic dissipative fluids – Temperature of moving bodies – Summary
Dissipative relativistic fluids Nonrelativistic Relativistic Local equilibrium (1 st order) Fourier+Navier-Stokes Eckart (1940), Tsumura-Kunihiro (2008) Beyond local equilibrium (2 nd order) Cattaneo-Vernotte, gen. Navier-Stokes Israel-Stewart (1969 -72), Pavón, Müller-Ruggieri, Geroch, Öttinger, Carter, conformal, etc. Eckart: Extended (Israel–Stewart – Pavón–Jou–Casas-Vázquez): (+ order estimates)
Remarks on causality and stability: Symmetric hyperbolic equations ~ causality – The extended theories are not proved to be symmetric hyperbolic. – In Israel-Stewart theory the symmetric hyperbolicity conditions of the perturbation equations follow from the stability conditions. – Parabolic theories cannot be excluded – speed of the validity range can be small. Moreover, they can be extended later. Stability of the homogeneous equilibrium (generic stability) is required. – Fourier-Navier-Stokes limit. Relaxation to the (unstable) first order theory? (Geroch 1995, Lindblom 1995)
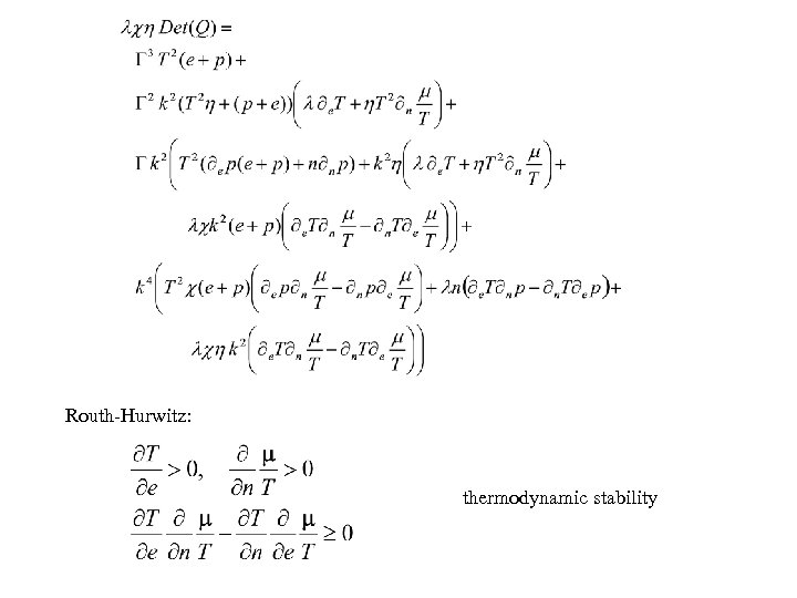
Fourier-Navier-Stokes p Isotropic linear constitutive relations, <> is symmetric, traceless part Equilibrium: Linearization, …, Routh-Hurwitz criteria: Thermodynamic stability (concave entropy) Hydrodynamic stability
Remarks on stability and Second Law: Non-equilibrium thermodynamics: basic variables evolution equations (basic balances) Second Law Stability of homogeneous equilibrium Entropy ~ Lyapunov function Homogeneous systems (equilibrium thermodynamics): dynamic reinterpretation – ordinary differential equations clear, mathematically strict See e. g. Matolcsi, T. : Ordinary thermodynamics, Academic Publishers, 2005 Continuum systems (irreversible thermodynamics): partial differential equations – Lyapunov theorem is more technical Linear stability (of homogeneous equilibrium)
Stability conditions of the Israel-Stewart theory (Hiscock-Lindblom 1985)
Special relativistic fluids (Eckart): energy-momentum density particle density vector qa – momentum density or energy flux? ? General representations by local rest frame quantities. Eckart term
Second Law (Liu procedure) – first order weakly nonlocal: Entropy inequality with the conditions of energy-momentum and particle number balances as constraints: Consequences: State space: 1) 2) 3) Ván: JMMS, 2008, 3/6, 1161, (ar. Xiv: 07121437)
Modified relativistic irreversible thermodynamics: Internal energy: Eckart term Ván and Bíró EPJ, (2008), 155, 201. (ar. Xiv: 0704. 2039 v 2)
Dissipative hydrodynamics < > symmetric traceless spacelike part linear stability of homogeneous equilibrium Conditions: thermodynamic stability, nothing more. (Ván: ar. Xiv: 0811. 0257)
Thermostatics: Temperatures and other intensives are doubled: Different roles: Equations of state: Constitutive functions: Θ, M T, μ
About the temperature of moving bodies: moving body inertial observer
About the temperature of moving bodies: moving body inertial observer
About the temperature of moving bodies: body v K 0 K translational work Einstein-Planck: entropy is vector, energy + work is scalar
body v K 0 K Ott - hydro: entropy is vector, energy-pressure are from a tensor
energy(-momentum) vector Landsberg Einstein-Planck non-dissipative Ott
Simple transformation properties? Equilibration: Two bodies A and B have relative speed v. What must be the relation between their temperatures TA and TB, measured in their rest frames, if they are to be in thermal equilibrium? Integration, homogeneity: Thermal interaction requires uniform velocities.
Quasi-hyperbolic extension – relaxation of viscosity: Relaxation: Simpler than Israel-Stewart: there are no β derivatives. Bíró, Molnár and Ván: PRC, (2008), 78, 014909 (ar. Xiv: 0805. 1061)
1) Generalized Bjorken flow - the role of q: tetrad : ; axial symmetry Only for the q=0 solution remains the v=0 Bjorken-flow stationary. 2) Temperatures: -qgp eos - τ0 = 0. 6 fm/c, -e 0=ε 0 =30 Ge. V/fm 3 - η/s=0. 4, - π0=0.
3) Reheating: Eckart: R-1<1 (p<4π) stability η 0 Eckart IS HO 0. 3 6· 10− 4 5. 6· 10− 7 2. 67· 10− 4 0. 08 3· 10− 6 2. 89· 10− 9 1. 75· 10− 4 RHIC LHC
Summary – Extended – theories are not ultimate. energy ≠ internal energy → generic stability without extra conditions – hyperbolic(-like) extensions, generalized Bjorken solutions, reheating conditions, etc… – different temperatures in Fourier-law (equilibration) and in EOS out of local equilibrium → temperature of moving bodies - interpretation
Thank you for your attention!
v 2 v 1 K 2 K Einstein-Planck Ott lightlike
Body Velocity distributions: u v K K 0 Averages? (Cubero et. al. PRL 2007, 99 170601) Heavy-ion experiments, cosmology.
Liu procedure for relativistic fluids Thermodynamics – local rest frame – basic state (fields): – constitutive state: – constitutive functions: 4 -vector (temperature ? ) Solution of Liu equations ( are local):
Dissipation inequality 1) 2)
Energy-momentum – momentum density and energy flux Landau choice:
Linearization
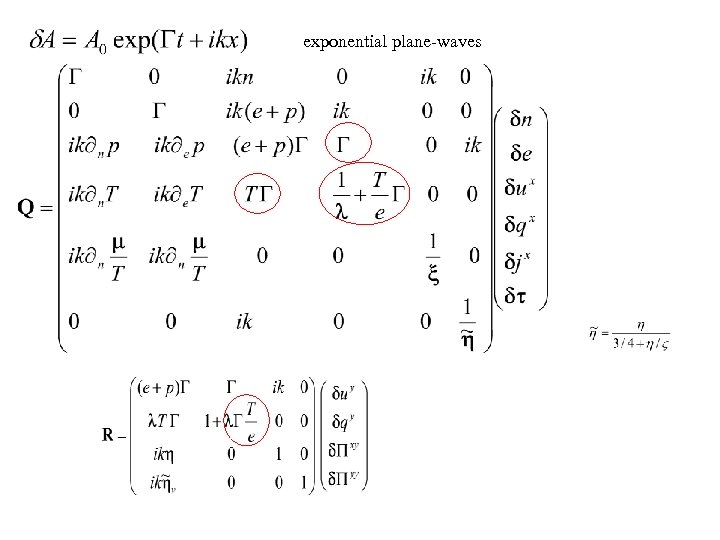
exponential plane-waves
Routh-Hurwitz: thermodynamic stability
Causality hyperbolic or parabolic? Well posedness Speed of signal propagation Hydrodynamic range of validity: ξ – mean free path τ – collision time Water at room temperature: More complicated equations, more spacetime dimensions, ….
Remarks on hyperbolicity 1) Hyperbolicity does not result in automatic causality, because the propagation speed of small perturbations can be large. hyperbolic causal 2) Parabolic equations and first order theories are not automatically excluded. The validity range of theory could prevent large speeds if the perturbations were relaxing fast. parabolic+stable causal 3) Instability in first order theories is not acceptable. Second order dissipative theories are corrections to first order stable theories.
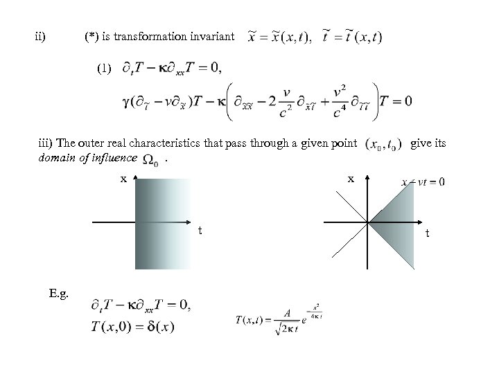
Causality hyperbolic or parabolic? Well posedness Speed of signal propagation Second order linear partial differential equation: Corresponding equation of characteristics: i) Hyperbolic equation: Parabolic equation: Elliptic equation: two distinct families of real characteristics one distinct families of real characteristics no real characteristics Well posedness: existence, unicity, continuous dependence on initial data. A characteristic Cauchy problem of (1) is well posed. (initial data on the characteristic surface: )
ii) (*) is transformation invariant (1) iii) The outer real characteristics that pass through a given point domain of influence. x x t E. g. give its t
Infinite speed of signal propagation? physics - mathematics Hydrodynamic range of validity: ξ – mean free path τ – collision time Water at room temperature: Fermi gas of light quarks at : More complicated equations, more spacetime dimensions, ….
Non-relativistic fluid mechanics local equilibrium, Fourier-Navier-Stokes n vi e qi Pij ki Thermodynamics p particle number density relative (3 -)velocity internal energy density internal energy (heat) flux pressure momentum density
About the temperature of moving bodies: moving body Sardegna inertial observer


