Скачать презентацию Дифференциальное и интегральное исчисление Множества Множество Скачать презентацию Дифференциальное и интегральное исчисление Множества Множество

a767999a27b5943c188269bac9cc5086.ppt

  • Количество слайдов: 37

Дифференциальное и интегральное исчисление Дифференциальное и интегральное исчисление

Множества Множества

Множество – совокупность определённых и различимых между собой элементов элемент a принадлежит множеству А Множество – совокупность определённых и различимых между собой элементов элемент a принадлежит множеству А элемент a не принадлежит множеству А

Подмножества Равенство множеств Подмножества Равенство множеств

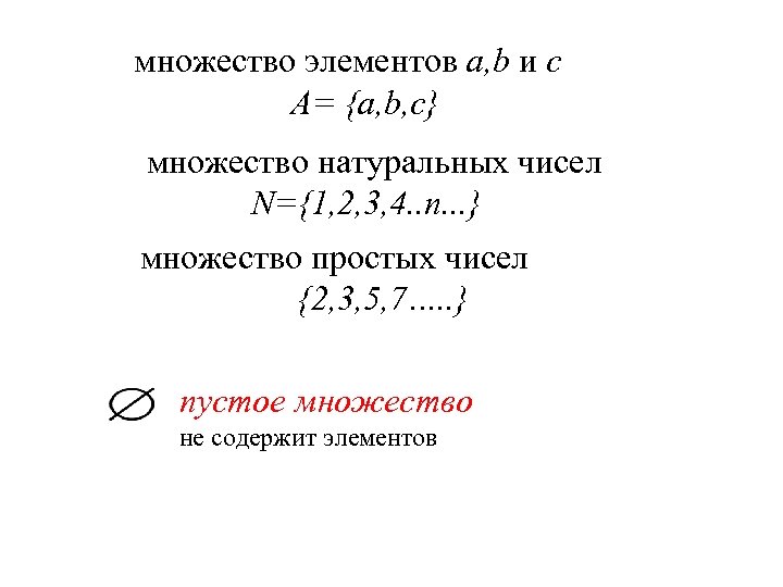
множество элементов a, b и c A= {a, b, c} множество натуральных чисел N={1, множество элементов a, b и c A= {a, b, c} множество натуральных чисел N={1, 2, 3, 4. . n. . . } множество простых чисел {2, 3, 5, 7…. . } пустое множество не содержит элементов

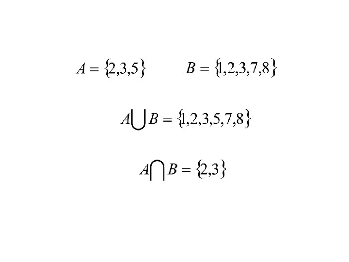
Объединение A и В A B Объединение A и В A B

Пересечение А и В A B Пересечение А и В A B

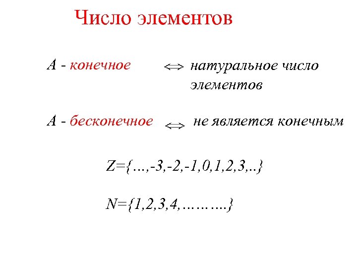
Число элементов А - конечное натуральное число элементов А - бесконечное не является конечным Число элементов А - конечное натуральное число элементов А - бесконечное не является конечным Z={…, -3, -2, -1, 0, 1, 2, 3, . . } N={1, 2, 3, 4, ………. }

f - взаимнооднозначное соответствие, если А В f - взаимнооднозначное соответствие, если А В

Эквивалентность множеств Эквивалентность множеств

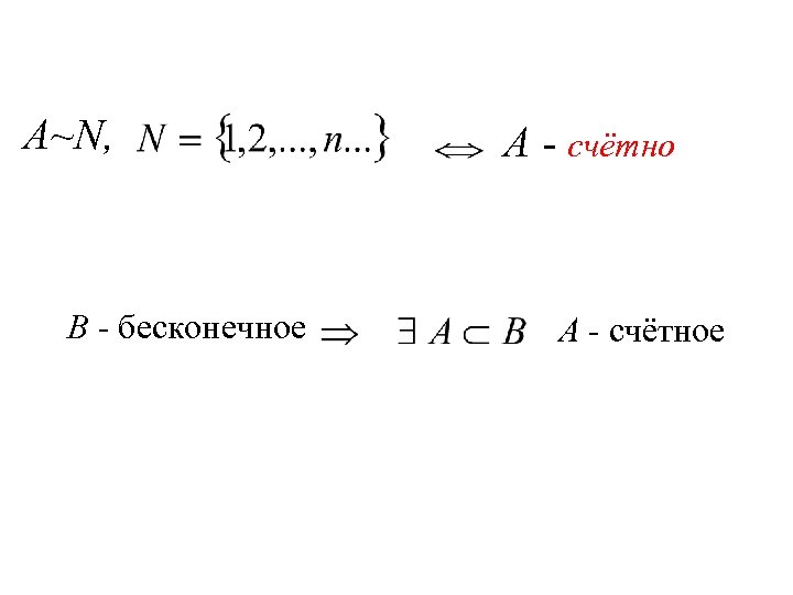
А и В конечные и А~В число элементов равно А и В конечные и А~В число элементов равно

А~N, В - бесконечное А - счётное А~N, В - бесконечное А - счётное

Действительные числа Абсолютная величина Действительные числа Абсолютная величина

Натуральные числа Натуральные числа

Рациональные числа Рациональные числа

Иррациональные числа Иррациональные числа

Действительные числа Число x называется действительным, если оно может быть представлено в виде бесконечной Действительные числа Число x называется действительным, если оно может быть представлено в виде бесконечной десятичной дроби [x] – наибольшее целое число, меньшее или равное x (целая часть числа x), {x} – дробная часть числа х, равная

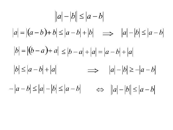
Абсолютная величина (модуль) Абсолютная величина (модуль)

Числовая прямая l O f - взаимнооднозначное M Числовая прямая l O f - взаимнооднозначное M

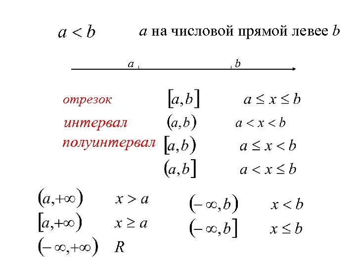
a на числовой прямой левее b а отрезок интервал полуинтервал b a на числовой прямой левее b а отрезок интервал полуинтервал b

Окрестность ( ) Окрестность ( )

( ) Проколотая окрестность ( ) Проколотая окрестность

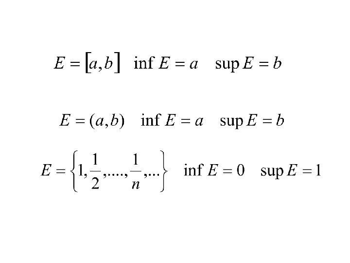
Точная верхняя и точная нижняя грани множества Точная верхняя и точная нижняя грани множества

ограничено сверху ограничено сверху

ограничено снизу ограничено снизу

ограничено ограничено

E – неограниченно сверху (снизу) E – не является ограниченным сверху (снизу) E – неограниченно сверху (снизу) E – не является ограниченным сверху (снизу)

M – точная верхняя грань множества x* M M - наименьшая из всех верхних M – точная верхняя грань множества x* M M - наименьшая из всех верхних граней Е – неограниченно сверху

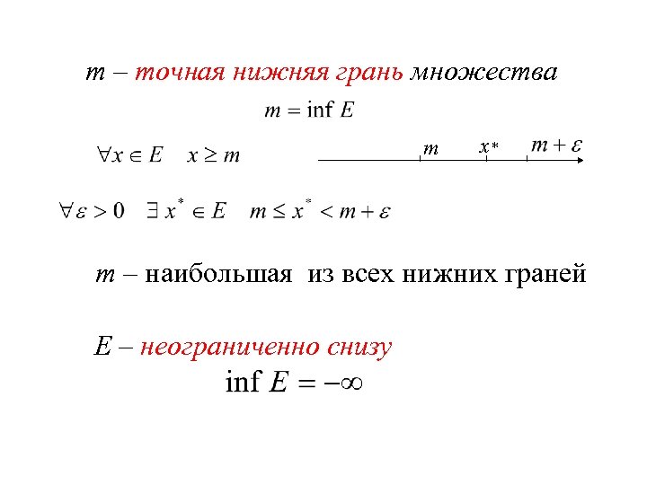
m – точная нижняя грань множества m x* m – наибольшая из всех нижних m – точная нижняя грань множества m x* m – наибольшая из всех нижних граней Е – неограниченно снизу

Теорема. Теорема.

 • • • Множество Действительные числа Модуль числа Числовая прямая Отрезок, интервал, полуинтервал • • • Множество Действительные числа Модуль числа Числовая прямая Отрезок, интервал, полуинтервал Точная верхняя и нижняя грани