Скачать презентацию Детерминистский демон Лапласа Dopamine hypothesis Истоки Скачать презентацию Детерминистский демон Лапласа Dopamine hypothesis Истоки

2ec87107080660009828f235ce260a20.ppt

  • Количество слайдов: 69

Детерминистский демон Лапласа Детерминистский демон Лапласа

Dopamine hypothesis Dopamine hypothesis

Истоки геометрического редукционизма Декарт : Тело и протяженность (extensio) Истоки геометрического редукционизма Декарт : Тело и протяженность (extensio)

Картезианская концепция о математике и о физическом. Картезианская концепция о математике и о физическом.

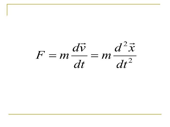
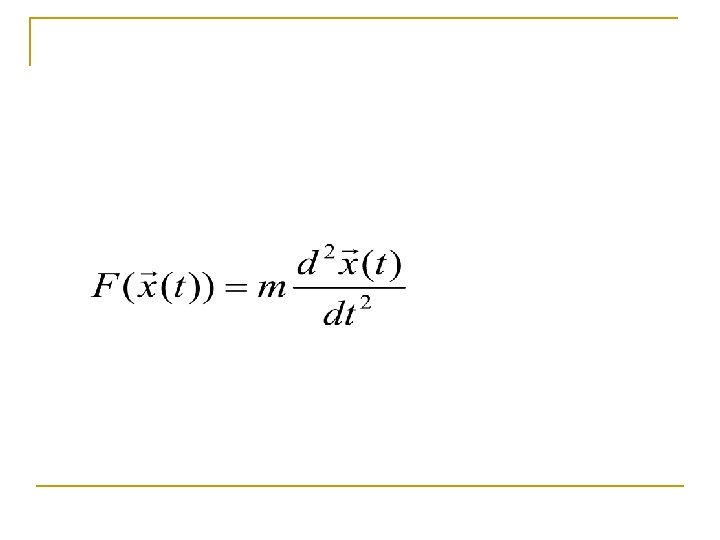
Декарт –Ньютон- Лаплас Декарт –Ньютон- Лаплас

Чувствительная зависимость решения от начальных данных Решения системы Лоренца, исходящие от двух друг от Чувствительная зависимость решения от начальных данных Решения системы Лоренца, исходящие от двух друг от друга близких начальных данных. → Хаотичность

В небесной механике все опирались на Второй закон Ньютона и на закон всемирного тяготения. В небесной механике все опирались на Второй закон Ньютона и на закон всемирного тяготения. Несмотря на эту простоту, детерминизм обнаружил свою ограниченность.

Преимущество и недостаток редукционизма Преимущество и недостаток редукционизма

“Beyond Reductionism. ” Alpbach symposium 1968 “Beyond Reductionism. ” Alpbach symposium 1968

“Beyond Reductionism. ” “Beyond Reductionism. ”

Холизм Холизм

Главные черты холизма Главные черты холизма

Трудности Холизма Трудности Холизма

Преимущество и недостаток редукционизма Преимущество и недостаток редукционизма

Вопросы и дискуссии Вопросы и дискуссии