4 дар удеу.pptx
- Количество слайдов: 8
Дәріс 4. Үдеу жоспары 1. Бір мүшенің күрделі қозғалысы В АВ А ║ (В → A) (ВА) паралельді және В-дан А-ға бағытталған 27
2. Ілгерлемелі жұпта тасымалды қозғалыс айналмалы болса 2 А 2 В 3 Кариолис үдеуі аттас салыстырмалы жылдамдық векторды( ) тасымалды айналыс ( ) бағытымен 900 –қа бұрып табады. 3 А 3 нүктесінің 2 және 3 мүшелермен бірге қозғалыстарының теңдеулерін жазамыз: (ВА) бағытымен 28
2 В А 3 3 В ║ (А → В) (АВ) паралельді және А-дан В-ға бағытталған 29
В А 1 2 3 в d 4. 5 c О С 5 D 4 a d 3 берілген шарттардан шығатын қатынастар: Жетекші мүшенің үдеуі - 1 1 (А О) ( а)= 100 мм Үдеу масштабы a 30
В А 1 3 2 в d 4. 5 c О С 5 D 4 a В нүктесінің екінші және үшінші мүшелермен бірге қозғалыстарының теңдеулерін жазамыз ║ (В → А) - 5 n 2 (BС)║ 4 3 в n 1 d 3 2 (ВА) 1 (А О) a 2 ║(ВА) ║ (В → С) - 4 (ВС) - 5 31
В А 1 d 3 d 4. 5 D 4 6 8 ║(Ox) 7 ║(CB) n 2 (BС)║ 4 3 d 3 С 5 5 d 4. 5 c О k 3 2 в a D 3 үдеуің пропорция арқылы табамыз D 4 қозғалысын теңдеу, 4 – 5 мүшелердің қөзғалыстарының қарастырып жазамыз: ║(Ox) - 8 в n 1 1 (А О) a 2 ║(ВА) бағытымен - 6 || (ВС) - 7 32
Үдеулердің жоспар құру реті 1. полюс арқылы 1 -ші сызығың (А О) жүргіземіз және ( а)= 100 мм үзындығын саламыз. 2. а нүктесінен 2 -ші сызығын (В А) жүргізіп және үзындығын саламыз. 3. n 1 арқылы 3 -ші сызығын (АВ) жүргіземіз. . 4. полюс арқылы 4 -ші сызығын (В С) жүргізіп және үзындығын саламыз. 5. n 2 арқылы 5 -ші сызығын (CВ) жүргіземіз. Бұл сызықтың 3 -ші сызығымен қиылысқан жерін в нүкте деп белгілейміз. 6. в -ні полюс -мен жалғастырып және бұл сызығында үзындығын көрсетеміз. 7. d 3 арқылы 6 –ші сызығын (ВС) жүргізіп және үзындығын саламыз. 8. k нүктесінен 7 -ші сызығын (ВС) аламыз. 9. полюс арқылы 8 -ші сызығын (Ох) жүргіземіз. Бұл сызықтың 7 -ші сызығымен қиылысқан жерін d 4, 5 нүкте деп белгілейміз. 33
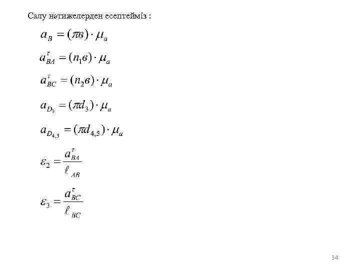
Салу нәтижелерден есептейміз : 34
4 дар удеу.pptx